RISPERDAL CONSTA pulver och vätska till injektionsvätska, depotsuspension 25 mg, 37,5 mg, 50 mg
Kvalitativ och kvantitativ sammansättning
1 injektionsflaska innehåller 25 mg risperidon.
1 injektionsflaska innehåller 37,5 mg risperidon.
1 injektionsflaska innehåller 50 mg risperidon.
1 ml färdigberedd suspension innehåller 12,5 mg risperidon.
1 ml färdigberedd suspension innehåller 18,75 mg risperidon.
1 ml färdigberedd suspension innehåller 25 mg risperidon.
Hjälpämnen med känd effekt:
1 ml färdigberedd suspension innehåller 3 mg natrium.
För fullständig förteckning över hjälpämnen, se avsnitt Förteckning över hjälpämnen.
Läkemedelsform
Pulver och vätska till injektionsvätska, depotsuspension.
Kliniska uppgifter
Terapeutiska indikationer
Risperdal Consta är indicerat för underhållsbehandling av schizofreni till patienter som för närvarande stabiliserats med perorala antipsykotika.
Dosering och administreringssätt
Dosering
Vuxna
Startdos
För de flesta patienter är den rekommenderade dosen 25 mg intramuskulärt varannan vecka. För de patienter som står på en fast dos oralt risperidon och har gjort så i 2 veckor eller längre ska följande konverteringsschema beaktas. Patienter som behandlats med en dos på 4 mg eller mindre av oralt risperidon ska ges 25 mg Risperdal Consta. Patienter som har behandlats med högre orala doser bör övervägas att ges den högre dosen 37,5 mg av Risperdal Consta.
I de fall där patienten för tillfället inte använder oralt risperidon, ska dosen av patientens nuvarande orala behandling tas med i beräkningen vid val av den intramuskulära startdosen. Den rekommenderade startdosen är 25 mg Risperdal Consta varannan vecka. Patienter som använder högre doser orala antipsykotika bör övervägas att ges den högre dosen 37,5 mg av Risperdal Consta.
Tillräcklig antipsykotisk tilläggsmedicinering med oralt risperidon eller patientens tidigare antipsykotiska läkemedel ska säkerställas under de 3 veckorna närmast efter den första injektionen av Risperdal Consta (se avsnitt Farmakokinetiska egenskaper).
Risperdal Consta ska inte användas vid akut behandling av schizofreni utan att säkerställa att tillräcklig antipsykotisk tilläggsbehandling ges med oralt risperidon eller med patientens tidigare antipsykotiska läkemedel under den 3 veckor långa effektfördröjningsperioden efter den första injektionen Risperdal Consta.
Underhållsdos
För de flesta patienter är den rekommenderade dosen 25 mg intramuskulärt varannan vecka. Vissa patienter kan ha nytta av de högre doserna 37,5 mg eller 50 mg. Dosjustering uppåt ska inte göras oftare än var fjärde vecka. Effekten av en sådan dosjustering kan inte förväntas förrän tidigast 3 veckor efter den första injektionen med den högre dosen. Det har i kliniska prövningar inte observerats någon ytterligare nytta med doser på 75 mg. Doser över 50 mg varannan vecka rekommenderas inte.
Äldre
Dosjustering är inte nödvändig. Den rekommenderade dosen är 25 mg intramuskulärt varannan vecka. I de fall där patienten för tillfället inte använder oralt risperidon, är den rekommenderade dosen 25 mg Risperdal Consta varannan vecka. För de patienter som står på en fast dos oralt risperidon och har gjort så i 2 veckor eller mer ska följande konverteringsschema beaktas. Patienter som behandlats med en dos på 4 mg eller mindre av oralt risperidon ska ges 25 mg Risperdal Consta. Patienter som har behandlats med högre orala doser bör övervägas att ges den högre dosen 37,5 mg av Risperdal Consta.
Tillräcklig antipsykotisk tilläggsmedicinering ska säkerställas under de 3 veckorna närmast efter den första injektionen av Risperdal Consta (se avsnitt Farmakokinetiska egenskaper). Kliniska data för användning av Risperdal Consta hos äldre är begränsad. Risperdal Consta bör användas med försiktighet hos äldre.
Nedsatt lever- och njurfunktion
Risperdal Consta har inte studerats på patienter med nedsatt lever- och njurfunktion.
Om patienter med nedsatt lever- eller njurfunktion behöver behandlas med Risperdal Consta rekommenderas en startdos om 0,5 mg oralt risperidon 2 gånger dagligen under den första veckan. Andra veckan kan 1 mg 2 gånger dagligen eller 2 mg 1 gång dagligen ges. Om en total oral daglig dos på minst 2 mg tolereras väl kan en injektion om 25 mg Risperdal Consta ges varannan vecka.
Tillräcklig antipsykotisk tilläggsmedicinering ska säkerställas under de 3 veckorna närmast efter den första injektionen av Risperdal Consta (se avsnitt Farmakokinetiska egenskaper).
Pediatrisk population
Säkerhet och effekt för Risperdal Consta för barn under 18 år har inte fastställts. Inga data finns tillgängliga.
Administreringssätt
Risperdal Consta ska ges varannan vecka som djup intramuskulär injektion i deltoideus eller djup intramuskulär gluteal injektion med lämplig säkerhetskanyl. För administrering i deltoideus, använd 25 mm (1”) nålen och variera injektionerna mellan de två armarna. För gluteal administrering, använd 50 mm (2”) nålen och variera injektionerna mellan de två skinkorna. Får inte administreras intravenöst (se avsnitt Varningar och försiktighet och Särskilda anvisningar för destruktion och övrig hantering).
Anvisningar om beredning av läkemedlet före administrering finns i avsnitt Särskilda anvisningar för destruktion och övrig hantering.
Kontraindikationer
Överkänslighet mot den aktiva substansen eller mot något hjälpämne som anges i avsnitt Förteckning över hjälpämnen.
Varningar och försiktighet
För patienter som inte tidigare behandlats med risperidon rekommenderas att man fastställer tolerabiliteten med peroralt risperidon innan behandling med Risperdal Consta påbörjas (se avsnitt Dosering och administreringssätt).
Äldre patienter med demens
Risperdal Consta har inte studerats på äldre patienter med demens, och är därför inte indicerat för användning i denna patientgrupp. Risperdal Consta är inte godkänd för behandling av demensrelaterade beteendestörningar.
Ökad mortalitet hos äldre med demenssjukdom
En metaanalys av 17 kontrollerade prövningar med atypiska antipsykotiska läkemedel, inklusive peroralt Risperdal, visade att äldre patienter med demens som behandlas med atypiska antipsykosläkemedel har förhöjd mortalitetsrisk jämfört med placebobehandlade. I placebokontrollerade studier med peroralt Risperdal i denna population var incidensen av mortalitet 4,0 % bland Risperdal-behandlade patienter jämfört med 3,1 % för placebobehandlade. Oddskvoten (95 % exakt konfidensintervall) var 1,21 (0,7; 2,1). Genomsnittlig ålder (åldersspann) för de patienter som avled var 86 (67–100) år. Data från två stora observationsstudier visade att äldre patienter med demens som behandlas med konventionell antipsykotika också har en något ökad dödlighet jämfört med dem som inte behandlas. Tillgängliga data är otillräckliga för att ge en säker uppskattning av risken och orsaken till denna. I vilken utsträckning resultatet av ökad mortalitet i observationsstudierna kan tillskrivas det antipsykotiska läkemedlet istället för vissa egenskaper hos patienterna är inte klart.
Samtidig användning av furosemid
I de placebokontrollerade studierna av peroralt Risperdal på äldre patienter med demens observerades en högre incidens av mortalitet bland patienter som behandlats med furosemid plus risperidon (7,3 %; medelålder 89 år, åldersspann 75–97 år) jämfört med patienter som behandlats med enbart risperidon (3,1 %; medelålder 84 år, åldersspann 70–96 år) eller enbart furosemid (4,1 %; medelålder 80 år, åldersspann 67–90 år). Den ökade mortaliteten hos patienter som behandlats med furosemid plus risperidon observerades i två av de fyra kliniska prövningarna. Samtidig användning av risperidon och andra diuretika (huvudsakligen tiaziddiuretika i låg dos) var inte associerat med liknande fynd.
Någon patofysiologisk mekanism som kan förklara detta fynd har inte identifierats, och inte heller har något konsekvent mönster avseende dödsorsaker observerats. Likväl ska försiktighet iakttas och riskerna med denna kombination eller samtidig behandling med andra potenta diuretika vägas mot nyttan innan beslut om användning fattas. Det förelåg ingen ökad incidens av mortalitet bland patienter som behandlades med andra diuretika samtidigt med risperidon. Oavsett behandling var dehydrering en generell riskfaktor för mortalitet, varför man bör vara särskilt noga med att undvika detta hos äldre patienter med demens.
Cerebrovaskulära händelser
En ca 3-faldig ökad risk för cerebrovaskulära biverkningar har noterats i randomiserade, placebokontrollerade kliniska studier på dementa patienter behandlade med vissa atypiska antipsykotiska läkemedel. Poolade data från sex placebokontrollerade studier med Risperdal avseende i huvudsak äldre patienter (> 65 år) med demens visade att cerebrovaskulära händelser (allvarliga och icke-allvarliga sammantagna) inträffade hos 3,3 % (33/1 009) av de patienter som behandlats med risperidon och 1,2 % (8/712) av de patienter som behandlats med placebo. Oddskvoten (95 % exakt konfidensintervall) var 2,96 (1,34; 7,50). Mekanismen för denna ökade risk är inte känd. En ökad risk kan inte uteslutas för andra antipsykotiska eller andra patientpopulationer. Risperdal Consta ska användas med försiktighet hos patienter med riskfaktorer för stroke.
Ortostatisk hypotension
På grund av risperidons alfablockerande effekt kan (ortostatisk) hypotension uppträda, i synnerhet i behandlingens inledningsskede. Kliniskt signifikant hypotension har observerats efter risperidons lansering, vid samtidig användning av risperidon och antihypertensiv behandling. Risperidon ska användas med försiktighet till patienter med känd hjärt–kärlsjukdom (t.ex. hjärtsvikt, hjärtinfarkt, överledningsrubbningar, dehydrering, hypovolemi eller cerebrovaskulär sjukdom). Risken/nyttan med fortsatt behandling med Risperdal Consta ska vägas mot nyttan om kliniskt relevant ortostatisk hypotension kvarstår.
Leukopeni, neutropeni och agranulocytos
Fall av leukopeni, neutropeni och agranulocytos har rapporterats vid användning av antipsykotiska läkemedel inklusive Risperdal Consta. Agranulocytos har rapporterats i mycket sällsynta fall (< 1/10 000 patienter) under uppföljning efter marknadsföringsgodkännandet.
Patienter med en historia av kliniskt signifikant låg nivå av vita blodkroppar eller läkemedelsinducerad leukopeni/neutropeni ska övervakas under de första månaderna av behandling. Utsättande av Risperdal Consta ska övervägas vid första tecknet på en klinisk signifikant minskning av antalet vita blodkroppar i frånvaro av andra orsakande faktorer.
Patienter med klinisk signifikant neutropeni ska noggrant övervakas med avseende på feber eller andra symtom eller tecken på infektion, och ska genast behandlas om sådana symtom eller tecken uppstår. Patienter med svår neutropeni (absolut neutrofilantal < 1 x 109/l) ska avsluta behandlingen med Risperdal Consta och nivåerna av vita blodkroppar ska följas tills de är återställda.
Tardiv dyskinesi/extrapyramidala symtom
Läkemedel med dopaminreceptorantagonistiska egenskaper har associerats med framkallande av tardiv dyskinesi, ett tillstånd som karakteriseras av rytmiska, ofrivilliga rörelser, främst i tungan och/eller ansiktet. Debut av extrapyramidala symtom är en riskfaktor för tardiv dyskinesi. Om tecken och symtom på tardiv dyskinesi uppträder ska utsättning av alla antipsykotiska läkemedel övervägas.
Försiktighet bör iakttas hos patienter som får både psykostimulantia (t.ex. metylfenidat) och risperidon samtidigt eftersom extrapyramidala symtom kan uppstå när ett eller båda läkemedlen justeras. Behandling med stimulantia bör sättas ut gradvis (se avsnitt Interaktioner).
Malignt neuroleptikasyndrom
Malignt neuroleptikasyndrom, som utmärks av hypertermi, muskelrigiditet, autonom instabilitet, påverkad medvetandegrad och förhöjda serumnivåer av kreatinfosfokinas (CK), har rapporterats vid behandling med antipsykotiska läkemedel. Ytterligare symtom kan vara myoglobinuri (rabdomyolys) och akut njursvikt. Skulle detta inträffa ska alla antipsykotiska läkemedel, inklusive Risperdal Consta, sättas ut.
Parkinsons sjukdom och Lewykroppsdemens
Förskrivare ska väga riskerna mot nyttan vid förskrivning av antipsykotiska läkemedel, inklusive Risperdal Consta, till patienter med Parkinsons sjukdom eller Lewykroppsdemens. Parkinsons sjukdom kan förvärras av risperidon. Båda patientgrupperna kan ha såväl ökad risk att drabbas av malignt neuroleptikasyndrom som ökad känslighet för antipsykotiska läkemedel; dessa patienter exkluderades från kliniska prövningar. Denna ökade känslighet kan, utöver extrapyramidala symtom, också ta sig uttryck i förvirring, medvetandesänkning och postural instabilitet med uttalad falltendens.
Överkänslighetsreaktioner
Även om tolerans för oralt risperidon bör fastställas innan behandling med Risperdal Consta påbörjas, har det efter lansering rapporterats sällsynta anafylaktiska reaktioner hos patienter som tidigare har tolererat oralt risperidon (se avsnitt Dosering och administreringssätt och Biverkningar).
Om överkänslighetsreaktioner uppstår ska Risperdal Consta sättas ut och kliniskt lämpliga allmänna stödjande åtgärder sättas in, och patienten ska övervakas tills tecken och symtom försvinner (se avsnitt Kontraindikationer och Biverkningar).
Hyperglykemi och diabetes mellitus
Hyperglykemi, diabetes mellitus och försämring av befintlig diabetes har rapporterats under behandling med Risperdal Consta. I vissa fall har det rapporterats en föregående viktökning, som kan vara en predisponerande faktor. Relaterad ketoacidos har rapporterats i mycket sällsynta fall och diabeteskoma i sällsynta fall. Adekvat klinisk övervakning rekommenderas i enlighet med de behandlingsriktlinjer för antipsykotiska läkemedel som används. Patienter som behandlas med något atypiskt antipsykotiskt läkemedel, inklusive Risperdal Consta, ska övervakas med avseende på symtom på hyperglykemi (såsom polydipsi, polyuri, polyfagi och svaghet) och patienter med diabetes mellitus ska kontrolleras regelbundet med avseende på försämrad glukoskontroll.
Viktökning
Signifikant viktökning har rapporterats med användning av Risperdal Consta. Viktkontroll bör göras regelbundet.
Hyperprolaktinemi
Hyperprolaktinemi är en vanlig biverkning vid behandling med Risperdal Consta. Utvärdering av prolaktinnivåer i plasma rekommenderas till patienter med tecken på eventuella möjliga prolaktinrelaterade biverkningar (t.ex. gynekomasti, störningar i menstruationen, utebliven ägglossning, fertilitetsstörning, minskad libido, erektil dysfunktion och galaktorré).
Studier på vävnadskulturer talar för att celltillväxt i humana brösttumörer kan stimuleras av prolaktin. Trots att det i kliniska och epidemiologiska studier hittills inte har kunnat påvisas ett tydligt samband med administrering av antipsykotiska läkemedel, rekommenderas att försiktighet iakttas hos patienter med relevant anamnes. Risperdal Consta ska användas med försiktighet hos patienter med tidigare hyperprolaktinemi och hos patienter med troliga prolaktinberoende tumörer.
QT-förlängning
QT-förlängning har i mycket sällsynta fall rapporterats efter lansering. Liksom med andra antipsykotiska läkemedel ska försiktighet iakttas när risperidon förskrivs till patienter med känd hjärt–kärlsjukdom, QT-förlängning eller ärftlighet för detta, bradykardi eller elektrolytrubbningar (hypokalemi, hypomagnesemi), då detta kan öka risken för arytmogena effekter samt vid samtidig användning av läkemedel med känd effekt att ge förlängning av QT-intervallet.
Kramper
Risperdal Consta ska användas med försiktighet till patienter med anamnes på kramper eller andra tillstånd som kan sänka kramptröskeln.
Priapism
Priapism kan uppträda vid behandling med Risperdal Consta på grund av läkemedlets alfaadrenerga blockerande effekter.
Reglering av kroppstemperatur
Rubbning av kroppens förmåga att sänka den centrala kroppstemperaturen har förknippats med antipsykotiska läkemedel. Adekvat omhändertagande förordas när man förskriver Risperdal Consta till patienter som kan utsättas för höjning av kroppstemperaturen, t.ex. vid krävande fysisk träning, exponering för extrem hetta, samtidig medicinering med preparat med antikolinerg effekt eller dehydrering.
Venös trombo-embolisk sjukdom
Fall av venös trombo-embolisk sjukdom (VTE) har rapporterats för antipsykotiska läkemedel. Eftersom patienter behandlade med antipsykotika ofta har förvärvade riskfaktorer för VTE, bör alla tänkbara riskfaktorer för VTE identifieras före och under behandling med Risperdal Consta och preventiva åtgärder bör insättas.
Intraoperative Floppy Iris Syndrome
Intraoperative Floppy Iris Syndrome (IFIS) har observerats under kataraktkirurgi hos patienter som behandlats med läkemedel som har alfa-1a-adrenerg blockerande effekt, inklusive Risperdal Consta (se avsnitt Biverkningar).
IFIS kan öka risken för ögonkomplikationer under och efter operationen. Före operation måste ögonkirurgen informeras om pågående eller tidigare bruk av läkemedel med alfa-1a-adrenerg blockerande effekt. Den potentiella fördelen med att avbryta den alfa-1-blockerande terapin före kataraktkirurgi har inte fastställts och måste vägas mot risken att avbryta antipsykosbehandlingen.
Antiemetisk effekt
En antiemetisk effekt har observerats i prekliniska studier med risperidon. Denna effekt kan, om den uppträder hos människa, maskera tecken och symtom på överdosering av vissa läkemedel eller på tillstånd som tarmobstruktion, Reyes syndrom och hjärntumör.
Nedsatt njur- eller leverfunktion
Peroralt risperidon har studerats på patienter med nedsatt lever- eller njurfunktion, men däremot har några sådana studier inte utförts med Risperdal Consta. Risperdal Consta ska användas med försiktighet inom denna patientgrupp (se avsnitt Dosering och administreringssätt).
Administrering
Försiktighet måste iakttas för att undvika att Risperdal Consta oavsiktligt injiceras i ett blodkärl.
Hjälpämnen
Detta läkemedel innehåller mindre än 1 mmol natrium (23 mg) per dos, dvs. är nästintill ”natriumfritt”.
Interaktioner
Interaktionerna för Risperdal Consta vid samtidig administrering av andra läkemedel har inte utvärderats systemiskt. Data avseende läkemedelsinteraktioner i detta avsnitt är baserade på studier med peroral Risperdal.
Farmakodynamiska interaktioner
Läkemedel kända för att öka QT‑intervallet
Liksom med om andra antipsykotiska läkemedel förordas försiktighet vid förskrivning av risperidon tillsammans med läkemedel som man vet förlänger QT-intervallet, såsom antiarytmika (t.ex. kinidin, disopyramid, prokainamid, propafenon, amiodaron, sotalol), tricykliska antidepressiva (t.ex. amitriptylin), tetracykliska antidepressiva (t.ex. maprotilin), vissa antihistaminer, andra antipsykotiska läkemedel, vissa malariamedel (t.ex. kinin och meflokin) samt läkemedel som ger upphov till elektrolytobalans (hypokalemi, hypomagnesemi), bradykardi eller med läkemedel som hämmar metabolismen av risperidon i levern. Denna uppräkning är vägledande och inte uttömmande.
Centralt verkande läkemedel och alkohol
Risperidon ska användas med försiktighet tillsammans med andra centralt verkande substanser, i synnerhet alkohol, opiater, antihistaminer och bensodiazepiner till följd av den ökade sedationsrisken.
Levodopa och dopaminagonister
Risperdal Consta kan motverka effekten av levodopa och andra dopaminagonister. Om denna kombination anses nödvändig, framförallt i slutfasen av Parkinsons sjukdom, ska de lägsta effektiva doserna av respektive läkemedel förskrivas.
Läkemedel med hypotensiv effekt
Kliniskt signifikant hypotension har observerats efter risperidons lansering, vid samtidig användning av risperidon och antihypertensiv behandling.
Psykostimulantia
Användning av psykostimulantia (t.ex. metylfenidat) i kombination med risperidon kan leda till extrapyramidala symtom om den ena eller båda behandlingarna förändras (se avsnitt Varningar och försiktighet).
Farmakokinetiska interaktioner
Risperidon metaboliseras huvudsakligen via CYP2D6 och i mindre omfattning via CYP3A4. Både risperidon och dess aktiva metabolit 9‑hydroxirisperidon är substrat för P‑glykoprotein (P‑gp). Substanser som modifierar CYP2D6‑aktivitet eller substanser som kraftigt hämmar eller inducerar CYP3A4 och/eller P‑gp‑aktivitet, kan påverka farmakokinetiken för risperidons aktiva antipsykotiska fraktion.
Starka CYP2D6‑hämmare
Samtidig administrering av Risperdal Consta och en stark CYP2D6‑hämmare kan öka plasmakoncentrationen av risperidon, men mindre för den aktiva antipsykotiska fraktionen. Högre doser av en stark CYP2D6‑hämmare kan öka koncentrationen av risperidons aktiva antipsykotiska fraktion (t.ex. paroxetin, se nedan). Andra CYP2D6‑hämmare, t.ex. kinidin, förväntas kunna påverka plasmakoncentrationen av risperidon på ett liknande sätt. När samtidig behandling med paroxetin, kinidin eller en annan stark CYP2D6‑hämmare, speciellt vid höga doser, sätts in eller sätts ut, bör läkaren på nytt bedöma doseringen av Risperdal Consta.
CYP3A4- och/eller P‑gp-hämmare
Samtidig administrering av Risperdal Consta och en stark CYP3A4 och/eller P‑gp-hämmare kan öka plasmakoncentrationen av risperidons aktiva antipsykotiska fraktion väsentligt. När samtidig behandling med itrakonazol eller en annan stark CYP3A4 och/eller P‑gp-hämmare sätts in eller sätts ut, bör läkaren på nytt bedöma doseringen av Risperdal Consta.
CYP3A4- och/eller P‑gp‑inducerare
Samtidig administrering av Risperdal Consta och starka CYP3A4- och/eller P‑gp‑inducerare kan minska plasmakoncentrationen av risperidons aktiva antipsykotiska fraktion. När samtidig behandling med karbamazepin eller en annan stark CYP3A4- och/eller P‑gp‑inducerare sätts in eller sätt ut, bör läkaren på nytt bedöma doseringen av Risperdal Consta. CYP3A4‑inducerare utövar sin effekt på ett tidsberoende sätt och det kan ta minst två veckor innan de når maximal effekt efter insättandet. Omvänt kan det vid utsättning ta minst två veckor innan CYP3A4‑induktionen klingar av.
Läkemedel med hög proteinbindningsgrad
När Risperdal Consta ges tillsammans med läkemedel med hög proteinbindningsgrad finns inget kliniskt relevant undanträngande av något av läkemedlen från plasmaproteinerna.
Vid användning av samtidiga läkemedel, se motsvarande produktinformation för information om metabolismvägar och eventuellt behov av dosjustering.
Pediatrisk population
Interaktionsstudier har endast utförts på vuxna. Relevansen av resultaten från dessa studier på pediatriska patienter är okänd.
Exempel
Exempel på läkemedel som eventuellt kan interagera eller som har visat sig inte interagera med risperidon anges nedan:
Effekt av andra läkemedel på risperidons farmakokinetik
Antibakteriella:
- Erytromycin, en måttlig CYP3A4‑hämmare och P‑gp‑hämmare, förändrar inte farmakokinetiken hos risperidon och den aktiva antipsykotiska fraktionen.
- Rifampicin, en stark CYP3A4‑inducerare och P‑gp‑inducerare, minskade plasmakoncentrationen hos den aktiva antipsykotiska fraktionen.
Kolinesterashämmare:
- Donepezil och galantamin, båda CYP2D6- och CYP3A4‑substrat, uppvisar ingen kliniskt relevant effekt på farmakokinetiken hos risperidon och den aktiva antipsykotiska fraktionen.
Antiepileptika:
- Karbamazepin, en stark CYP3A4‑inducerare och en P‑gp‑inducerare, minskar plasmakoncentrationen av risperidons aktiva antipsykotiska fraktion. Liknande effekter kan ses med exempelvis fenytoin och fenobarbital, vilka också inducerar såväl CYP3A4 leverenzym som P-glykoprotein (P-gp).
- Topiramat minskade i måttlig grad biotillgängligheten hos risperioden, men inte hos den aktiva antipsykotiska fraktionen. Därför förväntas inte denna interaktion ha någon klinisk signifikans.
Svampmedel:
- Itrakonazol, en stark CYP3A4‑hämmare och en P‑gp‑hämmare, vid en dos på 200 mg/dag, ökade plasmakoncentrationen hos den aktiva antipsykotiska fraktionen med cirka 70 % vid risperidondoser från 2 till 8 mg/dag.
- Ketokonazol, en stark CYP3A4‑hämmare och en P‑gp‑hämmare, vid en dos på 200 mg/dag, ökade plasmakoncentrationen av risperidon och minskade plasmakoncentrationen av 9‑hydroxirisperidon.
Antipsykotika:
- Fentiazinderivat kan öka plasmakoncentrationen av risperidon men inte de hos den aktiva antipsykotiska fraktionen.
Antivirala medel:
- Proteashämmare: Inga formella studiedata är tillgängliga. Eftersom ritonavir är en stark CYP3A4‑hämmare och en svag CYP2D6‑hämmare, kan dock ritonavir och ritonavirboostrade proteashämmare eventuellt öka koncentrationen av risperidons aktiva antipsykotiska fraktion.
Betareceptorblockerare:
- Vissa betareceptorblockerare kan öka plasmakoncentrationen av risperidon men för inte den aktiva antipsykotiska fraktionen.
Kalciumkanalblockerare:
- Verapamil, en måttlig CYP3A4-hämmare och P‑gp-hämmare, ökar plasmakoncentrationen av risperidon och den aktiva antipsykotiska fraktionen.
Magsårsmedel:
- H2‑receptorantagonister: Cimetidin och ranitidin, båda svaga CYP2D6- och CYP3A4-hämmare, ökade biotillgängligheten för risperidon, men bara marginellt för den aktiva antipsykotiska fraktionen.
Selektiva serotoninåterupptagshämmare (SSRI) och tricykliska antidepressiva:
- Fluoxetin, en stark CYP2D6‑hämmare, ökar plasmakoncentrationen av risperidon, men mindre för den aktiva antipsykotiska fraktionen.
- Paroxetin, en stark CYP2D6‑hämmare, ökar plasmakoncentrationen av risperidon, men mindre vid doser upp till 20 mg/dag för den aktiva antipsykotiska fraktionen. Högre doser av paroxetin kan dock öka koncentrationen av risperidons aktiva antipsykotiska fraktion.
- Tricykliska antidepressiva kan öka plasmakoncentrationen av risperidon men inte för den aktiva antipsykotiska fraktionen. Amitriptylin påverkar inte farmakokinetiken för risperidon eller för den aktiva antipsykotiska fraktionen.
- Sertralin, en svag CYP2D6-hämmare, och fluvoxamin, en svag CYP3A4-hämmare, förknippas vid doser upp till 100 mg/dag inte med kliniskt signifikanta förändringar av koncentrationen av risperidons aktiva antipsykotiska fraktion. Doser över 100 mg/dag av sertralin eller fluvoxamin kan dock öka koncentrationen av risperidons aktiva antipsykotiska fraktion.
Effekten av risperidon på andra läkemedels farmakokinetik:
Antiepileptika:
- Risperidon visar ingen kliniskt relevant effekt på farmakokinetiken hos valproat eller topiramat.
Antipsykotika:
- Aripiprazol, ett CYP2D6- och CYP3A4‑substrat: Risperidon tabletter eller injektion påverkade inte farmakokinetiken hos summan av aripiprazol och dess aktiva metabolit dehydroaripiprazol.
Digitalisglykosider:
- Risperidon visar ingen kliniskt signifikant effekt på farmakokinetiken hos digoxin.
Litium:
- Risperidon visar ingen kliniskt signifikant effekt på farmakokinetiken hos litium.
Samtidig användning av risperidon och furosemid:
- Se avsnitt Varningar och försiktighet för information om ökad mortalitet hos äldre patienter med demens som samtidigt får furosemid.
Fertilitet, graviditet och amning
Graviditet
Adekvata data från behandling av gravida kvinnor med risperidon saknas. Risperidon var inte teratogent i djurstudier, men däremot framkom andra typer av reproduktionstoxikologiska effekter (se avsnitt Prekliniska säkerhetsuppgifter). Risken för människa är okänd. Nyfödda som har exponerats för antipsykotika (inklusive Risperdal Consta) under den graviditetens sista trimester, löper risk att få biverkningar inklusive extrapyramidala och/eller utsättningssymtom som kan variera i allvarlighetsgrad och duration efter födseln. Det finns rapporter om agitation, muskelhypertoni, muskelhypotoni, tremor, somnolens, andnöd eller ätsvårigheter. Nyfödda bör därför övervakas noga.
Risperdal Consta ska inte användas under graviditet såvida det inte är helt nödvändigt.
Amning
Av djurstudier framgår att risperidon och 9-hydroxirisperidon passerar över i bröstmjölk. Det är också visat att risperidon och 9-hydroxirisperidon passerar över i human bröstmjölk i små mängder. Data saknas i fråga om biverkningar på ammade spädbarn. Därför måste fördelarna med amning vägas mot de potentiella riskerna för barnet.
Fertilitet
Liksom för andra D2-receptor antagonister höjer Risperdal Consta prolaktinnivåerna. Hyperprolaktinemi kan undertrycka GnRH i hypotalamus vilket resulterar i en minskad utsöndring av gonadotropin från hypofysen. Detta kan i sin tur hämma fortplantningsfunktionen genom att försämra steroidgenesen i gonaderna hos både kvinnliga och manliga patienter.
Vid prekliniska studier observerades inga relevanta effekter.
Effekter på förmågan att framföra fordon och använda maskiner
Risperdal Consta har mindre eller måttlig effekt på förmågan att framföra fordon och använda maskiner, beroende på potentiella effekter på nervsystemet och synen (se avsnitt Biverkningar). Patienter ska därför uppmanas att avstå från att framföra fordon eller använda maskiner tills deras individuella känslighet är känd.
Biverkningar
De mest rapporterade biverkningarna (incidens ≥ 1/10) är: sömnlöshet, ångest, huvudvärk, övre luftvägsinfektion, parkinsonism och depression.
Biverkningarna som verkade vara dosrelaterade inkluderade parkinsonism och akatisi.
Allvarliga reaktioner på injektionsstället inklusive nekros på injektionsstället, abscess, cellvävsinflammation, sår, blåmärken, cystor och små knutor rapporterades efter lansering. Frekvensen bedöms vara okänd (kan inte beräknas från tillgängliga data). Enstaka fall krävde kirurgiska åtgärder.
Här nedan följer samtliga biverkningar som rapporterats i kliniska prövningar och efter lansering av risperidon, indelade i frekvensgrupper beräknat från kliniska prövningar med Risperdal Consta. Följande termer och frekvenser används: mycket vanliga (≥ 1/10), vanliga (≥ 1/100, < 1/10), mindre vanliga (≥ 1/1 000, < 1/100), sällsynta (≥ 1/10 000, < 1/1 000), mycket sällsynta (< 1/10 000) och ingen känd frekvens (kan inte beräknas från tillgängliga data).
Inom varje frekvensgrupp presenteras biverkningarna ordnade efter avtagande allvarlighetsgrad.
|
a Hyperprolaktinemi kan i vissa fall leda till gynekomasti, störningar i menstruationen, amenorré, utebliven ägglossning galaktorré, fertilitetsstörning, minskad libido, erektil dysfunktion.
b I placebokontrollerade studier rapporterades diabetes mellitus hos 0,18 % av risperidonbehandlade patienter jämfört med 0,11 % i placebogruppen. Den totala incidensen från alla kliniska studier var 0,43 % hos alla risperidonbehandlade patienter.
c Inte observerat i kliniska studier med Risperdal Consta men observerat efter marknadsintroduktion av risperidon
d Extrapyramidal störning kan förekomma: Parkinsonism (hypersalivation, muskuloskeletal stelhet, parkinsonism, dregling, kugghjulsrigiditet, bradykinesi, hypokinesi, maskansikte, muskelstelhet, akinesi, nackstelhet, muskelrigiditet, parkinsonistisk gång och onormal glabellarreflex, parkinsonistisk vilotremor), akatisi (akatisi, rastlöshet, hyperkinesi och restless legs syndrom), tremor, dyskinesi (dyskinesi, muskelryckningar, koreoatetos, atetos och myoklonus), dystoni. Dystoni innefattar: dystoni, hypertoni, tortikollis, ofrivilliga muskelkontraktioner, muskelkontraktur, blefarospasm, okulogyration, tungförlamning, spasm i ansiktet, laryngospasm, myotoni, opistotonus, orofaryngeal spasm, pleurototonus, tungspasm och trismus. Det bör noteras att ett bredare spektrum av symptom är inkluderade, vilka inte nödvändigtvis har extrapyramidalt ursprung. Insomni innefattar insomningssvårigheter, avbruten sömn. Krampanfall innefattar: grand mal-kramper. Menstruationsstörning innefattar oregelbunden menstruation, oligomenorré. Ödem innefattar generaliserat ödem, perifert ödem, pittingödem.
Biverkningar noterade hos beredningar med paliperidon
Paliperidon är den aktiva metaboliten av risperidon, därför är biverkningsprofilen för dessa läkemedel (både orala och injicerbara beredningar) relevanta för varandra. Förutom ovan beskrivna biverkningar har följande biverkning rapporterats för läkemedel innehållande paliperidon och kan förväntas uppkomma med
Risperdal Consta.
Hjärtat
Postural ortostatisk takykardisyndrom.
Anafylaktisk reaktion
Efter marknadsintroduktion har fall av anafylaktisk reaktion sällsynt rapporterats efter injektion med Risperdal Consta hos patienter som tidigare har tolererat oralt risperidon (se avsnitt Varningar och försiktighet).
Klasseffekter
Liksom för andra antipsykotiska läkemedel har mycket sällsynta fall av QT-förlängning rapporterats för risperidon efter lansering. Till andra hjärteffekter relaterade till den aktuella läkemedelsklassen, som rapporterats för antipsykotiska läkemedel som förlänger QT-intervallet, hör ventrikelarytmi, ventrikelflimmer, ventrikeltakykardi, plötslig död, hjärtstopp och torsade de pointes.
Venös trombo-embolisk sjukdom
Fall av venös trombo-embolisk sjukdom, inkluderat fall av lungemboli och fall av djup ventrombos, har rapporterats med antipsykotiska läkemedel (okänd frekvens).
Viktuppgång
I den 12 veckor långa dubbelblinda, placebokontrollerade studien var det 9 % av patienterna som behandlats med Risperdal Consta, jämfört med 6 % av patienterna som behandlats med placebo, som hade en viktuppgång på ≥ 7 % av kroppsvikten vid studiens avslutning. I den 1-åriga öppna studien av Risperdal Consta låg förändringen i kroppsvikt hos enskilda patienter i allmänhet inom ± 7 % räknat från baslinjevärdet; 25 % av patienterna hade ökat sin kroppsvikt med ≥ 7 %.
Rapportering av misstänkta biverkningar
Det är viktigt att rapportera misstänkta biverkningar efter att läkemedlet godkänts. Det gör det möjligt att kontinuerligt övervaka läkemedlets nytta-riskförhållande. Hälso- och sjukvårdspersonal uppmanas att rapportera varje misstänkt biverkning till
webbplats: www.fimea.fi
Säkerhets- och utvecklingscentret för läkemedelsområdet Fimea
Biverkningsregistret
PB 55
00034 FIMEA
Överdosering
Då det är mindre sannolikt att överdosering inträffar vid parenteral än vid peroral läkemedelstillförsel presenteras här information som gäller den perorala beredningsformen.
Symtom
Generellt sett har de symtom som rapporterats varit sådana som är ett resultat av förstärkning av risperidons kända farmakologiska effekter. Till dessa hör dåsighet och sedering, takykardi och hypotension samt extrapyramidala symtom. Vid överdosering har QT-förlängning och kramper rapporterats. Torsade de pointes har rapporterats i samband med kombinerad överdosering av oralt Risperdal och paroxetin.
Vid akut överdos ska man beakta möjligheten att flera läkemedel kan vara inblandade.
Behandling
Etablera och upprätthåll fri luftväg och säkerställ adekvat syresättning och ventilation. Kardiovaskulär övervakning ska påbörjas omedelbart, och den ska innefatta kontinuerlig EKG-övervakning med avseende på eventuella arytmier.
Specifik antidot mot Risperdal saknas. Därför ska adekvata understödjande åtgärder sättas in. Hypotension och cirkulationskollaps ska behandlas med lämpliga åtgärder, såsom intravenös tillförsel av vätska och/eller sympatomimetiska medel. Vid svåra extrapyramidala symtom ska antikolinergika tillföras. Noggrann kontroll och övervakning ska fortsätta tills patienten har återhämtat sig.
Farmakologiska egenskaper
Farmakodynamiska egenskaper
Farmakoterapeutisk grupp: Övriga neuroleptika: ATC-kod: N05AX08
Verkningsmekanism
Risperidon är en selektiv monoaminerg antagonist med unika egenskaper. Det har hög affinitet för serotonerga 5-HT2- och dopaminerga D2-receptorer. Risperidon binder också till alfa1-adrenerga receptorer samt, med lägre affinitet, till H1-histaminerga och alfa2-adrenerga receptorer. Risperidon har ingen affinitet för kolinerga receptorer. Även om risperidon är en potent D2-antagonist, vilket anses förbättra de positiva symtomen på schizofreni, orsakar det mindre katalepsi och försämrar den motoriska aktiviteten mindre än klassiska antipsykotika. Balanserad central serotonin- och dopaminantagonism kan minska tendensen till extrapyramidala biverkningar och utöka den terapeutiska effekten till att gälla de negativa och affektiva symtomen på schizofreni.
Klinisk effekt
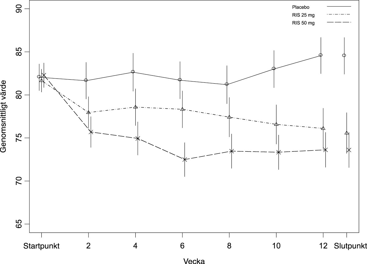
Effekten av Risperdal Consta (25 mg och 50 mg) vid behandling av manifestationerna av psykotiska tillstånd (schizofreni/schizoaffektiv störning) har fastställts i en 12 veckor lång, placebokontrollerad studie på vuxna psykospatienter, både i sluten och i öppen vård, som uppfyllde DSM-IV-kriterierna för schizofreni.
I en 12 veckor lång, jämförande studie på stabila patienter med schizofreni, visades att Risperdal Consta var lika effektivt som den perorala beredningsformen. En långtidsutvärdering (50 veckor) av säkerhet och effekt för Risperdal Consta gjordes i form av en öppen studie av stabila psykospatienter, både i sluten och i öppen vård, som uppfyllde DSM-IV-kriterierna för schizofreni eller schizoaffektiv störning. Effekten över tid upprätthölls med Risperdal Consta (Figur 1).
Figur 1. Genomsnittlig totalpoäng på PANSS-skalan över tid (LOCF) för patienter med schizofreni.

Farmakokinetiska egenskaper
Absorption
Absorptionen av risperidon från Risperdal Consta är fullständig.
Efter en intramuskulär engångsinjektion av Risperdal Consta uppvisar frisättningsprofilen en låg initial frisättning av risperidon (< 1 % av dosen), följd av en 3 veckor lång fördröjningsfas. Den huvudsakliga frisättningen av risperidon startar efter 3 veckor, upprätthålls från vecka 4 till vecka 6 och klingar av efter vecka 7. Peroral antipsykotisk tilläggsmedicinering bör därför ges under de första 3 veckornas behandling med Risperdal Consta (se avsnitt Dosering och administreringssätt).
Kombinationen av frisättningsprofil och doseringsregim (intramuskulär injektion varannan vecka) leder till att terapeutiska plasmakoncentrationer upprätthålls. Terapeutiska plasmakoncentrationer kvarstår i upp till 4 till 6 veckor efter senaste injektion med Risperdal Consta.
Efter upprepade intramuskulära injektioner med 25 eller 50 mg Risperdal Consta varannan vecka, varierade medianvärdet av plasmakoncentrationens dal- och toppvärden för den aktiva antipsykotiska fraktionen mellan 24,1 och 46,8 nmol/l respektive 43,6 och 110,8 nmol/l. Ingen ackumulering av risperidon kunde observeras under långtidsbehandling (12 månader) hos patienter som injicerades med 25–50 mg varannan vecka.
Studierna ovan genomfördes med gluteal intramuskulär injektion. Intramuskulära injektioner i deltoideus och gluteala intramuskulära injektioner är bioekvivalenta vid lika doser, och därmed sinsemellan utbytbara.
Distribution
Risperidon har snabb distribution. Distributionsvolymen är 1–2 l/kg. I plasma är risperidon bundet till albumin och surt alfa1-glykoprotein. Plasmaproteinbindningsgraden är för risperidon 90 % och för den aktiva metaboliten 9-hydroxirisperidon 77 %.
Metabolism och eliminering
Risperidon metaboliseras av CYP2D6 till 9-hydroxirisperidon, vars farmakologiska effekt är likvärdig med risperidons. Risperidon och 9‑hydroxirisperidon utgör tillsammans den aktiva antipsykotiska fraktionen. CYP2D6 är föremål för genetisk polymorfism. Snabba CYP2D6-metaboliserare omvandlar risperidon snabbt till 9-hydroxirisperidon, medan långsamma CYP2D6-metaboliserare omvandlar risperidon mycket långsammare. Även om snabba metaboliserare har lägre koncentrationer av risperidon och högre av 9-hydroxirisperidon än långsamma metaboliserare, är farmakokinetiken för risperidon och 9-hydroxirisperidon i kombination (dvs. den aktiva antipsykotiska fraktionen), efter engångs- och multipeldoser, i stort sett densamma för snabba respektive långsamma metaboliserare av CYP2D6.
En annan metaboliseringsväg för risperidon är N-dealkylering. In vitro-studier på humana levermikrosomer visade att risperidon i kliniskt relevanta koncentrationer inte i någon större utsträckning hämmar metabolismen av läkemedel som metaboliseras av cytokrom P450-isoenzymer, inklusive CYP1A2, CYP2A6, CYP2C8/9/10, CYP2D6, CYP2E1, CYP3A4 och CYP3A5. En vecka efter oral administrering av risperidon har 70 % av dosen utsöndrats i urinen och 14 % i feces. I urin representerar risperidon plus 9-hydroxirisperidon 35–45 % av den oralt administrerade dosen. Återstoden utgörs av inaktiva metaboliter. Eliminationsfasen är avslutad ungefär 7 till 8 veckor efter senaste injektion med Risperdal Consta.
Linjäritet
Farmakokinetiken för risperidon är även linjär i doseringsintervallet 25–50 mg med injektion varannan vecka.
Äldre patienter samt patienter med nedsatt lever- och njurfunktion
I en farmakokinetisk enkeldosstudie med oralt givet risperidon fann man hos äldre i genomsnitt en 43 % högre fraktion aktiv antipsykotisk plasmakoncentration, en 38 % längre halveringstid och minskad clearance av den aktiva antipsykotiska fraktionen med 30 %.
Hos vuxna med måttlig njursjukdom var clearance av den aktiva komponenten ca 48 % av clearance hos unga friska vuxna (ålder 25‑35 år). Hos vuxna med allvarlig njursjukdom var clearance av den terapeutiska komponenten ca 31 % av clearance hos unga friska vuxna. Halveringstiden för den aktiva komponenten var 16,7 timmar hos unga vuxna, 24,9 timmar hos vuxna med måttlig njursjukdom (eller ca 1,5 gånger så lång som hos unga vuxna) och 28,8 timmar hos dem med allvarlig njursjukdom (eller ca1,7 gånger så lång som hos unga vuxna). Plasmakoncentrationen av risperidon var normal hos patienter med nedsatt leverfunktion, medan medelvärdet för den fria fraktionen av risperidon i plasma var ökat med 37,1 %.
Oralt clearance och elimineringshalveringstid för risperidon och den aktiva komponenten hos vuxna med måttligt till gravt nedsatt leverfunktion var inte signifikant skild från dessa parametrar hos unga friska vuxna.
Farmakokinetiskt/farmakodynamiskt förhållande
Vid bedömningsbesöken fanns det inte, i någon av fas III-studierna där man studerade effekt och säkerhet, något samband mellan plasmakoncentrationen av den aktiva antipsykotiska fraktionen och förändringen av totalpoängen på PANSS-skalan (Positive and Negative Syndrome Scale) och totalpoängen på ESRS-skalan (Extrapyramidal Symptom Rating Scale).
Kön, etnicitet och rökvanor
En farmakokinetisk populationsanalys visade inte på någon uppenbar effekt av kön, etnicitet eller rökvanor på farmakokinetiken för risperidon eller den aktiva antipsykotiska fraktionen.
Prekliniska säkerhetsuppgifter
I likhet med de (sub)kroniska toxicitetsstudierna med peroralt risperidon givet till råtta och hund, var de huvudsakliga effekterna vid behandling med Risperdal Consta (upp till 12 månaders intramuskulär administrering) följande: prolaktinmedierad bröstkörtelstimulering, förändringar av manliga och kvinnliga könsorgan samt CNS-effekter, relaterade till den farmakodynamiska aktiviteten hos risperidon. I en toxicitetsstudie på juvenila råttor ökade mortaliteten hos valparna och en fördröjning av fysisk utveckling observerades. I en 40-veckors studie på juvenila hundar fördröjdes den sexuella mognaden. Baserat på AUC påverkades inte rörbenstillväxt hos hundar vid 3,6 gånger den maximala humana exponeringen hos ungdomar (1,5 mg/dag), medan effekter på rörben och sexuell mognad observerades vid 15 gånger den maximala humana exponeringen hos ungdomar.
Risperidon var inte teratogent hos råtta och kanin. I reproduktionsstudier med risperidon på råtta, noterades ogynnsamma effekter avseende parningsbeteende hos föräldrarna samt födelsevikt och överlevnad hos avkomman. Hos råtta var intrauterin exponering för risperidon sammankopplat med nedsatt kognitiv förmåga vid vuxen ålder. Andra dopaminantagonister har, när de givits till dräktiga djur, orsakat negativa effekter på inlärning och motorisk utveckling hos avkomman.
Administrering av Risperdal Consta till han- och honråttor i 12 och 24 månader ledde i doseringen 40 mg/kg/2 veckor till osteodystrofi. Effektdosen för osteodystrofi hos råtta var, beräknat som mg/m2, 8 gånger den maximala rekommenderade dosen för människa, och den är associerad med en plasmaexponering som är 2 gånger den maximala förväntade exponeringen hos människa vid den maximala rekommenderade dosen. Ingen osteodystrofi observerades hos hundar som behandlats i 12 månader med Risperdal Consta i doser på upp till 20 mg/kg/2 veckor. Denna dos gav plasmaexponeringar på upp till 14 gånger den maximala rekommenderade dosen för människa.
Det framkom ingen evidens för genotoxisk potential.
Som förväntat för en potent dopamin-D2-antagonist, observerades i orala karcinogenicitetsstudier av risperidon på råtta och mus ökningar av hypofysadenom (mus), endokrina pankreasadenom (råtta) och bröstkörteladenom (båda arterna).
I en intramuskulär karcinogenicitetsstudie med Risperdal Consta på Wistarråttor (Hannover) (med doser på 5 och 40 mg/kg/2 veckor) observerades ökad incidens av tumörer i endokrina pankreas, hypofysen och binjuremärgen vid 40 mg/kg, medan bröstkörteltumörer förekom vid 5 och 40 mg/kg. Dessa tumörer observerades vid peroral och intramuskulär dosering och kan relateras till ihållande dopamin-D2-antagonism och hyperprolaktemi. Studier på vävnadskulturer tyder på att celltillväxten i humana brösttumörer kan stimuleras av prolaktin. Hyperkalcemi, vilket anses bidra till ökad incidens av binjuremärgtumörer hos råttor som behandlats med Risperdal Consta, observerades i båda dosgrupperna. Det finns ingen evidens för att hyperkalcemi kan orsaka feokromocytom hos människa.
Adenom i njurtubuli uppträdde hos hanråttor som behandlats med Risperdal Consta i dosen 40 mg/kg/2 veckor. Inga njurtumörer förekom i de grupper som fått den låga dosen, 0,9 % NaCl eller mikrosfärsvehikeln. Den mekanism som ligger bakom uppkomsten av njurtumörer hos hanråttor av Wistarstammen (Hannover), som behandlats med Risperdal Consta, är inte känd. Någon behandlingsrelaterad ökning av incidensen av njurtumörer förekom inte i karcinogenicitetsstudierna med Wistarråttor (Wiga) eller hos schweiziska möss som fick peroralt risperidon. Studier som utförts i syfte att undersöka skillnader mellan understammar i fråga om organprofil för tumörutveckling tyder på att understammen Wistar (Hannover), som användes i den aktuella karcinogenicitetsstudien, skiljer sig avsevärt från understammen Wistar (Wiga), som användes i den perorala karcinogenicitetsstudien, med avseende på spontana åldersrelaterade icke-neoplastiska njurförändringar, serumprolaktinökningar och njurförändringar som respons på risperidontillförsel. Det finns inga data som tyder på förekomst av njurrelaterade förändringar hos hundar som fick kronisk behandling med Risperdal Consta.
Det är inte känt vilken relevans osteodystrofin, de prolaktinmedierade tumörerna och de förmodat understamsspecifika njurtumörerna har, vad gäller riskerna för människa.
Lokal irritation på injektionsstället hos hundar och råttor observerades efter administrering av höga doser av Risperdal Consta. I en 24 månader lång intramuskulär karcinogenicitetsstudie på råtta fann man ingen ökad incidens av tumörer på injektionsstället, varken hos den grupp som fick vehikeln eller den som fick aktiv substans.
Både in vitro och in vivo visar djurmodeller att höga doser risperidon kan orsaka förlängt QT-intervall, vilket har förknippats med en teoretiskt ökad risk för Torsade de Pointes hos patienter.
Farmaceutiska uppgifter
Förteckning över hjälpämnen
Pulver
poly-(d, l-laktid-co-glykolid)
Spädningsvätska
polysorbat 20
karmellosnatrium
dinatriumvätefosfatdihydrat
vattenfri citronsyra
natriumklorid
natriumhydroxid
vatten för injektionsvätskor
Inkompatibiliteter
Detta läkemedel får inte blandas med andra läkemedel förutom de som nämns under avsnitt Särskilda anvisningar för destruktion och övrig hantering.
Hållbarhet
3 år vid 2–8 °C.
Efter beredning: kemisk och fysikalisk stabilitet vid användning har visats för upp till 24 timmar vid 25 °C.
Från mikrobiologisk synpunkt ska läkemedlet användas omedelbart. Om läkemedlet inte används omedelbart är det användaren som har ansvar för förvaringstiden vid användning och förhållandena före användning. Normalt sett bör förvaring inte ske längre än 6 timmar vid 25 °C, såvida inte beredningen har ägt rum under kontrollerade och validerade aseptiska förhållanden.
Särskilda förvaringsanvisningar
Hela förpackningen ska förvaras i kylskåp (2–8 oC). Ljuskänsligt.
Om kylskåpsförvaring inte är möjlig, kan Risperdal Consta förvaras vid en temperatur som inte överstiger 25 °C under högst 7 dagar före användning. Förvaras i originalförpackningen.
För förvaringsanvisningar för färdigberedd produkt, se avsnitt Hållbarhet.
Förpackningstyp och innehåll
Markkinoilla olevat pakkaukset
Resepti
RISPERDAL CONSTA injektiokuiva-aine ja liuotin, depotsuspensiota varten
25 mg (L:ei) 1 pakkaus (siirtokanyyli, 2 turvaneulaa) (67,78 €)
37,5 mg (L:ei) 1 pakkaus (siirtokanyyli, 2 turvaneulaa) (90,12 €)
50 mg (L:ei) 1 pakkaus (siirtokanyyli, 2 turvaneulaa) (116,12 €)
PF-selosteen tieto
Nålfri överföringskanyl
- En injektionsflaska med pulver.
- En adapter för injektionsflaskan för beredning.
- En förfylld spruta innehållande spädningsvätska för Risperdal Consta.
- Två Terumo SurGuard®3 injektionsnålar för intramuskulär injektion [en 21G UTW (0,8 mm x 25 mm (1”) säkerhetskanyl med nålskydd för administrering i deltoideus och en 20G TW (0,9 mm x 51 mm (2”)) säkerhetskanyl med nålskydd för gluteal administrering].
Risperdal Consta är tillgängligt i förpackningar med 1 förpackning.
Läkemedlets utseende:
Injektionsflaska med pulver: vitt till benvitt friflytande pulver.
Förfylld spruta med spädningsvätska för beredning: klar, färglös vattenlösning.
Särskilda anvisningar för destruktion och övrig hantering
Viktiginformation
För att säkerställa en lyckad administrering av Risperdal Consta är det viktigt att man noga följer den stegvisa användaranvisningen.
Använd de komponenter som medföljer
Komponenterna i den här dosförpackningen är speciellt utformade för användning med Risperdal Consta. Risperdal Consta får bara beredas i den spädningsvätska som medföljer dosförpackningen.
Bytinte ut någon av komponenterna i dosförpackningen.
Förvara inte suspensionen efter beredning
Administrera dosen så snart som möjligt efter beredning för att undvika sedimentering.
Korrekt dosering
Hela innehållet i injektionsflaskan måste administreras för att säkerställa att avsedd dos av Risperdal Consta ges.
HJÄLPMEDEL FÖR ENGÅNGSBRUK
Får inte återanvändas
Medicintekniska hjälpmedel har särskilda krav på materiella egenskaper för att fungera som avsett. Dessa egenskaper har endast kontrollerats för engångsbruk. Alla försök att göra om det medicintekniska hjälpmedlet för senare återanvändning kan skada dess egenskaper eller leda till försämring av dess funktion.
Dosförpackningens innehåll
Steg 1 | Montera komponenterna | ||||||
|
Anslut den förfyllda sprutan till injektionsflaskans adapter
Ta bort det sterila blistret Håll injektionsflaskan vertikalt för att förhindra läckage. Håll i injektionsflaskans botten och dra upp det sterila blistret för att ta bort det. Skakainte. Vidrör inte den exponerade lueröppningen på injektionsflaskans adapter. Det leder till kontaminering. |
Håll i det vita fästet vid sprutans spets. Håll inte i sprutans glascylinder under montering. | Ta bort locket Håll i det vita fästet och bryt av det vita locket. Vrid inte och skär inte av det vita locket. Vidrörinte sprutans spets. Det leder till kontaminering. Kassera det borttagna locket. | Anslut sprutan till injektionsflaskans adapter Håll injektionsflaskans adapter i manteln för att hålla den stilla. Håll sprutan i det vita fästet och för in spetsen i lueröppningen på injektionsflaskans adapter. Håll inte i sprutans glascylinder. Det kan leda till att det vita fästet lossnar eller faller av. Fäst sprutan på injektionsflaskans adapter med en fast medurs vridrörelse tills den sitter fast. Drainte åt för hårt. Det kan leda till att sprutspetsen går av. |
Steg 2 | Bered mikrosfärer |
Injicera spädningsvätska Injicera all spädningsvätska från sprutan till injektionsflaskan. | Blanda mikrosfärerna i spädningsvätskan Fortsätt hålla ned sprutkolven, skaka kraftigt i minst 10 sekunder som på bilden. Kontrollera suspensionen. Väl blandad suspension är jämn, tjock och har en mjölkaktig färg. Mikrosfärerna kommer att vara synliga i vätskan. Fortsätt omedelbart med nästa steg så att suspensionen inte sedimenterar. | Överför suspensionen till sprutan Vänd injektionsflaskan helt upp och ned. Dra långsamt ned sprutkolven för att dra upp all suspension från injektionsflaskan till sprutan. | Ta bort injektionsflaskans adapter Håll i det vita fästet på sprutan och skruva bort sprutan från injektionsflaskans adapter. Riv av ena delen av injektionsflaskans etikett vid perforeringen och fäst den avrivna etiketten på sprutan för att läkemedlet ska kunna identifieras. Kassera både injektionsflaskan och injektionsflaskans adapter i enlighet med gällande rutiner. |
Steg 3 | Fäst nålen |
Välj lämplig nål Välj nål baserat på injektionsstället (gluteal eller deltoideus). | Fäst nålen Öppna blisterpåsen halvvägs och använd den för att fatta tag i nålens bas som på bilden. Håll i det vita fästet på sprutan och fäst sprutan på nålens lueranslutning med en fast vridrörelse medurs tills den sitter fast. Vidrör inte nålens lueröppning. Det leder till kontaminering. | Blanda mikrosfärerna igen Ta bort hela blisterpåsen. Skaka sprutan kraftigt igen precis före injektionen, eftersom en viss sedimentering sker. | |
Steg 4 | Injicera dosen |
Ta bort den genomskinliga skyddshättan Dra nålskyddet bakåt mot sprutan som på bilden. Håll därefter i det vita fästet på sprutan och dra försiktigt den genomskinliga skyddshättan rakt ut. Vridinte den genomskinliga skyddshättan eftersom det kan leda till att lueranslutningen lossnar. | Ta bort luftbubblor Håll nålen upprätt och knacka försiktigt så att luftbubblorna stiger till ytan. Tryck långsamt och försiktigt sprutkolven uppåt för att avlägsna luft. | Injicera Injicera omedelbart hela sprutans innehåll intramuskulärt (i.m.) i patientens gluteal- eller deltoideusmuskel. Gluteal injektion ska göras i den övre‑yttre kvadranten i det gluteala området. Får inte administreras intravenöst. | Tryck in nålen i nålskyddet Använd en hand och placera nålskyddet i 45 graders vinkel på en hård, plan yta. Tryck ned med en stadig och snabb rörelse tills nålen är helt innesluten i nålskyddet. Undvik stickskador: Använd inte två händer. Lossainte eller brukainte avsiktligt våld på nålskyddet. Försök inte räta ut nålen eller fästa nålskyddet om nålen är böjd eller skadad. | Kassera nålarna på rätt sätt Kontrollera att nålen är helt innesluten i nålskyddet. Kassera nålen i en godkänd behållare för vassa föremål. Kassera även den oanvända nålen som medföljer dosförpackningen. |
Ersättning
RISPERDAL CONSTA injektiokuiva-aine ja liuotin, depotsuspensiota varten
25 mg 1 pakkaus
37,5 mg 1 pakkaus
50 mg 1 pakkaus
- Ylempi erityiskorvaus (100 %). Vaikeat psykoosit ja muut vaikeat mielenterveyden häiriöt (112), Älyllisesti kehitysvammaisilla esiintyvät käyttäytymisen häiriöt (113).
- Peruskorvaus (40 %).
Atc-kod
N05AX08
Datum för översyn av produktresumén
11.11.2021
Yhteystiedot

PL 15
02621 Espoo
020 753 1300
innovativemedicine.jnj.com/finland
jacfi@its.jnj.com