PECFENT nässpray, lösning 100 mikrog/spraydos, 400 mikrog/spraydos
Lääketurva
Riskienminimointimateriaalit
Apteekki
Lääkäri
Potilas
Kvalitativ och kvantitativ sammansättning
PecFent 100 mikrogram/spraydos nässpray, lösning
En ml lösning innehåller 1 000 mikrogram fentanyl (som citrat)
En spraydos (100 mikroliter) innehåller 100 mikrogram fentanyl (som citrat)
En flaska innehåller 1,55 ml (1 550 mikrogram fentanyl)
PecFent 400 mikrogram/spraydos nässpray, lösning
En ml lösning innehåller 4 000 mikrogram fentanyl (som citrat)
En spraydos (100 mikroliter) innehåller 400 mikrogram fentanyl (som citrat)
En flaska innehåller 1,55 ml (6 200 mikrogram fentanyl)
Hjälpämnen med känd effekt:
En spraydos innehåller 0,02 mg propylparahydroxibensoat (E216).
För fullständig förteckning över hjälpämnen, se avsnitt Förteckning över hjälpämnen.
Läkemedelsform
Nässpray, lösning (nässpray).
Kliniska uppgifter
Terapeutiska indikationer
PecFent är avsett för hantering av genombrottssmärta hos vuxna som redan erhåller underhållsbehandling med opioider för kronisk cancersmärta. Genombrottssmärta är en övergående smärtstegring som inträffar utöver en i övrigt kontrollerad ihållande smärta.
Till patienter som erhåller underhållsbehandling med opioider räknas de som tar minst 60 mg oralt morfin dagligen, minst 25 mikrogram transdermalt fentanyl i timmen, minst 30 mg oxikodon dagligen, minst 8 mg oralt hydromorfin dagligen eller en ekvianalgetisk dos av en annan opioid under en vecka eller mer.
Villkor
Hoito on aloitettava ja annettava syöpäpotilaiden opioidihoitoon perehtyneen lääkärin ohjauksessa.
Dosering och administreringssätt
Behandlingen ska initieras av och även fortsättningsvis övervakas av en läkare med erfarenhet av hanteringen av opioidbehandling av cancerpatienter. Läkaren ska överväga risken för fentanylmissbruk.
Dosering
PecFent ska titreras till en ”effektiv” dos som ger tillräcklig smärtfrihet och som minimerar biverkningar utan att föranleda onödiga (eller outhärdliga) biverkningar. Den effektiva dosen ska grundas på två på varandra följande behandlade episoder av genombrottssmärta. Effekten av en bestämd dos ska utvärderas under den påföljande 30-minutersperioden.
Patienten måste övervakas noga till dess att en effektiv dos har uppnåtts.
PecFent finns i två styrkor: 100 mikrogram/spraydos och 400 mikrogram/spraydos.
En PecFent-dos kan omfatta administrering av en spraydos (100 eller 400 mikrogram) eller två spraydoser (200 eller 800 mikrogram) av samma styrka (antingen av styrkan 100 eller 400 mikrogram).
Patienten får inte använda mer än fyra doser under en och samma dag. Patienten måste vänta minst fyra timmar efter en dos innan han eller hon behandlar ytterligare episoder av genombrottssmärta med PecFent.
PecFent kan leverera doser på 100, 200, 400 och 800 mikrogram enligt följande:
Nödvändig dos (mikrogram) | Produktstyrka (mikrogram) | Mängd |
100 | 100 | En spraydos administreras in i ena näsborren |
200 | 100 | En spraydos administreras in i vardera näsborren |
400 | 400 | En spraydos administreras in i ena näsborren |
800 | 400 | En spraydos administreras in i vardera näsborren |
Första dosen
- Den första PecFent-dosen för behandling av episoder av genombrottssmärta är alltid 100 mikrogram (en spraydos). Detta gäller även patienter som byter från en annan produkt med fentanyl som används för att behandla genombrottssmärta.
- Patienten måste vänta minst fyra timmar innan han eller hon behandlar ytterligare episoder av genombrottssmärta med PecFent.
Titreringsmetod
- Patienten ska ordineras en första titreringskur bestående av en flaska (två spraydoser eller åtta spraydoser) PecFent 100 mikrogram/spraydos.
- Patienter vars startdos är 100 mikrogram och som måste titrera till en högre dos på grund av utebliven effekt kan uppmanas att använda två spraydoser på 100 mikrogram (en i varje näsborre) vid nästa episod av genombrottssmärta. Om denna dos inte har önskad effekt kan patienten ordineras en flaska PecFent 400 mikrogram/spraydos och uppmanas att byta till en spraydos på 400 mikrogram vid nästa episod av genombrottssmärta. Om denna dos inte har önskad effekt kan patienten uppmanas att öka doseringen till två spraydoser på 400 mikrogram (en i var näsborre).
- Från och med att behandlingen påbörjas måste patienten övervakas noga och dosen ska titreras till dess att en effektiv dos etablerats och bekräftats vid två på varandra följande behandlade episoder av genombrottssmärta.
Titrering till patienter som växlar mellan produkter innehållande fentanyl med omedelbar frisättning
Ansenliga skillnader i den farmakokinetiska profilen kan förekomma bland fentanylläkemedel med omedelbar frisättning vilket resulterar i kliniskt viktiga skillnader gällande hur snabbt och omfattande fentanyl absorberas. Det är därför viktigt när man växlar mellan läkemedel som innehåller fentanyl och är avsedda för behandling av genombrottssmärta, inklusive intranasala beredningar, att patienten på nytt titreras för det nya läkemedlet och inte ställs in på dos-för-dos (mikrogram-för-mikrogram) basis.
Underhållsbehandling
När en effektiv dos väl har fastställts vid titrering ska patienten fortsätta att ta denna dos i upp till max fyra doser per dag.
Dosjustering
I allmänhet ska underhållsdosen av PecFent endast ökas när man med den aktuella dosen inte lyckas behandla genombrottssmärtan under flera på varandra följande episoder.
En utvärdering av dosen för den bakomliggande opioidbehandlingen är eventuellt nödvändig om patienten konsekvent drabbas av mer än fyra episoder av genombrottssmärta under ett och samma dygn.
Om adekvat smärtkontroll inte uppnås ska risken för hyperalgesi, tolerans eller progression av den underliggande sjukdomen övervägas (se avsnitt Varningar och försiktighet).
Om biverkningarna är outhärdliga eller ihållande måste dosen reduceras eller så måste PecFent ersättas av ett annat smärtstillande medel.
Behandlingslängd och behandlingsmål
Innan behandling med PecFent inleds ska en behandlingsstrategi som omfattar behandlingslängd, behandlingsmål samt en plan för avslutande av behandlingen fastställas i samråd med patienten och i enlighet med riktlinjerna för smärtbehandling. Under behandlingen ska läkare och patient ha frekvent kontakt för bedömning av behovet av fortsatt behandling, övervägande av utsättning och för att dosjustera vid behov. Om tillräcklig smärtkontroll inte uppnås ska eventuell hyperalgesi, tolerans och progression av underliggande sjukdom övervägas (se avsnitt Varningar och försiktighet). PecFent ska inte användas under längre tid än vad som är nödvändigt.
Behandlingsavbrott
Behandling med PecFent ska avbrytas omedelbart om patienten inte längre upplever några episoder av genombrottssmärta. Behandlingen för ihållande bakgrundssmärta ska fortsätta enligt ordination.
Om all opioidbehandling måste avbrytas måste läkaren övervaka patienten noggrant då gradvis minskande opioidtitreringsbehandling är nödvändig för att undvika risken för abrupta abstinenseffekter.
Särskilda populationer
Äldre (äldre än 65 år)
I det kliniska försöksprogrammet med PecFent var 104 (26,1 %) av patienterna äldre än 60 år, 67 (16,8 %) var äldre än 65 år och 15 (3,8 %) var äldre än 75 år. Det fanns inga tecken på att äldre patienter hade någon tendens att titrera till lägre doser eller att de upplevde fler biverkningar. Trots detta bör extra noggrannhet iakttas vid användning av PecFent hos äldre patienter på grund av vikten av fungerande njur- och leverfunktion för metabolism och clearance av fentanyl. Inga farmakokinetiska data om användningen av PecFent hos äldre patienter är tillgängliga.
Nedsatt lever- eller njurfunktion
PecFent ska administreras med försiktighet till patienter med måttligt till svårt nedsatt lever- eller njurfunktion (se avsnitt Varningar och försiktighet).
Pediatrisk population
Säkerhet och effekt för PecFent för barn under 18 år har ännu inte fastställts.
Inga data finns tillgängliga.
Administreringssätt
PecFent är endast avsett för nasal användning.
Flaskan ska tas bort från den barnskyddande behållaren omedelbart innan användning och skyddskorken ska tas bort. Flaskan måste prepareras före första användningen. Håll flaskan upprätt och tryck och släpp fingergreppen på vardera sidan av munstycket tills dess att en grön stapel visas i mätfönstret (bör visas efter fyra sprejningar).
Om produkten inte har använts på fem dagar ska den prepareras på nytt genom att man sprejar en gång. Uppmana patienten att skriva datumet för första användningen på avsedd plats på etiketten på den barnskyddande behållaren.
Administrera PecFent genom att placera munstycket en liten bit (ungefär 1 cm) in i näsborren och rikta den något mot näsryggen. Administrera sedan en spraydos genom att trycka ned och släppa upp fingergreppen på vardera sidan om munstycket. Ett klick hörs och antalet som visas på räknaren stiger med ett steg.
Patienten måste informeras om att han eller hon eventuellt inte kommer att känna när sprayen administreras. Han eller hon måste därför förlita sig på det hörbara klicket och på det stigande antalet på räknaren för att bekräfta att en spraydos har levererats.
PecFent-spraydropparna bildar en gel inne i näsan. Avråd patienten från att snyta sig omedelbart efter administrering av PecFent.
Sätt tillbaka skyddskorken efter varje användning och sätt tillbaka flaskan i den barnskyddande behållaren för säker förvaring.
Kontraindikationer
Överkänslighet mot den aktiva substansen eller mot något hjälpämne som anges i avsnitt Förteckning över hjälpämnen.
Patienter utan underhållsbehandling med opioider eftersom det medför ökad risk för andningsdepression.
Allvarlig respiratorisk depression eller allvarliga obstruktiva lungsjukdomar.
Behandling av akut smärta annan än genombrottssmärta.
Patienter som behandlas med läkemedel innehållande natriumoxibat.
Varningar och försiktighet
På grund av de risker, däribland dödsfall, som är förknippade med oavsiktlig exponering, felaktig användning och missbruk, måste patienter och deras vårdgivare uppmanas att förvara PecFent på ett säkert ställe, som inte är tillgängligt för andra.
Patienten och dennes vårdare måste informeras om att PecFent innehåller en aktiv substans i en mängd som kan vara dödlig för ett barn.
För att minimera risken för opioidrelaterade biverkningar och för att identifiera den effektiva dosen är det absolut nödvändigt att patienten övervakas noga av vårdpersonal under titreringsprocessen.
Det är viktigt att den långverkande opioidbehandling som används för att behandla patientens ihållande smärta har stabiliserats innan PecFent-behandlingen påbörjas.
Hyperalgesi
Liksom med andra opioider ska risken för av opioidinducerad hyperalgesi övervägas om patienten inte uppnår tillräcklig smärtkontroll trots ökad dos fentanyl. I sådana fall kan en sänkning av fentanyldosen eller utsättning av fentanylbehandlingen vara indicerad.
Respiratorisk depression
Det föreligger risk för kliniskt signifikant respiratorisk depression associerad med användning av fentanyl. Patienter med smärta som erhåller kronisk opioidbehandling utvecklar tolerans mot respiratorisk depression och följaktligen är risken för respiratorisk depression bland dessa patienter reducerad. Samtidig användning av lugnande medel som påverkar centrala nervsystemet kan öka risken för respiratorisk depression (se avsnitt Interaktioner).
Kronisk lungsjukdom
Hos patienter med kroniska obstruktiva lungsjukdomar kan fentanyl föranleda allvarligare biverkningar. Hos dessa patienter kan opioider minska andningsdriften och öka luftvägsmotståndet.
Ökat intrakraniellt tryck
PecFent får endast administreras med extrem försiktighet till patienter som kan vara särskilt mottagliga för de intrakraniella effekterna av CO2-retention, t.ex. patienter med påvisat ökat intrakraniellt tryck eller nedsatt medvetandegrad. Opioider kan maskera det kliniska förloppet hos patienter med en huvudskada och får endast användas om det är kliniskt berättigat.
Hjärtsjukdom
Fentanyl kan ge upphov till bradykardi. PecFent bör därför användas med försiktighet till patienter med tidigare eller befintliga bradyarytmier.
Nedsatt lever- eller njurfunktion
Dessutom måste PecFent administreras med försiktighet till patienter med nedsatt lever- eller njurfunktion. Inverkan av nedsatt lever- och njurfunktion på läkemedlets farmakokinetik har inte utvärderats. När läkemedlet administreras intravenöst har dock clearancen av fentanyl visat sig vara förändrad hos personer med nedsatt lever- och njurfunktion på grund av förändringar i metabolisk clearance och plasmaproteiner. Därför ska särskild försiktighet iakttas under titreringsprocessen när det gäller patienter med måttligt eller allvarligt nedsatt lever- eller njurfunktion.
Överväg noga lämpligheten av behandling av patienter med hypovolemi och hypotoni.
Tolerans och opioidberoende (missbruk och beroende)
Patienten kan utveckla tolerans och fysiskt och/eller psykiskt beroende vid upprepad administrering av opioider såsom fentanyl.
Upprepad användning av PecFent kan leda till opioidberoende. Högre dos och längre behandlingstid med opioider kan öka risken för att utveckla opioidberoende. Missbruk eller avsiktlig felanvändning av PecFent kan resultera i överdos och/eller dödsfall. Risken att utveckla opioidberoende är förhöjd hos patienter med en personlig anamnes eller familjeanamnes (föräldrar eller syskon) på drogberoende (inklusive alkoholberoende), hos patienter som använder tobak eller hos patienter med anamnes på andra psykiska sjukdomar (t.ex. egentlig depression, ångest och personlighetsstörning).
Innan behandling med PecFent inleds och under behandlingen ska behandlingsmål och utsättningsplan fastställas i samråd med patienten (se avsnitt Dosering och administreringssätt). Före och under behandlingen ska patienten också informeras om riskerna för och tecknen på opioidberoende. Patienterna ska uppmanas att kontakta läkare om sådana tecken skulle uppträda.
Patienterna ska övervakas avseende tecken på drogsökande beteende (t.ex. för tidiga önskemål om påfyllning). Detta inkluderar en genomgång av opioider och psykoaktiva läkemedel (såsom bensodiazepiner) som används samtidigt. Om en patient visar tecken och symtom på opioidberoende ska konsultation med beroendespecialist övervägas.
Idrottsmän måste informeras om att behandling med fentanyl kan resultera i positiva dopingtester.
Serotonergt syndrom
Försiktighet bör iakttas när PecFent administreras samtidigt med läkemedel som påverkar det serotonerga signalsubstanssystemet.
Ett eventuellt livshotande serotonergt syndrom kan uppkomma vid samtidig användning av serotonerga läkemedel som selektiva serotoninåterupptagshämmare (SSRI) och selektiva serotonin‑noradrenalinåterupptagshämmare (SNRI), och med läkemedel som påverkar metabolismen av serotonin (t.ex. monoaminoxidashämmare [MAO‑hämmare]). Detta kan uppkomma med den rekommenderade dosen (se avsnitt Interaktioner).
Serotonergt syndrom kan omfatta förändringar av mentalt status (t.ex. agitation, hallucinationer, koma), autonom instabilitet (t.ex. takykardi, instabilt blodtryck, hypertermi), neuromuskulära avvikelser (t.ex. hyperreflexi, inkoordination, stelhet) och/eller gastrointestinala symtom (t.ex. illamående, kräkningar, diarré).
Vid misstanke om serotonergt syndrom ska behandlingen med PecFent sättas ut.
Administreringsväg
PecFent är endast avsett för nasal användning och får inte administreras på något annat sätt. På grund av fysikaliska och kemiska egenskaper hos hjälpämnen i beredningen måste framför allt intravenös eller intraarteriell injektion undvikas.
Nässjukdomar
Om patienten erfar upprepade episoder av epistaxis eller obehag i näsan när PecFent tas ska ett alternativt administreringssätt för behandling av genombrottssmärta övervägas.
Sömnrelaterade andningsstörningar
Opioider kan orsaka sömnrelaterade andningsstörningar såsom central sömnapné och sömnrelaterad hypoxemi. Opioidanvändning ökar risken för central sömnapné på ett dosberoende sätt. Överväg att minska den totala dosen opioider till patienter med central sömnapné.
Användning samtidigt med sedativa
Samtidig användning av PecFent och sederande läkemedel som bensodiazepiner och besläktade läkemedel kan leda till sedering, andningsdepression, koma och död. På grund av dessa risker ska samtidig förskrivning av dessa sederande läkemedel begränsas till enbart patienter för vilka inga andra behandlingsalternativ är möjliga. Om beslutet fattas att förskriva PecFent samtidigt med sederande läkemedel ska lägsta effektiva dos användas och behandling pågå en så kort tid som möjligt.
Patienterna ska övervakas noga avseende tecken och symtom på andningsdepression och sedering.
Det rekommenderas därför starkt att patienter och vårdare informeras om att vara uppmärksamma på dessa symtom (se avsnitt Interaktioner).
PecFent-hjälpämne
PecFent innehåller propylparahydroxibensoat (E216). Propylparahydroxibensoat kan orsaka allergiska reaktioner (eventuellt fördröjda) och, i enstaka fall, bronkospasm (om läkemedlet inte administreras på rätt sätt).
Interaktioner
Samtidig användning av läkemedel som innehåller natriumoxibat och fentanyl är kontraindicerat (se avsnitt Kontraindikationer). Behandling med natriumoxibat ska avbrytas innan behandling med PecFent inleds.
Fentanyl metaboliseras huvudsakligen via det humana cytokrom P450 3A4-isoenzymsystemet (CYP3A4) och därför kan potentiella interaktioner förekomma när PecFent ges samtidigt med läkemedel som påverkar CYP3A4-aktiviteten. Samtidig administrering med läkemedel som inducerar 3A4-aktivitet kan reducera PecFents effekt. Samtida användning av PecFent med starka CYP3A4-hämmare (t.ex. ritonavir, ketokonazol, itrakonazol, troleandomycin, klaritromycin och nelfinavir) eller moderata CYP3A4-hämmare (t.ex. amprenavir, aprepitant, diltiazem, erytromycin, flukonazol, fosamprenavir, grapefruktjuice och verapamil) kan resultera i förhöjda fentanylplasmakoncentrationer, vilket kan orsaka allvarliga negativa läkemedelsreaktioner inklusive livshotande respiratorisk depression. Patienter som erhåller PecFent samtidigt med måttlig/stark CYP3A4-hämmare ska övervakas noggrant under en utökad tidsperiod. Dosökning ska genomföras med försiktighet.
Samtidig användning av andra lugnande medel som påverkar centrala nervsystemet, däribland andra opioider, sedativa eller hypnotiska läkemedel, narkosmedel, fenotiaziner, sedativa, skelettmuskelrelaxerande medel, gabapentinoider (gabapentin och pregabalin) lugnande antihistaminer och alkohol, kan förorsaka ytterligare lugnande effekter. Samtidig användning av opioider och sederande läkemedel som bensodiazepiner och besläktade läkemedel ökar risken för sedering, andningsdepression, koma och död på grund av den additiva effekten på CNS. Lägsta effektiva dos av de sederande medlen ska användas och varaktigheten för den samtidiga behandlingen begränsas (se avsnitt Varningar och försiktighet).
Serotonerga läkemedel:
Samtidig administrering av fentanyl med ett serotonergt läkemedel, t.ex. en selektiv serotoninåterupptagshämmare (SSRI), en selektiv serotonin‑noradrenalinåterupptagshämmare (SNRI) eller en monoaminoxidashämmare (MAO‑hämmare) kan öka risken för serotonergt syndrom, ett eventuellt livshotande tillstånd.
PecFent rekommenderas inte för användning hos patienter som har behandlats med MAO-hämmare (monoaminoxidashämmare) under de senaste 14 dagarna eftersom svår och oförutsägbar potentiering av MAO-hämmare har rapporterats tillsammans med opioidanalgetika.
Samtidig användning av partiella opioidagonister eller -antagonister (t.ex. buprenorfin, nalbufin och pentazocin) rekommenderas inte. Dessa läkemedel har en hög affinitet till opioidreceptorer med relativt låg inre aktivitet och motverkar därför delvis fentanyls smärtstillande effekt och kan inducera abstinenssymtom hos opioidberoende patienter.
Samtidig användning av oximetazolin som administreras intranasalt har visat sig minska absorptionen av PecFent (se avsnitt Farmakokinetiska egenskaper). Samtidig användning ave kärlsammandragande avsvällande medel som administreras intranasalt rekommenderas därför inte då detta kan leda till att patienten titrerar till en högre dos än nödvändigt. Underhållsbehandling med PecFent kan även vara mindre effektiv hos patienter med rinit när läkemedlet administreras samtidigt med ett kärlsammandragande avsvällande medel. Om detta inträffar ska patienten uppmanas avbryta användningen av det avsvällande medlet.
Samtidig användning av PecFent och andra läkemedel (andra än oximetazolin) som administreras intranasalt har inte utvärderats i kliniska prövningar. Andra via näsan administrerade behandlingar ska undvikas under 15 minuter efter dosering med PecFent.
Fertilitet, graviditet och amning
Graviditet
Adekvata data från användningen av fentanyl i gravida kvinnor saknas. Djurstudier har visat reproduktionstoxikologiska effekter (se avsnitt Prekliniska säkerhetsuppgifter). Risken för människa är okänd. PecFent ska inte användas under graviditet om det inte är helt nödvändigt.
Efter långvarig behandling kan fentanyl orsaka abstinens hos det nyfödda barnet. Det rekommenderas att fentanyl inte används under värkar och förlossning (inklusive kejsarsnitt) eftersom fentanyl passerar genom moderkakan och kan orsaka respiratorisk depression hos fostret. Om PecFent administreras ska en antidot vara omedelbart tillgänglig för barnet.
Amning
Fentanyl passerar över i bröstmjölk och kan leda till sedering och respiratorisk depression hos det ammade barnet. Fentanyl ska inte användas av ammande kvinnor och amningen ska inte påbörjas på nytt förrän minst 5 dygn efter den sista fentanyladministreringen.
Fertilitet
Adekvata data om hur fentanyl påverkar fertilitet saknas.
Effekter på förmågan att framföra fordon och använda maskiner
Opioidanalgetika kan försämra den mentala och/eller fysiska förmåga som krävs för att köra fordon eller använda maskiner.
Patienten ska uppmanas att inte köra fordon eller använda maskiner om han eller hon känner sig sömnig, yr eller upplever synstörningar eller andra biverkningar som kan försämra förmågan att köra fordon eller använda maskiner.
Biverkningar
Sammanfattning av säkerhetsprofilen
Typiska opioidbiverkningar är att förvänta vid användning av PecFent. Ofta upphör dessa eller avtar i intensitet vid fortsatt användning av läkemedlet i och med att patienten titreras till den mest lämpliga dosen. De allvarligaste biverkningarna är dock respiratorisk depression (vilket kan leda till apné eller andningsstillestånd), cirkulationsstillestånd, hypotoni och chock och samtliga patienter ska övervakas med hänsyn till dessa.
De kliniska studierna av PecFent var avsedda att utvärdera säkerheten och effekt av behandling av genombrottssmärta och samtliga patienter erhöll även bakgrundsopioidbehandling, t.ex. oavbruten frisättning av morfin eller transdermalt fentanyl, för sin ihållande smärta. Följaktligen är det omöjligt att definitivt särskilja effekterna av enbart PecFent.
Tabell över biverkningar
Följande biverkningar har rapporterats med PecFent och/eller andra föreningar som innehåller fentanyl under kliniska studier och efter godkännandet för försäljning, (frekvenserna definieras som mycket vanliga [≥ 1/10], vanliga [≥ 1/100, < 1/10], mindre vanliga [≥ 1/1 000, < 1/100], sällsynta [≥ 1/10 000, < 1/1 000], mycket sällsynta [< 1/10 000] och ingen känd frekvens [kan inte beräknas från tillgängliga data)).
Vanliga | Mindre vanliga | Ingen känd frekvens | |
Infektioner och infestationer | Lunginflammation Nasofaryngit Faryngit Rinit | ||
Blodet och lymfsystemet | Neutropeni | ||
Immunsystemsjukdomar | Överkänslighet | ||
Metabolism och nutrition | Dehydrering Hyperglykemi Minskad aptit Ökad aptit | ||
Psykiatriska sjukdomar | Desorientering | Delirium Hallucinationer Förvirringstillstånd Depression Hyperaktivitetssyndrom/ADHD Ångest Eufori Nervositet | Insomni Läkemedelsberoende Läkemedelsmissbruk |
Centrala och perifera nervsystemet | Dysgeusi Yrsel Sömnighet Huvudvärk | Förlust av medvetande Nedsatt medvetandegrad Konvulsion Ageusi Anosmi Försämrat minne Parosmi Talrubbning Sedering Letargi Tremor | |
Sjukdomar i öron och balansorgan | Vertigo | ||
Hjärtsjukdomar | Cyanos | ||
Vaskulära sjukdomar | Kardiovaskulär insufficiens Lymfödem Hypotoni Flush | Rodnad | |
Respiratoriska, torakala och mediastinala sjukdomar | Epistaxis Rinorré Obehag i näsan (t.ex sveda i näsan) | Obstruktion i övre luftvägarna Smärta i svalg och struphuvud Rinalgi Påverkan på nässlemhinnan Hosta Dyspné Nysning Övre luftvägsobstruktion Nästäppa Intranasal hypestesi Halsirritation Postnasalt dropp Torrhet i näsan | Andningsdepression |
Magtarmkanalen | Kräkningar Illamående Förstoppning | Tarmperforation Peritonit Oral hypestesi Oral parestesi Diarré Kräkningskänsla Buksmärta Tungpåverkan Sårbildning i munnen Dyspepsi Muntorrhet | |
Sjukdomar i hud och subkutan vävnad | Pruritus | Hyperhidros Nässelfeber | |
Muskuloskeletala systemet och bindväv | Artralgi Muskelryckningar | ||
Njur- och urinvägssjukdomar | Anuri Dysuri Proteinuri Nedsatt urinflöde | ||
Sjukdomar i fortplantningssystem och bröst | Vaginal blödning | ||
Allmänna sjukdomar och tillstånd på administreringsställe | Icke hjärtrelaterad bröstsmärta Asteni Frossbrytningar Ansiktsödem Perifert ödem Gångstörning Pyrexi Utmattning Allmän sjukdomskänsla Törst | Abstinenssyndrom* Neonatalt abstinens-syndrom, läkemedelstolerans | |
Utredningar | Minskat trombocytantal Viktökning | ||
Skador, förgiftningar och behandlingskomplikationer | Fall Avsiktligt läkemedelsmissbruk Medicineringsfel |
*Opioidabstinenssymtom såsom illamående, kräkningar, diarré, ångest, frossbrytningar, tremor och svettningar har observerats med transmukosalt fentanyl.
Beskrivning av utvalda biverkningar
Tolerans
Tolerans kan utvecklas vid upprepad användning.
Läkemedelsberoende
Upprepad användning av PecFent kan leda till läkemedelsberoende, även vid terapeutiska doser. Risken för läkemedelsberoende kan variera beroende på en patients individuella riskfaktorer, dosering och opioidbehandlingens längd (se avsnitt Varningar och försiktighet).
Rapportering av misstänkta biverkningar
Det är viktigt att rapportera misstänkta biverkningar efter att läkemedlet godkänts. Det gör det möjligt att kontinuerligt övervaka läkemedlets nytta-riskförhållande. Hälso- och sjukvårdspersonal uppmanas att rapportera varje misstänkt biverkning via
webbplats: www.fimea.fi
Säkerhets- och utvecklingscentret för läkemedelsområdet Fimea
Biverkningsregistret
PB 55
00034 FIMEA
Överdosering
Karaktären på symtomen på fentanylöverdosering intranasalt förväntas likna överdoseringssymtomen för intravenös fentanyl och andra opioider och är en förstärkning av dess farmakologiska verkningar, där den allvarligaste signifikanta effekten är respiratorisk depression. Det är också känt att koma förekommer.
Omedelbar hantering av opioidöverdosering omfattar att säkerställa en fri luftväg, stimulera patienten fysiskt och verbalt, bedöma/medvetandegraden och andnings- och cirkulationsstatus samt att assistera andningen (ventilationshjälp) vid behov.
Toxisk leukoencefalopati har också observerats vid överdosering av fentanyl.
För behandling av överdosering (oavsiktligt intagande) hos en opioidnaiv person ska intravenös access säkras och naloxon eller andra opioidantagonister sättas in. Varaktigheten av respiratorisk depression efter överdosering kan vara längre än effekterna av opioidantagonistens verkan (exempelvis varierar halveringstiden för naloxon mellan 30 och 81 minuter) och upprepad administrering kan vara nödvändig. Information om sådan användning finns i produktresumén för den individuella opioidantagonisten.
För behandling av överdosering hos patienter som erhåller underhållsbehandling med opioider ska intravenös access säkerställas. Användning av naloxon eller annan opioidantagonist kan vara befogad under vissa omständigheter, men kan leda till påskyndande av ett akut abstinenssyndrom.
Observera att även om det förekom statistiskt signifikanta ökningar av Cmax-nivåerna efter en andra PecFent-dos, som gavs antingen en eller två timmar efter den första dosen, anses dessa inte vara tillräckligt stora för att ackumulering eller överexponering kommer att inträffa. Detta innebär att det rekommenderade dosintervallet på fyra timmar representerar en bred säkerhetsmarginal.
Även om muskelstelhet som stör respirationen inte har observerats efter användning av PecFent är detta en möjlig biverkning vid användning av fentanyl och andra opioider. Hantera en sådan eventuell stelhet genom att tillämpa assisterad andning, ge en opioidantagonist och, som en sista utväg, ge ett neuromuskulärt blockeringsmedel.
Fall av Cheyne-Stokes andning har observerats vid överdosering av fentanyl, särskilt hos patienter med hjärtsvikt i anamnesen.
Farmakologiska egenskaper
Farmakodynamiska egenskaper
Farmakoterapeutisk grupp: Analgetika; opioider; fenylpiperidinderivat; ATC-kod: N02A-B03.
Verkningsmekanism
Fentanyl är ett opioidanalgetikum som övervägande samverkar med den opioida µ-receptorn. Läkemedlets huvudsakliga terapeutiska effekt är smärtlindring och sedering. Sekundära farmakologiska effekter utgörs av respiratorisk depression, bradykardi, hypotermi, förstoppning, mios, fysiskt beroende och eufori.
Opioider kan påverka hypotalamus-hypofys-binjure- eller -gonadaxeln. Några av de förändringar som kan ses är förhöjt serumprolaktin och lägre nivåer av kortisol och testosteron i plasma, vilket kan ge upphov till kliniska tecken och symtom.
Farmakodynamisk effekt
En dubbelblind, randomiserad, placebokontrollerad crossover-studie har genomförts, i vilken 114 patienter som upplevde i genomsnitt 1–4 episoder av genombrottssmärta varje dag medan de erhöll underhållsbehandling med opioider, deltog i en inledande öppen titreringsfas för fastställandet av en effektiv PecFent-dos (studie CP043). Hos de patienter som medtogs i den dubbelblinda fasen behandlades upp till 10 episoder med genombrottssmärta med antingen PecFent (7 episoder) eller placebo (3) i slumpmässig följd.
Av de patienter som deltog i titreringsfasen var det endast 7 (6,1 %) som inte kunde titreras till en effektiv dos på grund av utebliven effektivitet och 6 (5,3 %) drog sig ur på grund av biverkningar.
Primär endpoint var jämförelsen mellan den summerade skillnaden i smärtintensitet vid 30 minuter efter dosering (SPID30), vilket var 6,57 för de PecFent-behandlade episoderna jämfört med 4,45 för placebo (p<0,0001). SPID för PecFent-behandlade episoder skilde sig även signifikant från placebo vid 10, 15, 45 och 60 minuter efter administrering.
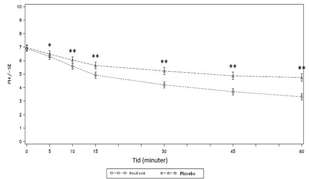
Genomsnittliga smärtintensitetsvärden (73 patienter) för samtliga PecFent-behandlade episoder (459 episoder) jämfört med episoder som behandlades med placebo (200 episoder) var signifikant lägre vid 5, 10, 15, 30, 45 och 60 minuter efter administrering (se figur 1).
Figur 1: Genomsnittliga (± SE) smärtintensitetsvärden vid varje tidpunkt (mITT-population)
Obs! Smärtintensitetsvärden (medelvärdet av försökspersonernas medelvärde) efter PecFent- och placeboadministrering.
* Signifikant skillnad observerades vid alfanivån <=0,05 mellan PecFent och placebo vid den tidpunkten.
* Signifikant skillnad observerades vid alfanivån <=0,01 mellan PecFent och placebo vid den tidpunkten.
Den överlägsna effekten av PecFent jämfört med placebo stöddes av data från sekundära endpoints inklusive antalet episoder med genombrottssmärta med kliniskt betydelsefull smärtlindring, definierad som en minskning av smärtintensitetsvärdet på minst 2 (Figur 2)
Figur 2: Kliniskt betydelsefull smärtlindring – PecFent jämfört med placebo: % patientepisoder med ≥ 2 poängs reduktion av smärtintensiteten.

**P=0,011 jämfört med placebo
***P<0,0001 jämfört med placebo
I en dubbelblind, randomiserad, komparatorkontrollerad studie (studie 044) av liknande design som studie 043, som genomfördes bland opioidtoleranta cancerpatienter med genombrottssmärta vid stabila doser av regelbundet schemalagda opioider, visade sig PecFent vara överlägsen morfinsulfat med omedelbar frisättning. Överlägsenheten demonstrerades av den primära endpointen (smärtintensitetsskillnad inom 15 minuter) vilken var 3,02 hos patienter som behandlades med PecFent jämfört med 2,69 hos patienter som behandlades med morfinsulfat med omedelbar frisättning (p=0,0396).
I en långsiktig, öppen säkerhetsstudie (studie 045) gick 355 patienter in i den 16 veckor långa behandlingsfasen, under vilken 42 227 episoder av genombrottssmärta vid cancer behandlades med PecFent. Etthundra av dessa patienter fortsatte behandlingen i upp till 26 månader i en förlängningsfas. Av de 355 patienter som behandlades i den öppna behandlingsfasen behövde 90 % ingen dosökning.
I den randomiserade, placebokontrollerade studien (CP043) behövde 9,4 % av 459 episoder med genombrottssmärta som behandlades med PecFent, 73 patienter, behandling med andra (räddningspreparat) medicinska preparat inom 60 minuter räknat från administration. Under den mer långsiktiga, öppna studien (CP045) var utfallet 6,0 % av 42 227 episoder hos 355 patienter som behandlades med PecFent under upp till 159 dagar.
Farmakokinetiska egenskaper
Allmän beskrivning
Fentanyl är mycket lipofilt och kan absorberas mycket snabbt genom näsans slemhinna och långsammare via den gastrointestinala vägen. Läkemedlet måste först passera genom lever- och tarmmetabolism och metaboliterna bidrar inte till fentanyls terapeutiska effekter.
PecFent utnyttjar PecSys leveranssystem för läkemedel via näsan för att anpassa leveransen och absorptionen av fentanyl. Med hjälp av PecSys-systemet kan användaren spreja in produkten i näshålans främre del som en fin droppdusch som bildar en gel vid kontakt med de kalciumjoner som finns i näsans slemhinna. Fentanyl diffunderar från gelen och absorberas genom näsans slemhinna. Denna gelmodulerade absorption av fentanyl håller tillbaka plasmakoncentrationstoppen (Cmax) samtidigt som den gör det möjligt att nå en tidig tid till denna topp (Tmax).
Absorption
I en farmakokinetisk studie där PecFent (100, 200, 400 och 800 mikrogram) jämfördes med oralt transmukosalt fentanylcitrat (OTFC, 200 mikrogram) visade det sig att fentanyl absorberades snabbt efter intranasal administrering av en enkel PecFent-dos, med median Tmax på mellan 15 och 21 minuter (Tmax för OTFC var ungefär 90 minuter). De farmakokinetiska olikheterna för fentanyl var omfattande efter behandling med både PecFent och OTFC. Fentanyls relativa biotillgänglighet från PecFent-behandlingen jämfört med 200 mikrogram OTFC var ungefär 120 %.
De huvudsakliga farmakokinetiska parametrarna visas i tabellen nedan.
Farmakokinetiska parametrar hos vuxna försökspersoner som behandlas med PecFent och OTFC
Farmakokinetiska parametrar (medelvärde [% CV]) | PecFent | OTFC | |||
100 mikrogram | 200 mikrogram | 400 mikrogram | 800 mikrogram | 200 mikrogram | |
Tmax (timmar) * | 0,33 (0,08‑1,50) | 0,25 (0,17‑1,60) | 0,35 (0,25‑0,75) | 0,34 (0,17‑3,00) | 1,50 (0,50‑8,00) |
Cmax (pg/ml) | 351,5 (51,3) | 780,8 (48,4) | 1 552,1 (26,2) | 2 844,0 (56,0) | 317,4 (29,9) |
AUC (pg·tim/ml) | 2 460,5 (17,9) | 4 359,9 (29,8) | 7 513,4 (26,7) | 17272 (48,9) | 3 735,0 (32,8) |
t½(timme) | 21,9 (13,6) | 24,9 (51,3) | 15,0 (24,7) | 24,9 (92,5) | 18,6 (31,4) |
* Data för Tmax presenteras som median (omfång).
Kurvorna för varje dosnivå är liknande vad gäller form där ökade dosnivåer framkallar ökade fentanylnivåer i plasma. Dosproportionalitet demonstrerades för Cmax och området under kurvan i dosintervallet 100–800 mikrogram (se figur 3). Om patienten växlar till PecFent från en annan fentanylprodukt för behandling av genombrottssmärta krävs oberoende dostitrering med PecFent eftersom olika produkters biotillgänglighet varierar väsentligt.
Figur 3: Genomsnittliga fentanylkoncentrationer i plasma efter enkeldoser av PecFent och OTFC hos friska försökspersoner
En farmakokinetisk studie genomfördes för att utvärdera hur en enkel PecFent-dos absorberades och tolererades av patienter med polleninducerad säsongsbunden allergisk rinit (hösnuva). Studien jämförde tillstånden: okonfronterat, akut konfronterat (med rinit) och akut konfronterat och sedan behandlat med oximetazolin.
Det förekom ingen kliniskt signifikant effekt av akut rinit på Cmax, Tmax eller total exponering för fentanyl, vid jämförelse mellan det okonfronterade och det akut konfronterade tillståndet. Efter behandling av det akuta rinittillståndet med oximetazolin observerades reduceringar i Cmax och exponering och ökningar i Tmax som var statistiskt och möjligen kliniskt signifikanta.
Distribution
Fentanyl är mycket lipofilt och distribueras väl utanför kärlsystemet med en stor tydlig distributionsvolym. Data från djurstudier har visat att fentanyl efter absorption distribueras snabbt till hjärna, hjärta, lungor, njurar och mjälte följt av en långsammare omfördelning till muskler och fett.
Fentanyls plasmaproteinbindning är 80–85 %. Det huvudsakliga bindande proteinet är alfa-1-surt glykoprotein, men både albumin och lipoproteiner bidrar till viss del. Den fria fentanylfraktionen ökar med acidos.
Metabolism
De metabola banorna efter administrering i näsan av PecFent har inte beskrivits i kliniska studier. Fentanyl metaboliseras i levern till norfentanyl av cytokrom CYP3A4-isoform. Norfentanyl är inte farmakologiskt aktivt i djurstudier. Det elimineras till mer än 90 % genom biotransformation till N‑dealkylerade och hydroxylerade inaktiva metaboliter.
Eliminering
Disposition av fentanyl efter administrering i näsan av PecFent har inte beskrivits vid någon massbalansstudie. Mindre än 7 % av en administrerad fentanyldos utsöndras oförändrad i urinen och endast cirka 1 % utsöndras oförändrad i avföringen. Metaboliterna utsöndras huvudsakligen i urinen medan fekal utsöndring har mindre betydelse.
Total plasmaclearance för fentanyl efter intravenös administrering är ungefär 42 l/tim.
Linjäritet/icke-linjäritet
Dosproportionalitet demonstrerades för Cmax och området under kurvan i dosintervallet 100–800 mikrogram.
Effekten av nedsatt njur- eller leverfunktion på PecFents farmakokinetik har inte undersökts.
Prekliniska säkerhetsuppgifter
Gängse studier avseende säkerhetsfarmakologi, allmäntoxicitet, gentoxicitet och karcinogenicitet visade inte några särskilda risker för människa.
Toxicitetsstudier rörande embryo- och fosterutveckling som genomförts på råttor och kaniner avslöjande inga sammansättningsinducerade missbildningar eller utvecklingsrelaterade variationer vid administrering under organogenesperioden.
I en studie rörande fertilitet och tidig fosterutveckling bland råttor observerades en hankönsmedierad effekt vid höga doser (300 mikrogram/kg/dag, subkutant) vilket överensstämmer med fentanyls sedativa effekt baserat på djurstudier.
I studier av prenatal och postnatal utveckling hos råttor var överlevnaden för avkommorna signifikant reducerad vid doser som orsakar allvarlig toxicitet hos modern. Ytterligare resultat vid för modern toxiska doser, hos F1-avkommor var försenad fysisk utveckling, försenade sinnesfunktioner och reflexer samt gällande beteende. Dessa effekter var antingen indirekta effekter på grund av förändrad omsorg från modern och/eller reducerad mjölkavsöndring eller en direkt effekt av fentanyl på avkomman.
Karcinogena studier (26 veckors alternativ bioassay i huden på Tg.AC genmodifierade möss: en tvåårig subkutan karcinogenstudie på råttor) med fentanyl visade inga fynd med onkogen potential. Bedömning av bilder av hjärnan från karcinogenicitetsstudien på råttor visade hjärnlesioner på djur som fått höga doser av fentanylcitrat. Relevansen av dessa fynd för människor är okänd.
Farmaceutiska uppgifter
Förteckning över hjälpämnen
Pektin (E440)
Mannitol (E421)
Fenyletylalkohol
Propylparahydroxibensoat (E216)
Sackaros
Saltsyra (0,36 %) eller natriumhydroxid (för pH-justering)
Renat vatten
Inkompatibiliteter
Ej relevant.
Hållbarhet
3 år
Efter första användningen: 60 dagar
Särskilda förvaringsanvisningar
Förvaras vid högst 25 °C.
Får ej frysas.
Förvara flaskan i den barnskyddande behållaren. Ljuskänsligt.
Förvara alltid flaskan i den barnskyddande behållaren, även när den är tom.
Förpackningstyp och innehåll
Markkinoilla olevat pakkaukset
Resepti
PECFENT nenäsumute, liuos
100 mikrog/suihke (L:ei) 8 annosta (60,57 €)
400 mikrog/suihke (L:ei) 8 annosta (60,57 €)
PF-selosteen tieto
Glasflaska (genomskinlig, typ I) med tillhörande doseringspump innefattande hörbar dosräknare och genomskinlig skyddskork. Förpackad i en musselskalsliknande barnskyddande behållare.
Flaska innehåller 1,55 ml vilket räcker till åtta hela spraydoser.
Flaskorna i barnskyddande behållare levereras i kartonger med 1 flaska.
Läkemedlets utseende:
En klar till så gott som klar, färglös, vattenliknande lösning.
Särskilda anvisningar för destruktion och övrig hantering
Delvis använda PecFent-flaskor kan innehålla tillräckligt med läkemedel för att vara skadliga eller livshotande för ett barn. Även om det bara är litet eller inget läkemedel kvar i flaskan måste PecFent kasseras på rätt sätt i enlighet med följande steg:
- Patienter och vårdgivare måste instrueras att på rätt sätt kassera alla oanvända, delvis använda och använda PecFent-flaskor. Patienten ska instrueras om hur detta görs på rätt sätt.
- Om det finns oönskade terapeutiska spraydoser kvar i flaskan ska patienten instrueras att spruta ut dessa enligt följande:
- Rikta sprayningen bort från sig själv (och andra människor) och spruta ut kvarvarande spray tills den röda siffran 8 visas i mätfönstret och det inte går att få ut fler hela terapeutiska spraydoser ur flaskan.
- När räknaren har kommit till 8 ska patienten fortsätta att trycka på fingergreppen (motståndet kommer att öka något) totalt fyra gånger för att spruta ut eventuella läkemedelsrester ur flaskan.
- När de 8 terapeutiska spraydoserna har sprutats ut hör patienten inget klick och räknaren går inte längre än till 8. De ytterligare spraydoserna som sprutas ut är inte hela doser och ska inte användas i behandlingssyfte.
Så snart PecFent inte längre behövs måste patienten och personer i dennes hushåll uppmanas att systematiskt kassera eventuella kvarvarande receptbelagda flaskor så snart som möjligt genom att sätta tillbaka dem i respektive barnskyddande behållare och kassera i enlighet med lokala föreskrifter eller genom att återlämna dem till apoteket.
Ersättning
PECFENT nenäsumute, liuos
100 mikrog/suihke 8 annosta
400 mikrog/suihke 8 annosta
- Ylempi erityiskorvaus (100 %). Rintasyöpä (115), Eturauhassyöpä (116), Leukemiat, muut pahanlaatuiset veri- ja luuydintaudit sekä pahanlaatuiset imukudostaudit (117), Gynekologiset syövät (128), Pahanlaatuiset kasvaimet, joita ei ole edellä erikseen mainittu (130).
- Peruskorvaus (40 %).
Atc-kod
N02AB03
Datum för översyn av produktresumén
16.05.2024
Yhteystiedot
Arne Jacobsens Allé 7
2300 København S
Denmark