XOSPATA filmdragerad tablett 40 mg
Lääketurva
Riskienminimointimateriaalit
Yleinen
Kvalitativ och kvantitativ sammansättning
Varje filmdragerad tablett innehåller 40 mg gilteritinib (som fumarat).
För fullständig förteckning över hjälpämnen, se avsnitt Förteckning över hjälpämnen.
Läkemedelsform
Filmdragerad tablett (tablett).
Kliniska uppgifter
Terapeutiska indikationer
Xospata är indicerat som monoterapi för behandling av vuxna patienter som har recidiverande eller refraktär akut myeloisk leukemi (AML) med en FLT3-mutation (se avsnitt Dosering och administreringssätt och Farmakodynamiska egenskaper).
Villkor
Hoito tulee aloittaa ja hoitoa tulee jatkaa syöpähoitoihin perehtyneen lääkärin valvonnassa.
Dosering och administreringssätt
Behandling med Xospata ska inledas och övervakas av en läkare med erfarenhet av cancerbehandlingar.
Innan patienter med recidiverande eller refraktär AML tar gilteritinib måste FMS‑liknande tyrosinkinas-3-mutation (FLT3-mutation) (intern tandemduplicering [ITD] eller tyrosinkinasdomän [TKD]) ha bekräftats med ett validerat test.
Xospata kan återinsättas hos patienter efter hematopoetisk stamcellstransplantation (HSCT) (se tabell 1).
Dosering
Den rekommenderade startdosen är 120 mg gilteritinib (tre 40 mg-tabletter) en gång dagligen.
Blodkemi, inklusive kreatinfosfokinas, ska utvärderas före insättning av behandlingen, på dag 15 och därefter varje månad så länge behandlingen pågår (se avsnitt Varningar och försiktighet).
Ett elektrokardiogram (EKG) ska tas före insättning av behandling med gilteritinib, på dag 8 och 15 i cykel 1 och innan de tre nästföljande behandlingsmånaderna inleds (se avsnitt Varningar och försiktighet och Biverkningar).
Fertila kvinnor ska uppmanas att göra ett graviditetstest inom sju dagar innan behandlingen med Xospata inleds (se avsnitt Varningar och försiktighet och Fertilitet, graviditet och amning).
Behandlingen ska pågå tills patienten inte längre har någon klinisk nytta av Xospata eller tills oacceptabel toxicitet föreligger. Svaret kan dröja och därför bör fortsättning av behandling med den föreskrivna dosen i upp till 6 månader övervägas för att ge tid till ett kliniskt svar.
I frånvaro av respons [patienten har inte uppnått sammansatt komplett remission (composite complete remission, CRc)] efter 4 veckors behandling, kan dosen ökas till 200 mg (fem 40 mg-tabletter) en gång dagligen, om det tolereras eller om det kliniskt kan motiveras.
Dosjusteringar
Tabell 1: Rekommendationer för uppehåll, minskning och utsättning av Xospata-dosen till patienter med recidiverande eller refraktär AML
Kriterier | Xospata-dosering |
Differentieringssyndrom |
|
Posteriort reversibelt encefalopatisyndrom |
|
QTcF-intervall > 500 ms |
|
Ökat QTcF-intervall med > 30 ms på EKG på dag 8 i cykel 1 |
|
Pankreatit |
|
Annan toxicitet av grad 3a eller högre som anses vara förknippad med behandlingen. |
|
Planerad HSCT |
|
a. Grad 1 är mild, grad 2 är måttlig, grad 3 är svår, grad 4 är livshotande. b. Den dagliga dosen kan minskas från 120 mg till 80 mg eller från 200 mg till 120 mg. c. CRc definieras som remissionsfrekvens för alla CR (se avsnitt Farmakodynamiska egenskaper för definition av CR), CRp [uppnådd CR förutom ofullständig trombocytnormalisering (< 100 x 109/l)] och CRi (uppnått all kriterier för CR förutom ofullständig hematologisk återhämtning med kvarvarande neutropeni < 1 x 109/l med eller utan fullständig trombocytnormalisering). |
Äldre
Det krävs ingen dosjustering för patienter i åldern 65 år och äldre (se avsnitt Farmakokinetiska egenskaper).
Nedsatt leverfunktion
Det krävs ingen dosjustering för patienter med mild (Child‑Pugh klass A) eller måttlig (Child‑Pugh klass B) nedsatt leverfunktion. Xospata rekommenderas inte för användning hos patienter med svår (Child‑Pugh klass C) nedsatt leverfunktion eftersom säkerhet och effekt inte har utvärderats i denna population (se avsnitt Farmakokinetiska egenskaper).
Nedsatt njurfunktion
Det krävs ingen dosjustering för patienter med mild, måttlig eller svår nedsatt njurfunktion (se avsnitt Varningar och försiktighet och Farmakokinetiska egenskaper).
Pediatrisk population
Säkerhet och effekt för Xospata för barn under 18 år har ännu inte fastställts.
Inga data finns tillgängliga. På grund av in vitro-bindning till 5HT2B (se avsnitt Interaktioner) kan hjärtats utveckling hos patienter som är yngre än 6 månader påverkas.
Administreringssätt
Xospata är avsett för oral användning.
Tabletterna kan tas med eller utan mat. De ska sväljas hela med vatten och ska inte delas eller krossas.
Xospata ska administreras vid samma tidpunkt varje dag. Om en dos missas eller inte tas vid den vanliga tidpunkten ska dosen administreras så snart som möjligt samma dag. Patienten skall återgå till det vanliga schemat följande dag. Om patienten kräks efter dosen ska patienten inte ta en ny dos utan återgå till det vanliga schemat följande dag.
Kontraindikationer
Överkänslighet mot den aktiva substansen eller mot något hjälpämne som anges i avsnitt Förteckning över hjälpämnen.
Varningar och försiktighet
Differentieringssyndrom
Gilteritinib har förknippats med differentieringssyndrom (se avsnitt Biverkningar). Differentieringssyndrom är förknippat med snabb proliferation och differentiering av myeloidceller och kan vara livshotande eller leda till döden om det inte behandlas. Symtom och kliniska fynd på differentieringssyndrom innefattar feber, dyspné, pleurautgjutning, perikardiell utgjutning, lungödem, hypotoni, snabb viktökning, perifert ödem, utslag och nedsatt njurfunktion.
Om differentieringssyndrom misstänks ska kortikosteroidbehandling sättas in tillsammans med hemodynamisk övervakning tills symtomen går över. Om allvarliga tecken och/eller symtom kvarstår i mer än 48 timmar efter insättning av kortikosteroider ska gilteritinib avbrytas tills tecknen och symtomen inte längre är allvarliga (se avsnitt Dosering och administreringssätt och Biverkningar).
Kortikosteroider kan trappas ned efter att symtomen gått över och ska administreras i minst 3 dagar. Symtom på differentieringssyndrom kan komma tillbaka om kortikosteroidbehandlingen avbryts för tidigt.
Posteriort reversibelt encefalopatisyndrom
Posteriort reversibelt encefalopatisyndrom (PRES) har rapporterats för patienter som får gilteritinib (se avsnitt Biverkningar). PRES är ett sällsynt, reversibelt, neurologiskt tillstånd som kan uppvisa snabbt utvecklande symtom som krampanfall, huvudvärk, förvirring, synbortfall och neurologiska rubbningar, med eller utan associerad hypertoni och förändrat mentalt tillstånd. Om PRES misstänks ska det bekräftas med avbildning av hjärnan, helst med magnetisk resonanstomografi (MRI). Det rekommenderas att sätta ut gilteritinib för patienter som utvecklar PRES (se avsnitt Dosering och administreringssätt och Biverkningar)
Förlängt QT-intervall
Gilteritinib har förknippats med förlängd ventrikulär repolarisation (QT-intervall) (se avsnitt Biverkningar och Farmakodynamiska egenskaper). QT-förlängning kan observeras under de första tre månaderna av behandling med gilteritinib. Därför ska ett elektrokardiogram (EKG) tas före insättning av behandling, på dag 8 och 15 i cykel 1, och innan de tre nästföljande behandlingsmånaderna inleds. Försiktighet bör iakttas hos patienter med relevant hjärtanamnes. Hypokalemi eller hypomagnesemi kan öka risken för QT-förlängning. Hypokalemi eller hypomagnesemi ska därför åtgärdas före och under gilteritinib-behandling.
Gilteritinib ska avbrytas för patienter med QTcF > 500 ms (se avsnitt Dosering och administreringssätt).
Beslut att återinsätta behandling med gilteritinib efter en händelse av QT-förlängning ska baseras på ett noggrant övervägande av fördelar och risker. Om gilteritinib återinsätts med en lägre dos ska EKG tas efter 15 dagars behandling och innan de tre nästföljande behandlingsmånaderna inleds. I kliniska studier hade 12 patienter QTcF > 500 ms. För tre patienter avbröts och återinsattes behandlingen utan återfall i QT-förlängning.
Pankreatit
Pankreatit har rapporterats. Patienter som utvecklar tecken och symtom som tyder på pankreatit ska utvärderas och övervakas. Gilteritinib ska avbrytas och kan återupptas med en lägre dos när tecknen och symtomen på pankreatit gått över (se avsnitt Dosering och administreringssätt).
Svår nedsatt njurfunktion
Exponeringen av gilteritinib kan öka hos patienter med svår nedsatt njurfunktion eller njursjukdom i slutstadiet. Patienten ska övervakas noga beträffande toxicitet under administrering av gilteritinib (se avsnitt Farmakokinetiska egenskaper).
Interaktioner
Samtidig administrering av CYP3A/P‑gp-inducerare kan leda till minskad exponering av gilteritinib och följaktligen en risk för utebliven effekt. Därför ska samtidig användning av gilteritinib och starka CYP3A4/P‑gp-inducerare undvikas (se avsnitt Interaktioner).
Försiktighet krävs vid samtidig förskrivning av gilteritinib och läkemedel som är starka hämmare av CYP3A, P-gp och/eller bröstcancerresistent protein (BCRP) eftersom de kan öka exponeringen av gilteritinib. Andra läkemedel som inte är starka hämmare av CYP3A-, P-gp- och/eller BCRP-aktivitet bör övervägas. I situationer där tillfredsställande behandlingsalternativ inte finns ska patienten övervakas noga beträffande toxicitet under administrering av gilteritinib (se avsnitt Interaktioner).
Gilteritinib kan minska effekten av läkemedel som riktar in sig på 5HT2B-receptor eller icke-specifika sigmareceptorer. Därför ska samtidig användning av gilteritinib och dessa produkter undvikas såvida det inte anses nödvändigt för patientens vård (se avsnitt Interaktioner).
Embryofetal toxicitet och preventivmetod
Gravida kvinnor ska informeras om den potentiella risken för fostret (se avsnitt Fertilitet, graviditet och amning och Prekliniska säkerhetsuppgifter). Fertila kvinnor ska uppmanas att göra ett graviditetstest inom sju dagar innan behandlingen med gilteritinib inleds samt att använda effektiv preventivmetod under behandling med gilteritinib och i minst 6 månader efter avslutad behandling. Kvinnor som använder hormonella preventivmedel ska också använda en preventiv barriärmetod. Män med en fertil kvinnlig partner ska uppmanas att använda effektiv preventivmetod under behandlingen och i minst 4 månader efter den sista dosen gilteritinib.
Interaktioner
Gilteritinib metaboliseras primärt av CYP3A-enzymer som kan induceras eller inhiberas av ett antal läkemedel när dessa används samtidigt.
Effekter av andra läkemedel på Xospata
CYP3A/P‑gp-inducerare
Samtidig användning av Xospata med starka CYP3A/P‑gp-inducerare (t.ex. fenytoin, rifampin och johannesört) bör undvikas eftersom de kan sänka gilteritinib-koncentrationen i plasma. Hos friska försökspersoner som fick samtidig administrering av rifampicin (600 mg), en stark CYP3A/P‑gp-inducerare, till steady-state och en engångsdos om 20 mg gilteritinib minskade genomsnittlig Cmax för gilteritinib med 27 % och genomsnittlig AUCinf med 70 % jämfört med försökspersoner som fick en engångsdos av enbart gilteritinib (se avsnitt Varningar och försiktighet).
CYP3A-, P-gp- och/eller BCRP-inhibitorer
Starka hämmare av CYP3A, P-gp och/eller BCRP (t.ex. vorikonazol, itrakonazol, posakonazol, klaritromycin, erytromycin, kaptopril, karvedilol, ritonavir, azitromycin) kan höja gilteritinib-koncentrationen i plasma. En engångsdos om 10 mg gilteritinib som administrerades samtidigt med itrakonazol (200 mg en gång dagligen i 28 dagar), en stark CYP3A-, P-gp- och BCRP-inhibitor, hos friska försökspersoner resulterade i cirka 20 % ökning av genomsnittlig Cmax och 2,2‑faldig ökning av genomsnittlig AUCinf i förhållande till försökspersoner som fick en engångsdos av enbart gilteritinib. Exponeringen av gilteritinib ökade cirka 1,5-faldigt för patienter med recidiverande eller refraktär AML vid samtidig administrering med en stark CYP3A-, P-gp- och/eller BCRP-inhibitor (se avsnitt Varningar och försiktighet).
Effekter av Xospata på andra läkemedel
Gilteritinib som en inhibitor eller inducerare
Gilteritinib är inte en inhibitor eller inducerare av CYP3A4 eller en inhibitor av MATE1 in vivo. Farmakokinetiken för midazolam (ett känsligt CYP3A4-substrat) påverkades inte signifikant (Cmax och AUC ökade cirka 10 %) efter administrering en gång dagligen av gilteritinib (300 mg) i 15 dagar hos patienter med FLT3‑muterad recidiverande eller refraktär AML. Farmakokinetiken för cefalexin (ett känsligt MATE1-substrat) påverkades inte heller signifikant (Cmax och AUC minskade med mindre än 10 %) efter administrering en gång dagligen av gilteritinib (200 mg) i 15 dagar hos patienter med FLT3‑muterad recidiverande eller refraktär AML.
Gilteritinib är en hämmare av P-gp, BCRP och OCT1 in vitro. Då kliniska uppgifter saknas, kan det inte uteslutas att gilteritinib kan hämma dessa transportörer vid en terapeutisk dos. Försiktighet rekommenderas vid samtidig administrering av gilteritinib och substrat för P-gp (t.ex. digoxin, dabigatranetexilat), BCRP (t.ex. mitoxantron, metotrexat, rosuvastatin) och OCT1 (t.ex. metformin).
5HT2B-receptor eller icke-specifik sigmareceptor
Baserat på in vitro-data kan gilteritinib minska effekten av läkemedel som riktar in sig på 5HT2B-receptor eller icke-specifik sigmareceptor (selektiv serotoninåterupptagshämmare, t.ex. escitalopram, fluoxetin, sertralin). Undvik samtidig användning av dessa läkemedel och gilteritinib såvida det inte anses nödvändigt för patientens vård.
Fertilitet, graviditet och amning
Fertila kvinnor/preventivmetod för män och kvinnor
Graviditetstest rekommenderas till fertila kvinnor sju dagar innan gilteritinib-behandlingen inleds. Det rekommenderas att fertila kvinnor använder effektiv preventivmetod (metod som resulterar i graviditet vid mindre än 1 % av fallen) under och upp till 6 månader efter avslutad behandling. Det är inte känt om gilteritinib kan minska effekten av hormonella preventivmedel och därför ska kvinnor som använder hormonella preventivmedel också använda en preventiv barriärmetod. Fertila män ska informeras om att de måste använda effektiv preventivmetod under behandlingen och i minst 4 månader efter den sista dosen gilteritinib (se avsnitt Varningar och försiktighet).
Graviditet
Gilteritinib kan orsaka fosterskador om det ges till gravida kvinnor. Det finns inga eller begränsad mängd data från användningen av gilteritinib hos gravida kvinnor. Reproduktionsstudier med råttor har visat att gilteritinib orsakade hämmad fostertillväxt, embryo- och fosterdöd och teratogenicitet (se avsnitt Prekliniska säkerhetsuppgifter). Gilteritinib rekommenderas inte under graviditet eller till fertila kvinnor som inte använder effektiv preventivmetod.
Amning
Det är okänt om gilteritinib eller dess metaboliter utsöndras i bröstmjölk. Tillgängliga data från djurstudier har visat att gilteritinib och dess metaboliter utsöndras i mjölk hos lakterande råttor och fördelas i råttungarnas vävnad via mjölken (se avsnitt Prekliniska säkerhetsuppgifter).
En risk för barn som ammas kan inte uteslutas. Amning ska avbrytas under behandling med gilteritinib och i minst två månader efter den sista dosen.
Fertilitet
Det finns inga uppgifter om effekten av gilteritinib på fertilitet hos människa.
Effekter på förmågan att framföra fordon och använda maskiner
Gilteritinib har liten effekt på förmågan att framföra fordon och använda maskiner. Yrsel har rapporterats hos patienter som tar gilteritinib och bör beaktas vid bedömning av en patients förmåga att framföra fordon eller använda maskiner (se avsnitt Biverkningar).
Biverkningar
Sammanfattning av säkerhetsprofilen
Säkerheten för Xospata utvärderades för 319 patienter med recidiverande eller refraktär AML som fått minst en dos på 120 mg gilteritinib.
De vanligaste biverkningarna för gilteritinib var förhöjt alaninaminotransferas (ALAT) (82,1 %), förhöjt aspartataminotransferas (ASAT) (80,6 %), förhöjt alkaliskt fosfatas i blodet (68,7 %), förhöjt kreatinfosfokinas i blodet (53,9 %), diarré (35,1 %), trötthet (30,4 %), illamående (29,8 %), förstoppning (28,2 %), hosta (28,2 %), perifert ödem (24,1 %), dyspné (24,1 %), yrsel (20,4 %), hypotoni (17,2 %), smärta i extremiteter (14,7 %), asteni (13,8 %), artralgi (12,5 %) och myalgi (12,5 %).
De vanligaste allvarliga biverkningarna var akut njurskada (6,6 %), diarré (4,7 %), förhöjt ALAT (4,1 %), dyspné (3,4 %), förhöjt ASAT (3,1 %) och hypotoni (2,8 %). Andra kliniskt signifikanta allvarliga biverkningar innefattade differentieringssyndrom (2,2 %), QT-förlängning på EKG (0,9 %) och posteriort reversibelt encefalopatisyndrom (0,6 %).
Tabell över biverkningar
Biverkningar som observerades under kliniska studier anges nedan enligt MedDRA-klassificering av organsystem och efter frekvenskategori. Följande frekvenskategorier används: mycket vanliga (≥1/10), vanliga (≥1/100, <1/10), mindre vanliga (≥1/1 000, <1/100), sällsynta (≥1/10 000, <1/1 000), mycket sällsynta (<1/10 000), ingen känd frekvens (kan inte beräknas från tillgängliga data). Inom varje frekvensgrupp visas biverkningarna efter minskande allvarlighetsgrad.
Tabell 2: Biverkningar
MedDRA-klassificering av organsystem Föredragen term | Alla grader % | Grad ≥3 % | Frekvenskategori |
Immunsystemet | |||
Anafylaktisk reaktion | 1,3 | 1,3 | Vanliga |
Centrala och perifera nervsystemet | |||
Yrsel | 20,4 | 0,3 | Mycket vanliga |
Posteriort reversibelt encefalopatisyndrom | 0,6 | 0,6 | Mindre vanliga |
Hjärtat | |||
QT-förlängning på EKG | 8,8 | 2,5 | Vanliga |
Perikardiell utgjutning | 4,1 | 0,9 | Vanliga |
Perikardit | 1,6 | 0 | Vanliga |
Hjärtsvikt | 1,3 | 1,3 | Vanliga |
Blodkärl | |||
Hypotoni | 17,2 | 7,2 | Mycket vanliga |
Andningsvägar, bröstkorg och mediastinum | |||
Hosta | 28,2 | 0,3 | Mycket vanliga |
Dyspné | 24,1 | 4,4 | Mycket vanliga |
Differentieringssyndrom | 3,4 | 2,2 | Vanliga |
Magtarmkanalen | |||
Diarré | 35,1 | 4,1 | Mycket vanliga |
Illamående | 29,8 | 1,9 | Mycket vanliga |
Förstoppning | 28,2 | 0,6 | Mycket vanliga |
Lever och gallvägar | |||
Förhöjt alaninaminotransferas* | 82,1 | 12,9 | Mycket vanliga |
Förhöjt aspartataminotransferas* | 80,6 | 10,3 | Mycket vanliga |
Muskuloskeletala systemet och bindväv | |||
Förhöjt kreatinfosfokinas i blodet* | 53,9 | 6,3 | Mycket vanliga |
Förhöjt alkaliskt fosfatas i blodet* | 68,7 | 1,6 | Mycket vanliga |
Smärta i extremiteter | 14,7 | 0,6 | Mycket vanliga |
Artralgi | 12,5 | 1,3 | Mycket vanliga |
Myalgi | 12,5 | 0,3 | Mycket vanliga |
Muskuloskeletal smärta | 4,1 | 0,3 | Vanliga |
Njurar och urinvägar | |||
Akut njurskada | 6,6 | 2,2 | Vanliga |
Allmänna symtom och/eller symtom vid administreringsstället | |||
Trötthet | 30,4 | 3,1 | Mycket vanliga |
Perifert ödem | 24,1 | 0,3 | Mycket vanliga |
Asteni | 13,8 | 2,5 | Mycket vanliga |
Allmän sjukdomskänsla | 4,4 | 0 | Vanliga |
* Frekvensen baseras på centrala laboratorievärden. |
Beskrivning av utvalda biverkningar
Differentieringssyndrom
Av 319 patienter som behandlades med Xospata i de kliniska studierna upplevde 11 (3 %) differentieringssyndrom. Differentieringssyndrom är förknippat med snabb proliferation och differentiering av myeloidceller och kan vara livshotande eller leda till döden om det inte behandlas. Symtom och kliniska fynd på differentieringssyndrom hos patienter som behandlades med Xospata innefattade feber, dyspné, pleurautgjutning, perikardiell utgjutning, lungödem, hypotoni, snabb viktökning, perifert ödem, utslag och nedsatt njurfunktion. Vissa fall hade samtidig akut febril neutrofil dermatos. Differentieringssyndrom uppträdde så tidigt som en dag och upp till 82 dagar efter insättning av Xospata och har observerats med eller utan samtidig leukocytos. Av de 11 patienterna som upplevde differentieringssyndrom tillfrisknade 9 (82 %) efter behandling eller efter uppehåll av Xospata. Rekommendationer vid misstänkt differentieringssyndrom finns i avsnitt Dosering och administreringssätt och Varningar och försiktighet.
PRES
Av de 319 patienterna som behandlades med Xospata i de kliniska studierna upplevde 0,6 % posteriort reversibelt encefalopatisyndrom (PRES). PRES är ett sällsynt, reversibelt, neurologiskt tillstånd som kan uppvisa snabbt utvecklande symtom som krampanfall, huvudvärk, förvirring, synbortfall och neurologiska rubbningar, med eller utan associerad hypertoni. Symtomen försvann efter utsättning av behandling (se avsnitt Dosering och administreringssätt och Varningar och försiktighet).
QT-förlängning
Av de 317 patienterna som behandlades med Xospata 120 mg och med ett QTC-värde efter baslinjen i kliniska studier upplevde 4 patienter (1 %) QTcF > 500 ms. För alla doser hade 12 patienter (2,3 %) med recidiverande/refraktär AML ett maximalt QTcF-intervall efter baslinjen på > 500 ms (se avsnitt Dosering och administreringssätt, Varningar och försiktighet och Farmakodynamiska egenskaper).
Rapportering av misstänkta biverkningar
Det är viktigt att rapportera misstänkta biverkningar efter att läkemedlet godkänts. Det gör det möjligt att kontinuerligt övervaka läkemedlets nytta-riskförhållande. Hälso- och sjukvårdspersonal uppmanas att rapportera varje misstänkt biverkning via
webbplats: www.fimea.fi
Säkerhets- och utvecklingscentret för läkemedelsområdet Fimea
Biverkningsregistret
PB 55
00034 FIMEA
Överdosering
Det finns inget känt specifikt motgift mot Xospata. I händelse av en överdos ska behandlingen med Xospata avbrytas. Patienten måste noga övervakas beträffande tecken eller symtom på biverkningar. Lämplig symtomatisk och understödjande behandling ska sättas in med beaktande av den långa halveringstiden som beräknas till 113 timmar.
Farmakologiska egenskaper
Farmakodynamiska egenskaper
Farmakoterapeutisk grupp: antineoplastiska medel, proteinkinashämmare, ATC-kod: L01EX13
Verkningsmekanism
Gilteritinibfumarat är en FLT3- och AXL-inhibitor.
Gilteritinib hämmar FLT3-receptorsignalering och proliferation i celler som exogent uttrycker FLT3-mutationer inklusive FLT3‑ITD, FLT3‑D835Y och FLT3‑ITD‑D835Y, samt inducerar apoptos i leukemiceller som uttrycker FLT3‑ITD.
Farmakodynamisk effekt
Hos patienter med recidiverande eller refraktär AML som fick gilteritinib 120 mg ägde betydande (> 90 %) hämning av FLT3-fosforylering rum snabbt (inom 24 timmar efter första dosen) och oavbrutet, enligt en analys av hämmande aktivitet i plasma (PIA) ex vivo.
Förlängt QT-intervall
En koncentrationsrelaterad ökning av ändringen från baslinjen för QTcF observerades för gilteritinib-doser i intervallet 20–450 mg. Den förutsedda genomsnittliga ändringen från baslinjen för QTcF vid genomsnittlig Cmax (282,0 ng/ml) vid steady-state för 120 mg daglig dos var 4,96 ms med övre ensidigt 95 % KI=6,20 ms.
Klinisk effekt och säkerhet
Recidiverande eller refraktär AML
Effekt och säkerhet utvärderades i den aktivt kontrollerade fas 3-studien (2215‑CL‑0301).
ADMIRAL-studien (2215‑CL‑0301)
ADMIRAL-studien är en fas 3, öppen, multicenter, randomiserad klinisk studie med vuxna patienter med recidiverande eller refraktär AML med en FLT3-mutation som fastställts med analysen LeukoStrat® CDx FLT3 Mutation Assay. I denna studie randomiserades 371 patienter i förhållandet 2:1 till att få gilteritinib eller en av följande salvage-kemoterapier (247 i gilteritinib-armen och 124 i salvage-kemoterapiarmen):
- cytarabin 20 mg två gånger dagligen via subkutan injektion (s.c.) eller intravenös infusion (i.v.) i 10 dagar (dag 1 till 10) (LoDAC)
- azacitidin 75 mg/m2 en gång dagligen s.c. eller i.v. i 7 dagar (dag 1 till 7)
- mitoxantron 8 mg/m2, etoposid 100 mg/m2 och cytarabin 1 000 mg/m2 en gång dagligen i.v. i 5 dagar (dag 1 till 5) (MEC)
- granulocyt-kolonistimulerande faktor 300 mcg/m2 en gång dagligen s.c. i 5 dagar (dag 1 till 5), fludarabin 30 mg/m2 en gång dagligen i.v. i 5 dagar (dag 2 till 6), cytarabin 2 000 mg/m2 en gång dagligen i.v. i 5 dagar (dag 2 till 6), idarubicin 10 mg/m2 en gång dagligen i.v. i 3 dagar (dag 2 till 4) (FLAG‑Ida).
Patienter med recidiv eller refraktär efter förstahandsbehandling för AML inkluderades och stratifierades efter behandlingssvar på tidigare AML-behandling och förvald kemoterapi, d.v.s. hög eller låg intensitet. Medan studien inkluderade patienter med olika AML-relaterade cytogenetiska avvikelser, uteslöts patienter med akut promyelocytisk leukemi (APL) eller terapirelaterad AML.
Sexton patienter randomiserades men behandlades inte i studien (1 patient i gilteritinib-armen och 15 patienter i kemoterapiarmen). Gilteritinib gavs oralt med en startdos på 120 mg dagligen fram till oacceptabel toxicitet eller brist på kliniska fördelar. Dossänkningar var tillåtna för att hantera biverkningar och dosökningar var tillåtna för de patienter som inte svarade på startdosen 120 mg.
Av patienterna som valdes ut på förhand till att få salvage-kemoterapi randomiserades 60,5 % till hög intensitet och 39,5 % till låg intensitet. MEC och FLAG‑Ida gavs i upp till två cykler beroende på svaret på första cykeln. LoDAC och azacitidin gavs i kontinuerliga 4-veckorscykler fram till oacceptabel toxicitet eller brist på kliniska fördelar.
Demografi och utgångsvärden var väl balanserade mellan de två behandlingsarmarna. Medianåldern vid randomisering var 62 år (intervall 20 till 84 år) i gilteritinib-armen och 62 år (intervall 19 till 85 år) i salvage-kemoterapiarmen. I studien var 42 % av patienterna 65 år eller äldre och 12 % var 75 år eller äldre. Femtiofyra procent av patienterna var kvinnor. De flesta patienterna i studien var vita (59,3 %), 27,5 % var asiater, 5,7 % svarta, 4 % av annat etniskt ursprung och 3,5 % av okänt ursprung. Majoriteten av patienterna (83,8 %) hade en ECOG-poäng (performance status) på 0 eller 1. Patienterna hade följande bekräftade mutationer: enbart FLT3‑ITD (88,4 %), enbart FLT3‑TKD (8,4 %) eller både FLT3‑ITD och FLT3‑TKD (1,9 %). Tolv procent av patienterna fick tidigare behandling med en annan FLT3-hämmare. En majoritet av patienterna hade AML med intermediärriskcytogenetik (73 %), 10 % hade ogynnsam, 1,3 % hade gynnsam och 15,6 % hade oklassificerad cytogenetik.
Före behandling med gilteritinib hade 39,4 % av patienterna primär refraktär AML och majoriteten av dessa patienter klassificerades som refraktär efter en cykel med cytostatisk induktionsbehandling, 19,7 % hade recidiverande AML efter en allogen hematopoetisk stamcellstransplantation (HSCT) och 41 % hade recidiverande AML utan allogen HSCT.
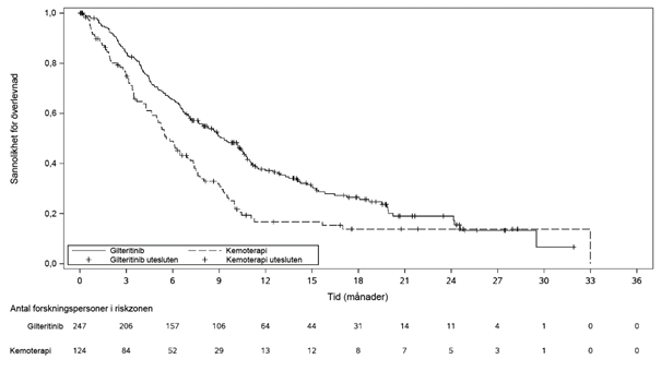
Primär effekt-endpoint för den slutliga analysen var total överlevnad (overall survival, OS) i intent-to-treat-populationen (ITT-populationen), uppmätt från randomiseringsdatumet fram till döden oavsett orsak (antal händelser som analyserades var 261). Patienter som randomiserats till gilteritinib-armen hade signifikant längre överlevnad jämfört med kemoterapiarmen (Riskkvot 0,637, 95 % KI 0,490–0,830, ensidigt p‑värde: 0,0004). Median-OS var 9,3 månader för patienter som fick gilteritinib och 5,6 månader för de som fick kemoterapi. Effekten påvisades även av frekvensen av komplett remission (CR)/komplett remission med partiell hematologisk återhämtning (CRh) (tabell 3, figur 1).
Tabell 3: Total överlevnad och komplett remission för patienter med recidiverande eller refraktär AML i ADMIRAL-studien
Gilteritinib (N=247) | Kemoterapi (N=124) | ||
Total överlevnad | |||
Dödsfall, n (%) | 171 (69,2) | 90 (72,6) | |
Median i månader (95 % KI) | 9,3 (7,7, 10,7) | 5,6 (4,7, 7,3) | |
Riskkvot (95 % KI) | 0,637 (0,490, 0,830) | ||
p‑värde (ensidigt) | 0,0004 | ||
Överlevnad vid 1 år, % (95 % KI) | 37,1 (30,7, 43,6) | 16,7 (9,9, 25) | |
Komplett remission | |||
CRa (95 % KIb) | 21,1 % (16,1, 26,7) | 10,5 % (5,7, 17,3) | |
CRhc (95 % KIb) | 13 % (9, 17,8) | 4,8 % (1,8, 10,2) | |
CR/CRh (95 % KIb) | 34 % (28,1, 40,3) | 15,3 % (9,5, 22,9) | |
KI: konfidensintervall
|
Figur 1: Kaplan‑Meier-diagram av total överlevnad i ADMIRAL-studien

För patienter som uppnådde CR/CRh var mediantiden till första respons 3,7 månader (intervall: 0,9 till 10,6 månader) i gilteritinib-armen och 1,2 månader (intervall: 1 till 2,6 månader) i salvage-kemoterapiarmen. Mediantiden till bästa respons av CR/CRh var 3,8 månader (intervall: 0,9 till 16 månader) i gilteritinib-armen och 1,2 månader (intervall: 1 till 2,6 månader) i salvage-kemoterapiarmen.
CHRYSALIS-studien (2215-CL-0101)
Den stödjande fas 1/2 doseskaleringsstudien 2215-CL-0101 inkluderade 157 patienter med FLT3‑muterad AML med en eller > 1 tidigare behandlingar i den kombinerade dosgruppen (d.v.s. 80 mg, 120 mg eller 200 mg); 31,2 % fick en tidigare behandling och 68,8 % fick > 1 tidigare behandling.
Responsfrekvensen (CR/CRh) som observerades i studie 2215‑CL‑0101 bland patienter som fått mer än en tidigare behandling var 21,4 % för 120 mg och 15,7 % för den kombinerade dosen. Median-OS var 7,2 månader för 120 mg och 7,1 månader för den kombinerade dosen.
Pediatrisk population
Europeiska läkemedelsmyndigheten har senarelagt kravet att skicka in studieresultat för Xospata för en eller flera grupper av den pediatriska populationen i behandlingen av akut myeloisk leukemi. Information om pediatrisk användning finns i avsnitt Dosering och administreringssätt.
Farmakokinetiska egenskaper
Absorption
Efter oral administrering av gilteritinib observeras maximala plasmakoncentrationer vid ett medianvärde för tmax på ungefär mellan 4 och 6 timmar för friska frivilliga och patienter med recidiverande eller refraktär AML. Gilteritinib genomgår första ordningens absorption med en beräknad absorptionshastighet (ka) på 0,43 tim‑1 med en fördröjning på 0,34 timmar baserat på populationsfarmakokinetisk modellering. Medianvärdet för maximal koncentration vid steady‑state (Cmax) är 282,0 ng/ml (CV%=50,8), och arean under plasmakoncentrationskurvan under ett 24-timmars doseringsintervall (AUC0-24) är 6 180 ng·tim/ml (CV%=46,4) efter 120 mg gilteritinib en gång dagligen. Plasmanivåer för steady‑state nås inom 15 dagar vid en daglig dos med en cirka 10-faldig ackumulering.
Effekt av mat
För friska vuxna personer minskade Cmax och AUC för gilteritinib med cirka 26 % respektive mindre än 10 % när en engångsdos på 40 mg gilteritinib gavs samtidigt med en måltid med hög fetthalt, jämfört med exponering av gilteritinib i fastande tillstånd. Medianvärdet för tmax fördröjdes 2 timmar när gilteritinib gavs med en måltid med hög fetthalt.
Distribution
Beräknad central och perifer distributionsvolym för populationen var 1 092 l respektive 1 100 l. Dessa data tyder på att gilteritinib distribueras i stor omfattning utanför plasma, vilket kan tyda på omfattande distribution i vävnad. Plasmaproteinbindning in vivo hos människa är cirka 90 % och gilteritinib binds primärt till albumin.
Metabolism
Baserat på in vitro-data metaboliseras gilteritinib primärt via CYP3A4. De primära metaboliterna hos människa inkluderar M17 (bildad via N‑dealkylering och oxidation), M16 och M10 (båda bildade via N‑dealkylering) och observerades hos djur. Ingen av dessa tre metaboliter översteg 10 % av den totala ursprungliga exponeringen. Metaboliternas farmakologiska aktivitet gentemot FLT3- och AXL-receptorer är okänd.
Läkemedelsinteraktioner med transportörer
In vitro-experiment har visat att gilteritinib är ett substrat av P‑gp och BCRP. Gilteritinib kan potentiellt hämma BCRP, P‑gp och OCT1 vid kliniskt relevanta koncentrationer (se avsnitt Interaktioner).
Eliminering
Efter en engångsdos av [14C]‑gilteritinib utsöndras gilteritinib primärt i feces, med 64,5 % av den totala administrerade dosen återfunnen i feces. Ungefär 16,4 % av den totala dosen utsöndrades i urin som oförändrat läkemedel och metaboliter. Plasmakoncentrationen av gilteritinib sjönk biexponentiellt med en beräknad genomsnittlig halveringstid för populationen på 113 timmar. Beräknad skenbar clearance (CL/F) baserad på den populationsfarmakokinetiska modellen är 14,85 l/tim.
Linjäritet/icke-linjäritet
Generellt uppvisade gilteritinib linjär, dosproportionell farmakokinetik efter administrering av engångsdos och upprepade doser på mellan 20 och 450 mg hos patienter med recidiverande eller refraktär AML.
Speciella populationer
En populationsfarmakokinetisk analys utfördes för att utvärdera inverkan av inre och yttre kovariater på förutsedd exponering av gilteritinib hos patienter med recidiverande eller refraktär AML. Kovariatanalysen indikerade att ålder (20–90 år) och kroppsvikt (36–157 kg) var statistiskt signifikanta, men förutsedd förändring i exponering av gilteritinib var mindre än 2-faldig.
Nedsatt leverfunktion
Effekten av nedsatt leverfunktion på farmakokinetiken för gilteritinib undersöktes hos försökspersoner med mild (Child‑Pugh klass A) och måttlig (Child‑Pugh klass B) nedsatt leverfunktion. Resultaten tyder på att exponeringen av obundet gilteritinib hos försökspersoner med mild eller måttlig nedsatt leverfunktion är jämförbar med den som observerats hos försökspersoner med normal leverfunktion. Effekten av mild nedsatt leverfunktion [enligt NCI‑ODWG:s definition] på exponering av gilteritinib bedömdes även med den populationsfarmakokinetiska modellen. Resultaten visar liten skillnad i förutsedd exponering av gilteritinib vid steady-state jämfört med en typisk patient med recidiverande eller refraktär AML och normal leverfunktion.
Gilteritinib har inte studerats hos patienter med svår nedsatt leverfunktion (Child‑Pugh klass C).
Nedsatt njurfunktion
Farmakokinetiken för gilteritinib har utvärderats hos fem försökspersoner med svår nedsatt njurfunktion (CrCL 15 - <30 ml/min) och hos fyra försökspersoner med njursjukdom i slutstadiet (CrCL <15 ml/min). En 1,4-faldig ökning av genomsnittlig Cmax och en 1,5-faldig ökning av genomsnittlig AUCinf av gilteritinib observerades hos försökspersoner med svår nedsatt njurfunktion eller med njursjukdom i slutstadiet jämfört med försökspersoner med normal njurfunktion (n=8) (se avsnitten Dosering och administreringssätt och Varningar och försiktighet).
Prekliniska säkerhetsuppgifter
Följande effekter har inte setts hos människa, men har setts (säkerhetsfarmakologi/allmäntoxicitet) i exponeringar nära klinisk exponering och bedöms därför ha möjlig klinisk relevans:
Säkerhetsfarmakologi
Hos råttor observerades minskad urinering vid 30 mg/kg och högre och minskad defekation vid 100 mg/kg. Hos hundar observerades dolt blod i avföring vid 10 mg/kg och högre, sänkt kalciumhalt i blodet vid 30 mg/kg samt salivavsöndring och en ökning följt av en minskning av kalciumhalten i blod vid 100 mg/kg. Dessa förändringar observerades vid plasmanivåer som var motsvarande eller mindre än kliniska exponeringsnivårer. En möjlig klinisk relevans av dessa fynd är okänd.
Allmäntoxicitet
I studierna med upprepad dosering hos råttor och hundar var målorganen för toxicitet magtarmkanal (blödning hos hundar), lymfohematopoetiskt system (lymfocytnekros och hypocellularitet i benmärg med ändringar av hematologiska parametrar), öga (inflammation och linsgrumling hos råttor, färgförändring i ögonbotten hos hundar, retinal vakuolisering), lunga (interstitiell pneumoni hos råttor och inflammation hos hundar), njure (förändringar i njurtubuli med dolt blod i urinen) och lever (vakuolisering av hepatocyter), urinblåsa (epitelial vakuolisering), epitel (sår och inflammation) och fosfolipidos (lunga och njure hos råttor). Dessa förändringar observerades vid plasmanivåer som var motsvarande eller mindre än kliniska exponeringsnivårer. I slutet av den 4 veckor långa återhämtningsperioden fanns indikationer på att de flesta förändringarna var reversibla. En möjlig klinisk relevans av dessa fynd är okänd.
Genotoxicitet
Gilteritinib inducerade ingen genmutation eller kromosomavvikelser in vitro. Mikrokärntestet in vivo visade att gilteritinib har potential att inducera mikrokärnor hos möss.
Reproduktionstoxicitet
Gilteritinib visade hämmad fostertillväxt, och inducerad embryo- och fosterdöd och teratogenicitet i embryofetala utvecklingsstudier på råtta vid exponeringsnivåer som liknar kliniska exponeringsnivåer. Överföring av gilteritinib via placenta påvisades hos råtta och resulterade i överföring av radioaktivitet till fostret som liknade den som observerades i maternell plasma.
Gilteritinib utsöndrades i mjölk hos lakterade råttor och koncentrationen i mjölken var högre än den i maternell plasma. Gilteritinib distribuerades via bröstmjölken till olika vävnader, utom till hjärnan, hos diande råttor.
Toxicitetsstudie på juvenila djur
I toxicitetsstudien på juvenila råttor var den lägsta dödliga dosen (2,5 mg/kg/dag) mycket lägre än dosen för vuxna råttor (20 mg/kg/dag). Magtarmkanalen identifierades som ett av målorganen liksom hos vuxna råttor.
Farmaceutiska uppgifter
Förteckning över hjälpämnen
Tablettkärna
Mannitol (E421)
Hydroxipropylcellulosa
Hydroxipropylcellulosa, lågsubstituerad
Magnesiumstearat
Filmdragering
Hypromellos
Talk
Makrogol
Titandioxid
Järnoxid, gul (E172)
Inkompatibiliteter
Ej relevant.
Hållbarhet
4 år.
Särskilda förvaringsanvisningar
Inga särskilda temperaturanvisningar. Förvaras i originalförpackningen. Ljuskänsligt.
Förpackningstyp och innehåll
Markkinoilla olevat pakkaukset
Resepti
XOSPATA tabletti, kalvopäällysteinen
40 mg (L:ei) 84 fol (19008,27 €)
PF-selosteen tieto
OPA/aluminium/PVC/aluminium-blisterförpackningar som innehåller 21 filmdragerade tabletter.
Varje förpackning innehåller 84 filmdragerade tabletter.
Läkemedlets utseende:
Rund, ljusgul filmdragerad tablett, cirka 7,1 mm, med företagslogotyp och "235" präglat på samma sida.
Särskilda anvisningar för destruktion och övrig hantering
Ej använt läkemedel och avfall ska kasseras enligt gällande anvisningar.
Ersättning
XOSPATA tabletti, kalvopäällysteinen
40 mg 84 fol
- Ylempi erityiskorvaus (100 %). Gilteritinibi: Aikuisten akuutin myelooisen leukemian hoito erityisin edellytyksin (1531).
- Rajoitettu peruskorvaus lääkärin lausunnolla (40 %). Gilteritinibi: Monoterapiana akuutin myelooisen leukemian hoito erityisin edellytyksin (3033).
Atc-kod
L01EX13
Datum för översyn av produktresumén
27.06.2024
Yhteystiedot
Hatsinanpuisto 8
02600 Espoo
09 8560 6000
www.astellas.fi