STIVARGA filmdragerad tablett 40 mg
Kvalitativ och kvantitativ sammansättning
Varje filmdragerad tablett innehåller 40 mg regorafenib.
Läkemedelsform
Filmdragerad tablett.
Kliniska uppgifter
Terapeutiska indikationer
Stivarga som monoterapi är indicerat för behandling av vuxna patienter med:
- metastaserande kolorektal cancer (CRC) som tidigare har behandlats med, eller inte anses vara lämpade för tillgängliga behandlingar. Till dessa hör fluoropyrimidinbaserad kemoterapi, en anti‑VEGF‑behandling och en anti‑EGFR‑behandling. (se avsnitt Farmakodynamiska egenskaper)
- icke resektabla eller metastaserande gastrointestinala stromacellstumörer (GIST) som har progredierat under eller varit intoleranta mot tidigare behandling med imatinib eller sunitinib
- levercellscancer (HCC) som tidigare har behandlats med sorafenib.
Villkor
Valmistetta saavat määrätä sellaiset lääkärit, joilla on kokemusta syöpälääkkeiden antamisesta.
Dosering och administreringssätt
Dosering
Den rekommenderade dosen av regorafenib är 160 mg (4 tabletter om 40 mg) en gång dagligen i 3 veckor följt av 1 vecka utan behandling. Denna 4‑veckorsperiod utgör en behandlingscykel.
Om patienten glömmer en dos, ska den tas samma dag så snart patienten kommer ihåg det. Patienten ska inte ta två doser samma dag för att kompensera för glömd dos. Vid kräkning efter administrering av regorafenib ska patienten inte ta någon ytterligare dos.
Behandlingen ska fortsätta så länge patienten bedöms ha nytta av läkemedlet eller tills oacceptabel toxicitet uppstår (se avsnitt Varningar och försiktighet).
Patienter med performance status (PS) 2 eller högre ingick ej i kliniska studier. Det finns begränsade data för patienter med PS ≥2.
Dosjusteringar
Dosavbrott och/eller dosreduktion kan vara nödvändigt på grund av misstänkta biverkningar och tolerans. Dosjusteringar ska ske i steg om 40 mg (en tablett). Den lägsta rekommenderade dagliga dosen är 80 mg. Den maximala dagliga dosen är 160 mg.
För rekommenderade dosjusteringar och åtgärder vid hand‑fot-hudreaktion (HFSR)/palmar‑plantar erytrodysestesi se tabell 1.
Tabell 1: Rekommenderade dosjusteringar och åtgärder vid HFSR
Grad av hudtoxicitetet | Förekomst | Rekommenderad dosjustering och åtgärder |
Grad 1 | Alla | Bibehåll dosen och sätt omedelbart in symtomlindrande behandling |
Grad 2 | 1:a förekomsten | Minska dosen med 40 mg (en tablett) och sätt omedelbart in understödjande behandling. Om ingen förbättring inträffar trots dosreduktionen, avbryt behandlingen i minst 7 dagar, tills toxiciteten återgår till grad 0‑1. Doseskalering kan göras enligt läkarens beslut. |
Ingen förbättring inom 7 dagar eller 2:a förekomsten | Avbryt behandlingen tills toxiciteten återgår till grad 0‑1. När behandlingen återupptas, minska dosen med 40 mg (en tablett). Doseskalering kan göras enligt läkarens beslut. | |
3:e förekomsten | Avbryt behandlingen tills toxiciteten återgår till grad 0‑1. När behandlingen återupptas, minska dosen med 40 mg (en tablett). Doseskalering kan göras enligt läkarens beslut. | |
4:e förekomsten | Avbryt permanent behandlingen med Stivarga | |
Grad 3 | 1:a förekomsten | Sätt omedelbart in symtomatisk behandling. Avbryt behandlingen i minst 7 dagar tills toxiciteten återgår till grad 0‑1. När behandlingen återupptas, minska dosen med 40 mg (en tablett). Doseskalering kan göras enligt läkarens beslut. |
2:a förekomsten | Sätt omedelbart in symtomatisk behandling. Avbryt behandlingen i minst 7 dagar tills toxiciteten återgår till grad 0‑1. När behandlingen återupptas, minska dosen med 40 mg (en tablett). | |
3:e förekomsten | Avbryt permanent behandlingen med Stivarga. |
För rekommenderade åtgärder och dosjusteringar vid avvikande leverfunktionstester som anses ha samband med Stivarga,se tabell 2 (se även avsnitt Varningar och försiktighet).
Tabell 2: Rekommenderade åtgärder och dosjusteringar vid läkemedelsrelaterade avvikande leverfunktionstester
Observerade ökningar av ALAT och/eller ASAT | Förekomst | Rekommenderade åtgärder och dosjustering |
≤5 gånger övre normalgränsen (ULN) (max grad 2) | Alla förekomster | Fortsätt behandlingen med Stivarga. Kontrollera leverfunktionen varje vecka tills transaminasnivåerna återgår till <3 gånger ULN (grad 1) eller till ursprungsvärdet. |
>5 gånger ULN ≤20 gånger ULN (grad 3) | 1:a förekomsten | Avbryt behandlingen med Stivarga. Kontrollera transaminasnivåerna varje vecka tills de återgår till <3 gånger ULN eller till ursprungsvärdet. |
Återinsättning av Stivarga: Om den eventuella nyttan överväger riskerna för hepatotoxicitet, återinsätt Stivarga i reducerad dos (120 mg) och kontrollera leverfunktionen varje vecka i minst 4 veckor. | ||
Återkomst | Avbryt permanent behandlingen med Stivarga. | |
>20 gånger ULN (grad 4) | Alla förekomster | Avbryt permanent behandlingen med Stivarga. |
>3 gånger ULN (grad 2 eller högre) och samtidigt bilirubin >2 gånger ULN | Alla förekomster | Avbryt permanent behandlingen med Stivarga. Kontrollera leverfunktionen varje vecka tills leverfunktionen normaliseras eller återgår till ursprungsvärdet. Undantag: patienter med Gilberts syndrom som utvecklar transaminasstegring ska behandlas enligt ovan angivna rekommendationer för ökningar av ALAT och/eller ASAT. |
Nedsatt leverfunktion
Regorafenib elimineras huvudsakligen via levern.
I kliniska studier observerades inga relevanta skillnader i exponering, säkerhet och effekt hos patienter med lätt nedsatt leverfunktion (Child‑Pugh A) jämfört med patienter med normal leverfunktion. Dosjustering är inte nödvändig för patienter med lätt nedsatt leverfunktion. Eftersom bara begränsade data är tillgängliga för patienter med måttligt nedsatt leverfunktion (Child‑Pugh B), kan ingen dosrekommendation ges för dylika patienter. Noggrann övervakning avseende eventuella biverkningar rekommenderas för dessa patienter (se även avsnitt Varningar och försiktighet och Farmakokinetiska egenskaper).
Stivarga rekommenderas inte för patienter med gravt nedsatt leverfunktion (Child‑Pugh C) eftersom Stivarga inte har studerats i denna population.
Nedsatt njurfunktion
Tillgängliga kliniska data tyder på liknande exponering för regorafenib och dess metaboliter M-2 och M-5 hos patienter med lätt, måttligt eller gravt nedsatt njurfunktion jämfört med patienter med normal njurfunktion. Dosjustering är inte nödvändig hos patienter med lätt, måttligt eller gravt nedsatt njurfunktion (se även avsnitt Farmakokinetiska egenskaper).
Äldre
I kliniska studier sågs inga relevanta skillnader i exponering, säkerhet och effekt mellan äldre (65 år och äldre) och yngre patienter (se även avsnitt Farmakokinetiska egenskaper).
Kön
I kliniska studier observerades inga relevanta skillnader i exponering, säkerhet och effekt mellan manliga och kvinnliga patienter. Det krävs ingen dosjustering baserat på kön (se även avsnitt Farmakokinetiska egenskaper).
Etniska skillnader
I kliniska studier observerades inga relevanta skillnader i exponering och effekt mellan patienter från olika etniska grupper. En högre incidens av hand-fot-hudreaktion (HFSR)/palmar‑plantar erytrodysestesi, kraftigt avvikande leverfunktionstester och nedsatt leverfunktion observerades hos asiatiska (främst japanska) patienter som behandlades med Stivarga jämfört med kaukasier.De asiatiska patienter som behandlades med Stivarga i kliniska studier kom huvudsakligen från Östasien (~90 %). Det finns begränsade data om regorafenib hos den svarta patientpopulationen.
Det krävs ingen dosjustering baserat på etnicitet (se även avsnitt Farmakokinetiska egenskaper).
Pediatrisk population
Det finns ingen relevant användning av Stivarga för en pediatrisk population för indikationen metastaserad kolorektal cancer.
Säkerhet och effekt för regorafenib för patienter i ålder under 18 år för indikationen gastrointestinala stromacellstumörer (GIST) har inte fastställts. Inga data finns tillgängliga.
Det finns ingen relevant användning av Stivarga för en pediatrisk population för indikationen levercellscancer (HCC).
Administreringssätt
Stivarga är för oral användning.
Stivarga ska tas vid samma tidpunkt varje dag. Tabletterna ska sväljas hela med vatten efter en lätt måltid som innehåller mindre än 30 % fett. Ett exempel på en lätt (/fettfattig) måltid är 1 portion flingor (cirka 30 g), 1 glas lättmjölk, 1 skiva rostat bröd med marmelad, 1 glas äppeljuice och 1 kopp kaffe eller te (520 kalorier, 2 g fett).
Kontraindikationer
Överkänslighet mot den aktiva substansen eller mot något hjälpämne som anges i avsnitt Förteckning över hjälpämnen.
Varningar och försiktighet
Leverpåverkan
Avvikande leverfunktionstester (alaninaminotransferas [ALAT], aspartataminotransferas [ASAT] och bilirubin) har ofta observerats hos patienter som behandlas med Stivarga. Kraftigt avvikande leverfunktionstester (grad 3 och 4) och nedsatt leverfunktion med kliniska manifestationer (inklusive dödlig utgång) har rapporterats hos en liten andel patienter (se avsnitt Biverkningar).
I kliniska studier observerades en högre incidens av kraftigt avvikande leverfunktionstester och nedsatt leverfunktion hos asiatiska patienter (främst japaner) som behandlades med Stivarga jämfört med kaukasier (se avsnitt Dosering och administreringssätt).
Leverfunktionstester (ALAT, ASAT och bilirubin) bör utföras innan behandling med Stivarga påbörjas och under de första två behandlingsmånaderna bör noggranna kontroller utföras (minst varannan vecka). Därefter ska regelbundna kontroller utföras minst en gång i månaden och därutöver utefter kliniskt behov.
Regorafenib är en uridindifosfatglukuronosyltransferas-(UGT)‑1A1‑hämmare (se avsnitt Interaktioner). Lätt, indirekt (okonjugerad) hyperbilirubinemi kan förekomma hos patienter med Gilberts syndrom.
Hos patienter med avvikelser i leverfunktionstester som anses kunna vara relaterad till behandling med Stivarga (dvs. där ingen uppenbar alternativ orsak föreligger såsom t ex posthepatisk kolestas eller sjukdomsprogression), ska den dosjustering och de övervakningsråd som anges i tabell 2 beaktas (se avsnitt Dosering och administreringssätt).
Regorafenib elimineras huvudsakligen via levern.
Noggrann övervakning av den övergripande säkerheten rekommenderas för patienter med lätt eller måttligt nedsatt leverfunktion (se även avsnitt Dosering och administreringssätt och Farmakokinetiska egenskaper). Stivarga rekommenderas inte för patienter med gravt nedsatt leverfunktion (Child‑Pugh C) eftersom Stivarga inte har studerats i denna population och exponeringen kan vara förhöjd hos dessa patienter.
Infektioner
Stivarga har förknippats med en ökad incidens av infektioner, av vilka några varit dödliga (se avsnitt Biverkningar).
Vid förvärring av en infektion bör avbrott i behandlingen med Stivarga övervägas.
Blödning
Stivarga har förknippats med en ökad incidens av blödningshändelser, av vilka några varit dödliga (se avsnitt Biverkningar). Blod- och koagulationsstatus ska monitoreras hos patienter med tillstånd som predisponerar för blödning, och hos patienter som behandlas med antikoagulantia (t.ex. warfarin och fenprokumon) eller andra läkemedel som ökar risken för blödning. Screening för och efterföljande behandling av esofagusvaricer hos patienter med levercirros ska utföras i enlighet med vårdstandard innan behandling med Stivarga påbörjas. I händelse av allvarlig blödning som kräver omedelbar medicinsk åtgärd, ska permanent utsättning av Stivarga övervägas.
Gastrointestinal perforation och fistel
Gastrointestinal perforation (inklusive dödlig utgång) och fistel har rapporterats hos patienter som behandlas med Stivarga (se avsnitt Biverkningar). Dessa tillstånd är även vanliga sjukdomsrelaterade komplikationer hos patienter med intraabdominell malignitet. Utsättande av Stivarga rekommenderas hos patienter som utvecklar gastrointestinal perforation eller fistel.
Hjärtischemi och infarkt
Stivarga har förknippats med en ökad incidens av myokardischemi och infarkt (se avsnitt Biverkningar). Patienter med instabil angina eller nydebuterad angina (inom tre månader från behandlingsstart med Stivarga), färsk myokardinfarkt (inom sex månader från behandlingsstart med Stivarga) och patienter med hjärtsvikt av NYHA‑(New York Heart Association)‑klass 2 eller högre ingick inte i de kliniska studierna.
Patienter med anamnes på ischemisk hjärtsjukdom ska kontrolleras för kliniska tecken och symtom på myokardischemi. Hos patienter som utvecklar kardiell ischemi och/eller infarkt, rekommenderas avbrytande av behandlingen med Stivarga till dess att besvären försvunnit. Beslut att återuppta behandling med Stivarga ska tas efter noggrant övervägande av fördelar och risker för den enskilda patienten. Stivarga ska sättas ut permanent om inte besvären försvinner.
Hyperammonemisk encefalopati
Hyperammonemisk encefalopati har observerats med regorafenib, inräknat fall med dödlig utgång (se avsnitt Biverkningar). Hos patienter som utvecklar oförklarad letargi eller förändringar i psykisk status bör ammoniaknivåerna mätas och lämplig klinisk behandling inledas. Vid bekräftad hyperammonemisk encefalopati bör permanent utsättning av regorafenib övervägas.
Posterior reversibel encefalopatisyndrom (PRES)
PRES har rapporterats i samband med behandling med Stivarga (se avsnitt Biverkningar). Tecken och symtom på PRES inkluderar kramper, huvudvärk, mental påverkan, synstörning eller kortikal blindhet, med eller utan hypertension. PRES‑diagnosen måste bekräftas med hjärnavbildning. Hos patienter som utvecklar PRES rekommenderas utsättning av Stivarga, behandling av eventuell hypertension och symtomatisk behandling.
Arteriell hypertension
Stivarga har förknippats med en ökad incidens av arteriell hypertension (se avsnitt Biverkningar). Blodtrycket ska kontrolleras innan behandling med Stivarga påbörjas. Blodtrycket bör kontrolleras och hypertension behandlas i enlighet med gängse medicinsk praxis. Vid grav eller ihållande hypertension, trots adekvat medicinsk behandling, ska behandlingen avbrytas tillfälligt och/eller dosen reduceras enligt läkarens bedömning (se avsnitt Dosering och administreringssätt). Vid hypertensiv kris ska Stivarga sättas ut.
Aneurysmer och arteriella dissektioner
Användningen av VEGF-hämmare till patienter med eller utan hypertoni kan främja bildningen av aneurysmer och/eller arteriella dissektioner. Denna risk ska noga övervägas innan Stivarga sätts in hos patienter med riskfaktorer såsom hypertoni eller tidigare aneurysm.
Trombotisk mikroangiopati (TMA)
Trombotisk mikroangiopati (TMA), inklusive trombotisk trombocytopen purpura (TTP), har förknippats med användningen av regorafenib (se avsnitt Biverkningar). Diagnosen TMA ska övervägas hos patienter med hemolytisk anemi, trombocytopeni, trötthet, fluktuerande neurologiska manifestationer, nedsatt njurfunktion och feber. Behandling med regorafenib bör avbrytas hos patienter som utvecklar TMA och omedelbar behandling krävs. Reversering av effekterna av TMA har observerats efter utsatt behandling.
Sårläkningskomplikationer
Eftersom läkemedel med anti‑angiogena egenskaper kan hämma eller störa sårläkningen, bör behandling med Stivarga av säkerhetsskäl avbrytas tillfälligt hos patienter som genomgår omfattande kirurgiska ingrepp. Beslutet att återinsätta behandling med Stivarga efter ett omfattande kirurgisk ingrepp ska baseras på klinisk bedömning av adekvat sårläkning.
Dermatologisk toxicitet
Hand‑fot-hudreaktion (HFSR) eller palmar‑plantar erytrodysestesi och utslag är de vanligast observerade dermatologiska biverkningarna med Stivarga (se avsnitt Biverkningar). I kliniska studier observerades en högre incidens av HFSR hos asiatiska patienter (främst japaner) som behandlades med Stivarga jämfört med kaukasier (se avsnitt Dosering och administreringssätt). Åtgärder för att förebygga HFSR omfattar förebyggande behandling av förhårdnader och användning av skoinlägg och handskar för att förhindra tryckbelastning mot fotsulor och handflator. Behandling av HFSR kan även inkludera keratolytiska krämer (t.ex. krämer med urea, salicylsyra eller alfahydroxisyra som appliceras sparsamt på drabbade områden) och fuktighetsgivande krämer (applicerade liberalt) för symtomlindring. Dosreduktion och/eller tillfälligt utsättande av Stivarga bör övervägas, och vid grava eller ihållande fall bör man överväga att sätta ut Stivarga permanent (se avsnitt Dosering och administreringssätt).
Avvikelser i biokemiska och metabola laboratorieanalyser
Stivarga har förknippats med en ökad incidens av elektrolytavvikelser (t.ex. hypofosfatemi, hypokalcemi, hyponatremi och hypokalemi) och metabola avvikelser (t.ex. förhöjt tyreoideastimulerande hormon, lipas och amylas). Avvikelserna är generellt lätta till måttliga, inte förknippade med kliniska symtom och kräver vanligtvis inte dosavbrott eller dosreduktion. Biokemiska och metabola parametrar bör kontrolleras vid behandling med Stivarga och vid behov bör lämplig ersättningsbehandling sättas in i enlighet med gängse klinisk praxis. Dosavbrott eller dosreduktioner, eller permanent utsättande av Stivarga bör övervägas vid ihållande eller återkommande signifikanta avvikelser (se avsnitt Dosering och administreringssätt).
Viktig information om vissa innehållsämnen
Detta läkemedel innehåller 56,06 mg natrium per daglig dos på 160 mg, motsvarande 3% av WHOs högsta rekommenderat dagligt intag (2 gram natrium för vuxna).
En daglig dos på 160 mg innehåller 1,68 mg lecitin (framställt från soja).
Interaktioner
Hämmare av CYP3A4 och UGT1A9/inducerare av CYP3A4
In vitro-data indikerar att regorafenib metaboliseras av cytokrom CYP3A4 och uridindifosfatglukuronosyltransferas UGT1A9.
Administrering av ketokonazol (400 mg i 18 dagar), en stark CYP3A4‑hämmare, och enstaka dos regorafenib (160 mg dag 5) ledde till en ökning av genomsnittlig exponering (AUC) av regorafenib på cirka 33 % och en minskning av genomsnittlig exponering av de aktiva metaboliterna M‑2 (N‑oxid) och M‑5 (N‑oxid och N‑desmetyl) på cirka 90 %. Samtidig användning av starka hämmare av CYP3A4 (t.ex. klaritromycin, grapefruktjuice, itrakonazol, ketokonazol, posakonazol, telitromycin och vorikonazol) bör unvikas eftersom deras effekt på exponeringen av regorafenib och dess metaboliter vid steady state inte har studerats.
Samtidig administrering av starka UGT1A9‑hämmare (t.ex. mefenaminsyra, diflunisal och nifluminsyra) under behandling med regorafenib bör undvikas eftersom deras effekt på exponeringen av regorafenib och dess metaboliter vid steady state inte har studerats.
Administrering av rifampicin (600 mg i 9 dagar), en kraftig CYP3A4‑inducerare, och enstaka dos regorafenib (160 mg dag 7) ledde till en minskning av genomsnittlig AUC för regorafenib med cirka 50 %, en 3‑ till 4‑faldig ökning av genomsnittlig exponering av den aktiva metaboliten M‑5, och ingen förändring i exponering av den aktiva metaboliten M‑2. Andra kraftiga CYP3A4‑inducerare (t.ex. fenytoin, karbamazepin, fenobarbital och johannesört) kan också öka metabolismen av regorafenib. Starka inducerare av CYP3A4 bör undvikas, alternativt bör annat läkemedel, med liten eller helt utan effekt på CYP3A4, övervägas.
UGT1A1‑ och UGT1A9‑substrat
In vitro‑data indikerar att regorafenib och dess aktiva metabolit M‑2 hämmar glukuronidering medierad av UGT1A1 och UGT1A9 medan M‑5 endast hämmar UGT1A1 vid koncentrationer som uppnås in vivo vid steady state. Administrering av regorafenib med ett 5‑dagars avbrott före administrering av irinotekan ledde till en ökning på cirka 44 % av AUC för SN‑38, ett substrat för UGT1A1 och en aktiv metabolit av irinotekan. En ökning av AUC för irinotekan på cirka 28 % observerades också. Detta indikerar att samtidig administrering av regorafenib kan öka systemisk exponering av UGT1A1‑ och UGT1A9‑substrat.
Bröstcancerresistent protein (BCRP) och P‑glykoproteinsubstrat
Administrering av regorafenib (160 mg i 14 dagar) före en enkeldos rosuvastatin (5 mg), ett BRCP-substrat, gav 3,8-faldig ökning i genomsnittlig AUC och en 4,6-faldig ökning i Cmax för rosuvastatin.
Detta indikerar att samtidig administrering av regorafenib kan öka plasmakoncentrationerna av andra BCRP‑substrat (t.ex. metotrexat, fluvastatin, atorvastatin). Därför rekommenderas noggrann övervakning av patienter avseende symtom som kännetecknar ökad exponering av BRCP-substrat.
Kliniska data indikerar att regorafenib inte påverkar digoxin-farmakokinetiken, och kan därför ges samtidigt med P‑glykoproteinsubstrat såsom digoxin, utan kliniskt betydelsefull läkemedelsinteraktion.
Hämmare av P‑glykoprotein och BCRP/inducerare av P‑glykoprotein och BCRP
In vitro‑studier indikerar att de aktiva metaboliterna M‑2 och M‑5 är substrat för P‑glykoprotein och BCRP. Hämmare och inducerare av BCRP och P‑glykoprotein kan påverka exponeringen av M‑2 och M‑5. Den kliniska betydelsen av detta är okänd (se även avsnitt Farmakokinetiska egenskaper).
CYP‑isoformselektiva substrat
In vitro‑data indikerar att regorafenib är en kompetitiv hämmare av cytokrom CYP2C8 (Ki‑värde 0,6 mikromolar), CYP2C9 (Ki‑värde 4,7 mikromolar), CYP2B6 (Ki‑värde 5,2 mikromolar) vid koncentrationer som uppnås in vivo vid steady state (maximal plasmakoncentration 8,1 mikromolar). In vitro-hämningen av CYP3A4 (Ki‑värde 11,1 mikromolar) och CYP2C19 (Ki‑värde 16,4 mikromolar) var mindre uttalad.
En klinisk studie utfördes för att utvärdera effekten av 14 dagars dosering med 160 mg regorafenib på farmakokinetiken för probsubstrat av CYP2C8 (rosiglitazon), CYP2C9 (S‑warfarin), CYP 2C19 (omeprazol) och CYP3A4 (midazolam).
Farmakokinetiska data tyder på att regorafenib kan ges samtidigt med substrat för CYP2C8, CYP2C9, CYP3A4 och CYP2C19 utan kliniskt betydelsefull läkemedelsinteraktion (se även avsnitt Varningar och försiktighet).
Antibiotika
Koncentration‑tidskurvan indikerar att regorafenib och dess metaboliter kan genomgå enterohepatisk cirkulation (se avsnitt Farmakokinetiska egenskaper). Samtidig administrering av neomycin, ett antimikrobiellt medel med dålig absorption som används för att erradikera floran i magtarmkanalen (vilket kan störa den enterohepatiska cirkulationen av regorafenib) hade ingen påverkan på regorafenibexponeringen. Dock noterades en minskning i exponeringen av de aktiva metaboliter M-2 och M-5 på ca 80% vilka både in vitro och in vivo visat på farmakologisk aktivitet jämförbar med regorafenib. Den kliniska signifikansen av neomycin interaktionen är okänd, men skulle kunna leda till minskad effekt av regorafenib. Farmakokinetisk interaktion med andra antibiotika har inte studerats.
Gallsyrebindare
egorafenib, M-2 och M-5 kommer sannolikt att genomgå enterohepatisk cirkulation (se avsnitt Farmakokinetiska egenskaper). Gallsyrebindare såsom kolestyramin och kolestagel kan interagera med regorafenib genom att bilda olösliga komplex som kan påverka absorptionen (eller reabsorptionen), potentiellt resulterande i minskad exponering. Den kliniska betydelsen av dessa potentiella interaktioner är okänd, men skulle kunna leda till minskad effekt av regorafenib.
Fertilitet, graviditet och amning
Fertila kvinnor/födelsekontroll hos män och kvinnor
Fertila kvinnor måste informeras om att regorafenib kan orsaka fosterskador.
Fertila kvinnor och män ska använda effektiv preventivmetod under behandlingen och upp till 8 veckor efter avslutad behandling.
Graviditet
Det finns inga data för användning av regorafenib hos gravida kvinnor.
Baserat på verkningsmekanismen för regorafenib misstänks det orsaka fosterskador vid administrering under graviditet. Djurstudier har visat reproduktionstoxikologiska effekter (se avsnitt Prekliniska säkerhetsuppgifter). Stivarga ska inte användas under graviditet om det inte är helt nödvändigt och då endast efter noggrant övervägande av fördelarna för mamman och risken för fostret.
Amning
Det är okänt om regorafenib eller dess metaboliter utsöndras i bröstmjölk.
Hos råttor utsöndras regorafenib eller dess metaboliter i mjölken. Risker för det ammande barnet kan inte uteslutas. Regorafenib kan skada barnets tillväxt och utveckling (se avsnitt Prekliniska säkerhetsuppgifter).
Amning måste avbrytas vid behandling med Stivarga.
Fertilitet
Det saknas data om effekt av Stivarga på human fertilitet. Resultat från djurstudier indikerar att regorafenib kan påverka fertiliteten negativt hos både män och kvinnor (se avsnitt Prekliniska säkerhetsuppgifter).
Effekter på förmågan att framföra fordon och använda maskiner
Inga studier av huruvida Stivarga påverkar förmågan att framföra fordon och använda maskiner har utförts. Om patienter upplever symtom som påverkar koncentrations- och reaktionsförmågan under behandling med Stivarga, rekommenderas t de att inte framföra fordon eller använda maskiner förrän symtomen har avklingat.
Biverkningar
Sammanfattning av säkerhetsprofilen
Den totala säkerhetsprofilen för Stivarga är baserad på data från mer än 4 800 behandlade patienter i kliniska studier inklusive data från 636 patienter med metastaserad kolorektal cancer (CRC), 132 patienter med gastrointestinala stromacellstumörer (GIST) och 374 patienter med levercellscancer (HCC) behandlade i en placebokontrollerad fas III‑studie.
Säkerhetsprofilen för regorafenib i dessa studier överensstämde med säkerhetsresultaten från en fas III B-studie med 2872 patienter med metastaserad kolorektalcancer, vilkas sjukdom hade progredierat efter standardbehandling.
De allvarligaste biverkningarna hos patienter som fått Stivarga är allvarlig leverskada, blödning, gastrointestinal perforation och infektion.
De vanligaste observerade biverkningarna (≥30 %) hos patienter som fått Stivarga är smärta, hand‑fot-hudreaktion, asteni/trötthet, diarré, minskad aptit och minskat matintag, hypertension och infektion.
Tabell med biverkningar
De biverkningar som rapporterats i kliniska prövningar på patienter som behandlats med Stivarga anges i tabell 3. De klassificeras enligt organsystem och den mest lämpliga MedDRA-termen används för att beskriva en viss reaktion, dess synonymer och närbesläktade tillstånd.
Biverkningar är grupperade efter frekvens. Frekvensområden definieras enligt följande konvention: mycket vanliga (≥1/10), vanliga (≥1/100, <1/10), mindre vanliga (≥1/1 000, <1/100), sällsynta (≥1/10 000, <1/1 000) och ingen känd frekvens (kan inte beräknas från tillgänglig data). .
Biverkningarna presenteras inom varje frekvensområde efter fallande allvarlighetsgrad.
Tabell 3: Biverkningar rapporterade hos patienter behandlade med Stivarga i kliniska studier och efter marknadsföring
Infektioner och infestationer | ||||
Mycket vanliga | Infektion* | |||
Neoplasier – benigna, maligna och ospecificerade (inklusive cystor och polyper) | ||||
Sällsynta | Keratoakantom/skivepitelkarcinom i huden | |||
Blod och lymfatiska systemet | ||||
Mycket vanliga | Trombocytopeni, anemi | |||
Vanliga | Leukopeni | |||
Sällsynta | Trombotisk mikroangiopati | |||
Immunsystemet | ||||
Mindre vanliga | Överkänslighetsreaktion | |||
Endokrina systemet | ||||
Vanliga | Hypotyreoidism | |||
Metabolism och nutrition | ||||
Mycket vanliga | Minskad aptit och minskat matintag | |||
Vanliga | Hypokalemi, hypofosfatemi, hypokalcemi, hyponatremi, hypomagnesemi, hyperurikemi, dehydrering | |||
Centrala och perifera nervsystemet | ||||
Vanliga | Huvudvärk, tremor, perifer neuropati | |||
Sällsynta | Posteriort, reversibelt encefalopatisyndrom (PRES) | |||
Ingen känd frekvens | Hyper-ammonemisk encefalopati | |||
Hjärtat | ||||
Mindre vanliga | Myokardinfarkt, myokardischemi | |||
Blodkärl | ||||
Mycket vanliga | Blödning*, hypertension | |||
Mindre vanlig | Hypertensiv kris | |||
Ingen känd frekvens | Aneurysmer och arteriella dissektioner | |||
Andningsvägar, bröstkorg och mediastinum | ||||
Mycket vanliga | Dysfoni | |||
Magtarmkanalen | ||||
Mycket vanliga | Diarré, stomatit, kräkningar, illamående | |||
Vanliga | Smakstörningar, muntorrhet, gastroesofagal reflux, gastroenterit | |||
Mindre vanliga | Gastrointestinal perforation*, gastrointestinal fistel, pankreatit | |||
Lever och gallvägar | ||||
Mycket vanliga | Hyperbilirubinemi, ökning av transaminaser | |||
Mindre vanliga | Allvarlig leverskada*# | |||
Hud och subkutan vävnad | ||||
Mycket vanliga | Hand‑fot-hudreaktion**, hudutslag | |||
Vanliga | Alopeci, torr hud, exfoliativt hudutslag | |||
Mindre vanliga | Nagelsjukdom, erythema multiforme | |||
Sällsynta | Stevens-Johnsons syndrom, toxisk epidermal nekrolys | |||
Muskuloskeletala systemet och bindväv | ||||
Vanliga | Muskelkramp | |||
Njurar och urinvägar | ||||
Vanliga | Proteinuri | |||
Allmänna symtom och/eller symtom vid administreringsstället | ||||
Mycket vanliga | Asteni/trötthet, smärta***, feber, slemhinneinflammation | |||
Undersökningar | ||||
Mycket vanliga | Viktminskning | |||
Vanliga | Ökning av amylas, ökning av lipas, avvikande INR-värden |
* dödliga fall har rapporterats
** palmar‑plantar erytrodysestesi i MedDRA-terminologi
***De oftast rapporterade typerna av smärta (≥10 %) är buksmärta och ryggsmärta
# enligt kriterierna för läkemedelsinducerad leverskada (kriterier från den internationella Drug Induced Liver Injury (DILI) arbetsgruppen)
Beskrivning av valda biverkningar
Hos de flesta patienter drabbade med allvarlig leverskada debuterade leverdysfunktionen inom de två första behandlingsmåndaderna, och karakteriserades av ett hepatocellulärt skademönster med transaminashöjning >20xULN följt av förhöjt bilirubin. I kliniska prövningar observerades en högre incidence av allvarlig leverskada med dödlig utgång hos japanska patienter som behandlades med Sytivarga (~1,5 %) jämfört med icke-japanska patienter (<0,1 %).
I de placebokontrollerade fas III‑studierna var den totala incidensen av blödningar 18,2% hos patienter behandlade med Stivarga och 9,5% hos patienter som fick placebo. Majoriteten av blödningarna hos patienter som behandlades med Stivarga var lätta till måttliga (grad 1 och 2: 15,2 %), och näsblödningar utgjorde 6,1 % av fallen. Dödlig utgång hos patienter som behandlades med Stivarga var mindre vanlig (0,7 %) och inkluderade blödning från hjärnan, luftvägarna, magtarmkanalen och urogenitala systemet.
I de placebokontrollerade fas III‑studierna observerades infektioner oftare hos patienter behandlade med Stivarga än hos patienter som fick placebo (alla grader: 31,6 % jämfört med 17,2 %). De flesta infektionerna hos patienter behandlade med Stivarga var lätta till måttliga (grad 1 och 2: 23,0 %) och inkluderade urinvägsinfektioner (5,7 %), nasofaryngit (4,0 %), mukokutana och systemiska svampinfektioner (3,3 %) samt lunginflammation (2,6%). Dödlig utgång på grund av infektion observerades oftare hos patienter som behandlades med Stivarga (1,0%), jämfört med patienter som fick placebo (0,3%) och var främst relaterade till luftvägarna.
I de placebokontrollerade fas III‑studierna var den totala incidensen hand‑fot-hudreaktion högre hos patienter behandlade med Stivarga jämfört med patienter som fick placebo (alla grader: 51,4% jämfört med 6,5% CRC, 66,7% jämfört med 15,2% GIST, 51,6% jämfört med 7,3% HCC). De flesta fallen av hand‑fot-hudreaktion hos patienter behandlade med Stivarga uppkom under den första behandlingscykeln och var av lätt till måttlig allvarlighetsgrad (grad 1 och 2: 34,3 % CRC, 44,7 % GIST och 39,3% HCC). Incidensen av hand-fot-hudreaktion av grad 3 var 17,1 % (CRC), 22,0 % (GIST) och 12,3% (HCC). Den totala incidensen av hand-fot hudreaktion (74,8% CRC, 88,2% GIST och 67,1% HCC) var högre hos asiatiska patienter behandlade med Stivarga jämfört med andra etniciteter. Incidensen av hand-fot hudreaktion av grad 3 var 20,5% (CRC), 23,5% (GIST) och 13,5% (HCC) (se avsnitt Dosering och administreringssätt och Varningar och försiktighet).
I de placebokontrollerade fas III‑studierna var den totala incidensen av hypertoni högre hos patienter behandlade med Stivarga jämfört med patienter som fick placebo (29,6% jämfört med 7,5% CRC; 60,6% jämfört med 25,8% GIST, 31,0% jämfört med 6,2% HCC). De flesta fallen av hypertoni hos patienter behandlade med Stivarga uppkom under den första behandlingscykeln och var av lätt till måttlig allvarlighetsgrad (grad 1 och 2: 20,9 % CRC, 31,8 %, GIST och 15,8% HCC). Incidensen av hypertoni grad 3 var 8,7 % (CRC), 28.0 % (GIST) och 15,2% (HCC). Ett fall av hypertoni av grad 4 rapporterades i GIST-studien.
I de placebokontrollerade fas III-studieerna var den samlade incidensen av behandlingsrelaterad proteinuri 9,1% hos patienter som behandlades med Stivarga jämfört med 1,9 % hos patienter som fick placebo. Av dessa händelser har 35,6 % i Stivarga‑armen och 54,5 % i placeboarmen inte avklingat enligt rapporteringen.
I samtliga kliniska studier har hjärt-relaterade händelser (alla grader) rapporterats oftare (13,7 % jämfört med 6,5 %) hos patienter behandlade med Stivarga i åldern 75 år eller äldre (N=410) jämfört med patienter under 75 år som behandlades med Stivarga (N=4108).
Avvikande laboratorietester
Behandlingsrelaterade avvikelser i laboratorietester observerade i de placebokontrollerade fas III‑studierna visas i tabell 4 och tabell 4a (se även avsnitt Varningar och försiktighet).
Tabell 4: Behandlingsrelaterade avvikande laboratorietester rapporterade i placebokontrollerade fas III-studier med patienter med metastaserad kolorektal cancer (CORRECT), GIST (GRID) och HCC (RESORCE)
mCRC (CORRECT) | GIST (GRID) | HCC (RESORCE) | ||||||||||
Laboratorieparameter (i % av undersökta prov) | Stivarga plus BSC (N=500) | Placebo plus BSC (N=253) | Stivarga plus BSC (N=500) | Placebo plus BSC (N=253) | Stivarga plus BSC (N=132) | Placebo plus BSC (N=66) | Stivarga plus BSC (N=132) | Placebo plus BSC (N=66) | Stivarga plus BSC (N=374) | Placebo plus BSC (N=193) | Stivarga plus BSC (N=374) | Placebo plus BSC (N=193) |
Grad a | Grad b | Grad b | ||||||||||
Alla grader % | Grad 3/4 % | Alla grader % | Grad 3/4 % | Alla grader % | Grad 3/4 % | |||||||
Blodet och lymfsystemet | ||||||||||||
Minskning av hemoglobin | 78,5 | 66,3 | 5,3 | 2,8 | 75,0 | 72,7 | 3,0 | 1,5 | 72,5 | 71,3 | 6,0 | 4,8 |
Trombocytopeni | 40,5 | 16,8 | 2,8 | 0,4 | 12,9 | 1,5 | 0,8 | 1,5 | 63,1 | 50,0 | 5,4 | 0 |
Neutropeni | 2,8 | 0 | 0,6 | 0 | 15,9 | 12,1 | 3,1 | 3,0 | 13,6 | 14,9 | 3,0 | 1,0 |
Lymfocytopeni | 54,1 | 34,8 | 9,3 | 4,0 | 29,9 | 24,2 | 7,6 | 3,0 | 67,8 | 58,5 | 17,4 | 11,7 |
Metabolism och nutrition | ||||||||||||
Hypokalcemi | 59,3 | 18,3 | 1,2 | 1,2 | 16,7 | 4,5 | 1,5 | 0 | 23,4 | 10,1 | 0,3 | 0 |
Hypokalemi | 25,7 | 8,3 | 4,3 | 0,4 | 20,5 | 3,0 | 3,0 | 0 | 30,7 | 9,0 | 4,3 | 2,1 |
Hypofosfatemi | 57,4 | 11.1 | 31.1 | 3,6 | 54,5 | 3,1 | 21,2 | 1,5 | 70,4 | 31,4 | 33,9 | 6,9 |
Lever och gallvägar | ||||||||||||
Hyperbilirubinami | 44,6 | 17,1 | 12,2 | 8,4 | 33,3 | 12,1 | 3,8 | 1,5 | 78,2 | 54,5 | 15,9 | 15,7 |
Ökning av ASAT | 65,0 | 45,6 | 5,9 | 5,2 | 58,3 | 47,0 | 3,8 | 3,0 | 92,7 | 84,3 | 17,8 | 19,9 |
Ökning av ALAT | 45,2 | 29,8 | 5,5 | 3,2 | 39,4 | 39,4 | 4,6 | 1,5 | 70,4 | 58,6 | 6,2 | 4,7 |
Njurar och urinvägar | ||||||||||||
Proteinuri | 83,6 | 61,0 | 1,8 | 0,8 | 59,2 | 52,5 | 3,1 | 3,4 | 50,8 | 36,7 | 16,7 | 3,2 |
Undersökningar | ||||||||||||
Ökning av INR* | 23,7 | 16,6 | 4,2 | 1,6 | 9,3 | 12,5 | 1,6 | 4,7 | 44,2 | 35,4 | 0,7 | 2,1 |
Ökning av lipas | 46,0 | 18,7 | 11,4 | 4,4 | 14,4 | 4,6 | 0,8 | 0 | 40,5 | 27,0 | 14,2 | 8,7 |
Ökning av amylas | 25,5 | 16,7 | 2,6 | 2,4 | - | - | - | - | 23,0 | 19,0 | 2,8 | 2,7 |
a CTCAE (Common Terminology Criteria for Adverse Events), Version 3.0
bCTCAE (Common Terminology Criteria for Adverse Events), Version 4.0
* International normalized ratio
Bästa understödjande behandling (BSC = Best Supportive Care)
Jämfört med den globala fas III-studien på kolorektal cancer (CORRECT) med huvudsakligen (~80 %) kaukasiska patienter, observerades en högre incidens av förhöjda leverenzymer hos Stivarga-behandlade patienter i den asiatiska fas III‑studien på kolorektal cancer (CONCUR) med huvudsakligen (> 90 %) östasiatiska patienter.
Tabell 4a: Behandlingsrelaterade avvikande leverenzymtester rapporterade i en placebokontrollerad fas III-studie med asiatiska patienter med metastaserad kolorektal cancer (CONCUR)
Laboratorieparameter (i % av undersökta prov) | Stivarga plus BSC§ (N=136) | Placebo plus BSC§ (N=68) | ||||
Alla grader* | Grad 3* | Grad 4* | Alla grader* | Grad 3* | Grad 4* | |
Ökning av bilirubin | 66,7 | 7,4 | 4,4 | 32,8 | 4,5 | 0,0 |
Ökning av ASAT | 69,6 | 10,4 | 0,7 | 47,8 | 3,0 | 0,0 |
Ökning av ALAT | 54,1 | 8,9 | 0,0 | 29,9 | 1,5 | 0,0 |
§ Bästa understödjande behandling (BSC = Best Supportive Care)
* CTCAE (Common Terminology Criteria for Adverse Events), Version 4.0
I de placebokontrollerade fas III-studierna, visade uppmätt tyreoidstimulerande hormon (TSH) efter behandlingsstart en postbaslinjenivå på>ULN hos 34,6 % hos patienterna som behandlades med Stivarga och hos 17,2 % hos patienterna som fick placebo. TSH-nivån efter behandlingsstart på >4 gånger ULN rapporterades hos 6,5 % av patienterna som behandlades med Stivarga och hos 1,3 % av patienterna som fick placebo.
Koncentration av fritt trijodotyronin (FT3) efter behandlingsstart under den nedre normalgränsen (4,6 % av patienterna som behandlades med Stivarga hypotyreos som krävde hormonell ersättningsbehandling.
Rapportering av misstänkta biverkningar
Det är viktigt att rapportera misstänkta biverkningar efter att läkemedlet godkänts. Det gör det möjligt att kontinuerligt övervaka läkemedlets nytta-riskförhållande. Hälso- och sjukvårdspersonal uppmanas att rapportera varje misstänkt biverkning till:
webbplats: www.fimea.fi
Säkerhets- och utvecklingscentret för läkemedelsområdet Fimea
Biverkningsregistret
PB 55
00034 FIMEA.
Överdosering
Den högsta dosen av Stivarga som studerats kliniskt är 220 mg per dag. De vanligaste observerade biverkningarna vid denna dos var dermatologiska biverkningar, dysfoni, diarré, slemhinneinflammation, muntorrhet, minskad aptit, hypertension och trötthet.
Det finns ingen specifik antidot för Stivarga. Vid misstänkt överdosering ska behandlingen med Stivarga avbrytas omedelbart, bästa understödjande vård sättas in och, när så krävs, patienten övervakas tills situationen är kliniskt stabiliserad.
Farmakologiska egenskaper
Farmakodynamiska egenskaper
Farmakoterapeutisk grupp: Antineoplastiska preparat, proteinkinashämmare; ATC‑kod: L01EX05
Verkningsmekanism och farmakodynamiska effekter
Regorafenib är ett peroralt tumördeaktiveringspreparat som effektivt blockerar flera proteinkinaser, inklusive kinaser med betydelse för tumörangiogenes (VEGFR1, ‑2, ‑3, TIE2), onkogenes (KIT, RET, RAF‑1, BRAF, BRAFV600E) metastaser (VEGFR3, PDGFR, FGFR) och tumörimmunitet(CSFIR). I synnerhet hämmar regorafenib muterat KIT, en onkogen som spelar en viktig roll i utvecklingen av gastrointestinala stromacellstumörer, och blockerar därmed proliferation av tumörceller. I prekliniska studier har regorafenib visat potent antitumöraktivitet i ett brett spektrum av tumörmodeller, inklusive kolorektala, gastrointestinala stromacells- och levercancertumörer, som troligen medieras av dess antiangiogena och antiproliferativa effekterDessutom minskade regorafenib nivåerna av tumörrelaterade makrofager och har visat antimetastatiska effekter in vivo. De huvudsakliga humana metaboliterna (M‑2 and M‑5) uppvisade med regorafenib jämförbara effekter i in vitro och in vivo‑modeller.
Klinisk effekt och säkerhet
Metastaserad kolorektal cancer (CRC)
Den kliniska effekten och säkerheten för Stivarga har utvärderats i en internationell, randomiserad, dubbelblind, placebokontrollerad fas III multicenterstudie (CORRECT) hos patienter med metastaserad kolorektalcancer som progredierat efter svikt på standardbehandling.
Det primära effektmåttet var total överlevnad (OS). Sekundära effektmått var progressionsfri överlevnad (PFS), objektiv tumörsvarsfrekvens (ORR) och sjukdomskontrollfrekvens (DCR).
Totalt 760 patienter randomiserades i ett 2:1 förfarande till 160 mg regorafenib (4 tabletter Stivarga, vardera innehållande 40 mg regorafenib) oralt en gång dagligen (N=505) och bästa understödjande behandling (BSC) eller placebo (N=255) och BSC i 3 veckor följt av 1 behandlingsfri vecka. Den genomsnittliga dagliga dosen regorafenib var 147 mg.
Patienterna fortsatte med behandlingen tills sjukdomsprogression eller oacceptabel toxicitet. En förhandsplanerad interimsanalys för effekt utfördes när 432 dödsfall hade inträffat. Studien avblindades efter denna planerade interimsanalys då total överlevnad (OS) hade nått den förspecificerade effektgränsen.
Av de 760 randomiserade patienterna var medianåldern 61 år, 61 % var män, 78 % var vita och alla patienter hade ECOG Performance Status (PS) 0 eller 1 vid behandlingsstart. PS ≥2 rapporterades under Stivarga‑behandling hos 11,4 % av patienterna. Medianbehandlingstid och daglig dos, liksom frekvens dosmodifieringar, var jämförbara med placebobehandlade patienter med PS ≥2 (8,3 %). De flesta patienterna med PS ≥2 avbröt behandlingen på grund av progredierande sjukdom. Den primära sjukdomslokalisationen var kolon (65 %), rektum (29 %) eller båda (6 %). KRAS-mutation rapporterades hos 57 % av patienterna vid studiestart.
De flesta patienter (52 %) hade fått tre eller färre tidigare behandlingslinjer för metastaserad sjukdom. Behandlingarna inkluderade behandling med fluoropyrimidinbaserad kemoterapi, en anti‑VEGF‑behandling och, om patienten hade en KRAS vildtyp tumör, en anti‑EGFR-behandling.
Tillägget av Stivarga till BSC ledde till signifikant längre överlevnad jämfört med placebo plus BSC med ett p-värde av 0,005178 från stratifierat log rank-test, en riskkvot på 0,774 [95% KI 0,636, 0,942] och en median-OS på 6,4 månader jämfört med 5,0 månader (se tabell 5 och figur 1). PFS var signifikant längre hos patienter som fick Stivarga plus BSC (riskkvot: 0,494, p<0,000001, se tabell 5). Responsefrekvensen (komplett respons eller partiell respons) var 1 % och 0,4 % för Stivarga‑ respektive placebobehandlade patienter (p=0,188432, ensidigt). DCR (komplett respons eller partiell respons eller stabil sjukdom) var signifikant högre hos patienter som behandlades med Stivarga (41,0 % jämfört med 14,9 %, p<0,000001, ensidigt).
Tabell 5: Effektresultat från CORRECT‑studien
Effektparametrar | Riskkvot* (95 % KI) | P‑värde (ensidigt) | Median (95 % KI) | |
Stivarga plus BSC§ (N=505) | Placebo plus BSC§ (N=255) | |||
OS | 0,774 (0,636, 0,942) | 0,005178 | 6,4 månader (5,9; 7,3) | 5,0 månader (4,4; 5,8) |
PFS** | 0,494 (0,419, 0,582) | <0,000001 | 1,9 månader (1,9; 2,1) | 1,7 månader (1,7; 1,7) |
§ Bästa understödjande behandling (BSC = Best Supportive Care)
* Riskkvot <1 motsvarar en fördel för Stivarga genetemot placebo
** Baserat på prövarens bedömning av tumörsvar
Figur 1: Kaplan‑Meier kurvor för OS
Subgruppsanalyser för OS och PFS efter ålder (<65 år, ≥ 65), kön, ECOG PS, primärtumörens lokalisation, tid från diagnos av metastaserad sjukdom, tidigare behandlingar, antal tidigare behandlingslinjer för metastaseradsjukdom, och KRAS-mutationsstatus visade en behandlingseffekt till fördel för regorafenib jämfört med placebo.
Resultat från en subgruppsanalys baserad på historiskt KRAS mutationsstatus i primärtumören visade behandlingseffekt till fördel för regorafenib jämfört med placebo hos patienter med vildtyp KRAS medan en mindre sågs hos KRAS-muterade patienter. Dock observerades en gynnsam behandlingseffekt avseende progressionsfri överlevnad för regorafenib oavsett KRAS-mutationsstatus. Riskkvoten (95% konfidensintervall) för OS var 0,653 (0,476-0,895) för KRAS vildtyp och 0,867 (0,670-1,123) för KRAS muterande patienter. Ingenting talar för någon skillnad i behandlingseffekt (icke-signifikant interaktionstest). Riskkvoten (95% konfidensintervall) för PFS för KRAS vildtyp respektive KRAS mutant var 0.550 (0,450 - 0.671) och 0.454 (0.332 – 0.620).
I en annan internationell, randomiserad, dubbelblind, placebokontrollerad, fas III multicenterstudie (CONCUR) utvärderades effekt och säkerhet för Stivarga hos 204 tidigare behandlade asiatiska patienter (> 90 % östasiater) med metastaserad kolorektal cancer som hade progredierat efter svikt på fluoropyrimidinbaserad kemoterapi. Endast 59,5 % av de rekryterade patienterna i CONCUR-studien hade tidigare även behandlats med läkemedel riktade mot VEGF eller EGFR. Det primära effektmåttet var OS. Tillägget av Stivarga till BSC ledde till signifikant längre överlevnad jämfört med placebo plus BSC med en riskkvot på 0,550 (p = 0,000159 stratifierat log rank-test) och en median-OS på 8,8 månader jämfört med 6,3 månader [95 % KI 0,395, 0,765]. PFS var också signifikant längre hos patienter som fick Stivarga plus BSC (riskkvot: 0,311, p<0,000001), median-PFS 3,2 månader med Stivarga jämfört med 1,7 månader med placebo. Säkerhetsprofilen för Stivarga plus BSC i studien CONCUR överensstämde med den säkerhetsprofil som observerades i studien CORRECT.
Gastrointestinala stromacellstumörer (GIST)
Den kliniska effekten och säkerheten för Stivarga har utvärderats i en internationell, randomiserad, dubbelblind, placebokontrollerad fas III multicenterstudie (GRID) hos patienter med gastrointestinala stromacellstumörer (GIST) som tidigare behandlats med 2 tyrosinkinashämmare (imatinib och sunitinib).
Analysen av det primära effektmåttet progressionsfri överlevnad (PFS) utfördes efter 144 PFS-händelser (central blindad bedömning). Sekundära effektmått inkluderande tid till progression (TTP) och total överlevnad (OS) (interimsanalys) utvärderades också.
Totalt 199 patienter med GIST randomiserades i ett 2:1-förfarande till 160 mg regorafenib och bästa understödjande behandling (BSC; n=133) oralt en gång dagligen eller matchande placebo och BSC (n=66) i 3 veckor följt av 1 behandlingsfri vecka. Den genomsnittliga dagliga dosen regorafenib var 140 mg.
Patienterna fortsatte med behandlingen tills sjukdomsprogression eller oacceptabel toxicitet. Patienter som fick placebo hos vilka sjukdomen progredierade erbjöds behandling med regorafenib (crossover). Patienter som fick regorafenib hos vilka sjukdomen progredierade och som enligt prövarens uppfattning hade klinisk nytta av behandlingen med regorafenib, erbjöds möjligheten att fortsätta behandling med regorafenib.
Bland de 199 randomiserade patienterna var genomsnittsåldern 58 år, 64 % var män, 68 % var av kaukasisk etnicitet och alla patienter hade ECOG Performance Status (PS) 0 eller 1 vid behandlingsstart. Den totala mediantiden från senaste progression eller recidiv till randomisering var 6 veckor.
Regorafenib och BSC ledde till signifikant längre PFS jämfört med placebo och BSC med en riskkvot på 0,268 [95 % KI 0,185; 0,388] och en median-PFS på 4,8 månader jämfört med 0,9 månader (p<0,000001). Den relativa risken för sjukdomsprogression eller död minskade med cirka 73,2 % hos patienter behandlade med regorafenib jämfört med patienter som fick placebo (se tabell 6, figur 2). Ökningen av PFS var konsekvent oberoende av ålder, kön, geografisk region, tidigare behandling, ECOG performance status.
Tid till Progression (TTP) var signifikant längre hos de patienter som fick regorafenib och BSC än hos de patienter som fick placebo och BSC med en riskkvot på 0,248 [95 % KI 0,170; 0,364], och median-TTP på 5,4 månader jämfört med 0,9 månader (p<0,000001) (se tabell 6).
Riskkvoten för total överlevnad (OS) var 0,772, ((95 % KI, 0,423; 1,408); p=0,199; median- total överlevnad (OS) uppnåddes inte i någon grupp); 85 % av de patienter som initialt randomiserades till placebogruppen bytte till aktiv behandling efter progression (se tabell 6, figur 3).
Tabell 6: Effektresultat från GRID-studien
Effekt-parameter | Riskkvot* (95 % KI) | P-värde (ensidigt) | Median (95% KI) | |
Stivarga plus BSC§ (N=133) | Placebo plus BSC§ (N=66) | |||
PFS | 0,268 (0,185; 0,388) | <0,000001 | 4,8 månader (4,0; 5,7) | 0,9 månader (0,9; 1,1) |
TTP | 0,248 (0,170; 0,364) | <0,000001 | 5,4 månader (4,1; 5,7) | 0,9 månader (0,9; 1,1) |
OS | 0,772 (0,423; 1,408) | 0,199 | NR** | NR** |
§ Bästa understödjande behandling (BSC = Best Supportive Care)
* Riskkvot <1 motsvarar en fördel för Stivarga genetemot placebo
** NR (Not Reached): ej uppnådd
Figur 2: Kaplan-Meier-kurvor för PFS
Figur 3: Kaplan-Meier-kurvor för OS
Dessutom fick 56 patienter behandlade med placebo och BSC öppen behandling med Stivarga efter cross-over till följd av sjukdomsprogression och totalt 41 patienter initialt behandlade med Stivarga och BSC fortsatte behandling med Stivarga efter sjukdomsprogression. Medianvärdet för sekundär PFS (mätt enligt prövarens bedömning) var 5,0 respektive 4,5 månader.
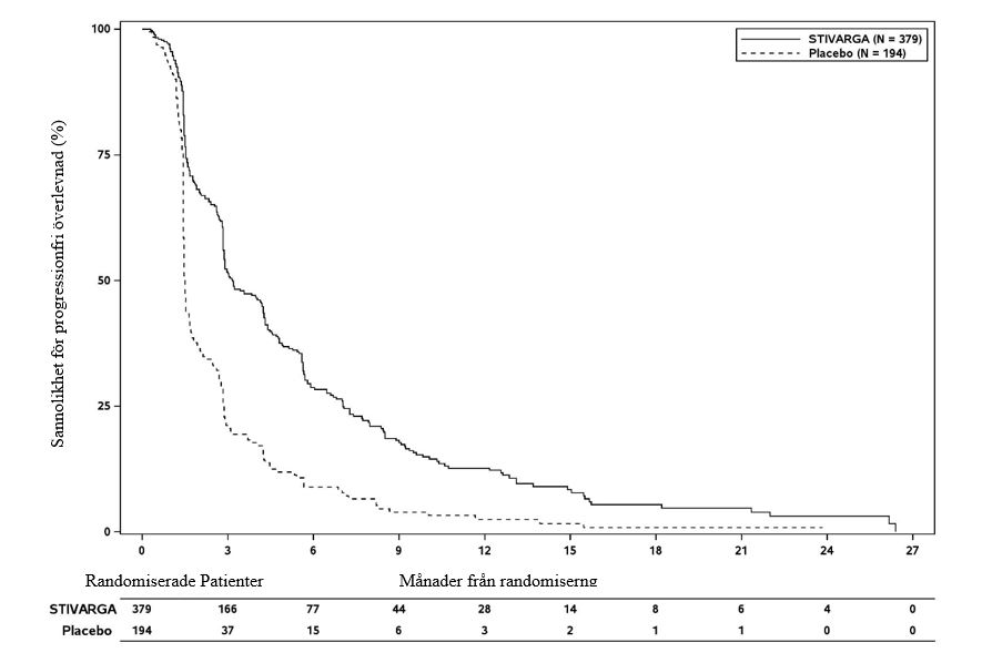
Levercellscancer (HCC)
Den kliniska effekten och säkerheten för Stivarga har utvärderats i en internationell, multicenter, randomiserad, dubbelblind, placebokontrollerad fas III-studie (RESORCE) hos patienter med hepatocellulärt karcinom som tidigare har behandlats med sorafenib.
Det primära effektmåttet var total överlevnad (OS). Sekundära effektmått var progressionsfri överlevnad (PFS), tid till progression (TTP), objektiv tumörsvarsfrekvens (ORR) och sjukdomskontrollfrekvens DCR).
Totalt 573 patienter med HCC randomiserades i ett 2:1-förfarande för att få antingen 160 mg regorafenib samtidigt med bästa understödjande behandling (BSC) (n=379) oralt en gång dagligen, eller matchande placebo och BSC (n=194) i 3 veckor följt av en behandlingsfri vecka. Den genomsnittliga dagliga regorafenibdosen var 144 mg. Patienter som upplevde radiologisk sjukdomsprogression under behandling med sorafenib och som hade en leverfunktionsstatus Child-Pugh klass A var berättigade att delta i studien. Patienter som permanent avbröt behandlingen med sorafenib på grund av sorafenibrelaterad toxicitet eller som tolererade mindre än 400 mg sorafenib dagligen före avbrot,t exkluderades från studien. Randomiseringen utfördes inom 10 veckor efter den sista behandlingen med sorafenib. Patienterna fortsatte behandlingen med Stivarga tills klinisk eller radiologisk sjukdomsprogression eller oacceptabel toxicitet uppträdde. Dock kunde patienterna fortsätta behandlingen med Stivarga efter sjukdomsprogression om prövaren bedömde det lämpligt.
Demografiska egenskaper och sjukdomskarakteristika vid studiestart var jämförbara mellan de Stivarga- och placebobehandlade grupperna och visas nedan för alla 573 randomiserade patienter:
- Medianålder: 63 år
- Män: 88%
- Kaukasisk: 36%, Asiatisk: 41%
- ECOG Performance status (PS) 0: 66% eller ECOG PS på 1: 34%
- Child-Pugh A: 98%, Child-Pugh B: 2%
- Etiologin inkluderade hepatit B (38%), hepatit C (21%), icke alkoholbetingad steatohepatit (NASH, 7%)
- Frånvaro av både makroskopisk vaskulär invasion och extrahepatisk tumörspridning: 19%
- Barcelona Clinic Liver Cancer (BCLC) stadie B: 13%; BCLC stadie C: 87%
- Transarteriell lokoregional embolisering eller kemoembolisering: 61%
- Radioterapi före behandling med regorafenib: 15%
- Mediantid för behandling med sorafenib: 7,8 månader
Tillägget av Stivarga till BSC gav en statistiskt signifikant förbättring av OS jämfört med placebo och BSC med en riskkvot på 0,624 [95% KI 0,498, 0,782], p=0,000017 baserat på ett stratifierat log rank-test och en median OS på 10,6 månader jämfört med 7,8 månader (se tabell 7 och figur 4).
Tabell 7: Effektresultat från RESORCE-studien
Effektparameter | Riskkvot * (95 % KI) | P-värde (ensidigt) | Median (95% KI) | |
Stivarga plus BSC§ (N=379) | Placebo plus BSC§ (N=194) | |||
OS | 0,624 (0,498, 0,782) | 0,000017 | 10,6 månader (9,1, 12,1) | 7,8 månader (6,3, 8,8) |
PFS ** | 0,453 (0,369, 0,555) | <0,000001 | 3,1 månader (2,8, 4,2) | 1,5 månader (1.4, 1,6) |
TTP** | 0,439 (0,355,0,542) | <0,000001 | 3,2 månader (2,9, 4,2) | 1,5 månader (1,4, 1,6) |
Procenttal | ||||
ORR**# | NA | 0,003650 | 11% | 4% |
DCR **# | NA | <0,000001 | 65% | 36% |
§ Bästa understödjande behandling (BSC = Best Supportive Care)
* Riskkvot <1 till fördel för Stivarga
** Baserad på prövarens bedömning av tumörsvarsfrekvens med modifierad RECIST
# Svarsfrekvens (komplett eller partiell respons; DCR (komplett respons, partiell respons och stabil sjukdom i 6 veckor.
Figur 4: Kaplan-Meier-kurvor för OS
Figur 5: Kaplan-Meier-kurvor för PFS (mRECIST)
Pediatrisk population
Europeiska läkemedelsmyndigheten har beviljat undantag från kravet på att skicka in studieresultat för Stivarga för alla grupper av den pediatriska populationen för behandling av adenokarcinom i kolon och rektum (information om pediatrisk användning finns i avsnitt Dosering och administreringssätt).
Europeiska läkemedelsmyndigheten har senarelagt kravet att skicka in studieresultat för Stivarga för en eller flera grupper av den pediatriska populationen för solida maligna tumörer (information om pediatrisk användning finns i avsnitt Dosering och administreringssätt).
Europeiska läkemedelsmyndigheten har beviljat undantag från kravet att skicka in studieresultat för Stivarga för alla grupper av den pediatriska populationen för levercancer (information om pediatrisk användning finns i avsnitt Dosering och administreringssätt).
Farmakokinetiska egenskaper
Absorption
Regorafenib når maximala plasmanivåer på cirka 2,5 mg/l 3 till 4 timmar efter en enstaka per oral dos på 160 mg administrerad som 4 tabletter, om vardera 40 mg. Efter en enstaka dos om 60 eller 100 mg var den genomsnittliga relativa biotillgängligheten för tabletter jämfört med en oral lösning 69 % respektive 83 %.
Koncentrationerna av regorafenib och dess farmakologiskt aktiva huvudmetaboliter (M‑2 och M‑5) var högst vid administrering efter en (lätt) frukost med lite fett jämfört med antingen en frukost med mycket fett eller efter fasta. Exponeringen för regorafenib ökade med 48 % vid administrering med en fettrik frukost och med 36 % vid administrering med en fettfattig frukost jämfört med fasta. Exponeringen för metaboliterna M‑2 (N‑oxid) och M‑5 (N‑oxid och N‑desmetyl) är högre när regorafenib ges med en fettfattig frukost jämfört med fasta och lägre när det ges med en fettrik måltid jämfört med fasta.
Distribution
Plasmakoncentration‑tidsprofiler för regorafenib samt för de cirkulerande huvudmetaboliterna visar flera toppar under doseringsintervallet på 24 timmar, vilket tillskrivs enterohepatisk cirkulation. Proteinbindningen av regorafenib till humana plasmaproteiner är hög in vitro (99,5 %). Proteinbindningen av M‑2 och M‑5 in vitro är högre (99,8 % respektive 99,95 %) än för regorafenib. Metaboliterna M‑2 och M‑5 är svaga substrat för P‑gp. Metaboliten M‑5 är ett svagt BCRP‑substrat.
Biotransformation
Regorafenib metaboliseras primärt i levern via oxidativ metabolism medierad av CYP3A4 samt via glukuronidering medierad av UGT1A9. Två huvudmetaboliter och sex mindre metaboliter för regorafenib har identifierats i plasma. De cirkulerande huvudmetaboliterna för regorafenib i human plasma är M‑2 (N‑oxid) och M‑5 (N‑oxid och N‑desmetyl), som är farmakologiskt aktiva och har liknande koncentrationer som regorafenib vid steady state. M‑2 metaboliseras vidare via oxidativ metabolism medierad av CYP3A4 samt via glukuronidering medierad av UGT1A9.
Metaboliter kan minska eller hydrolyseras i magtarmkanalen av den mikrobiella floran, vilket medger reabsorption av det okonjugerade läkemedlet och de okonjugerade metaboliterna (enterohepatisk cirkulation).
Eliminering
Efter oral administrering är den genomsnittliga elimineringshalveringstiden för regorafenib och dess metabolit M‑2 i plasma mellan 20 till 30 timmar i olika studier. Den genomsnittliga elimineringshalveringstiden för metaboliten M‑5 är cirka 60 timmar (från 40 till 100 timmar).
Cirka 90 % av den radioaktiva dosen återfanns inom 12 dagar efter administrering, med cirka 71 % av dosen utsöndrad i feces (47 % som modersubstans, 24 % som metaboliter) och cirka 19 % av dosen utsöndrad i urin som glukuronider. Vid steady state minskade utsöndringen via urinen till under 10 %. Den modersubstans som ses i feces kan härröra från nedbrytning av glukuronider eller reduktion av metaboliten M‑2 (N‑oxid) samt av ej absorberat regorafenib.
M‑5 kan reduceras till M‑4 i magtarmkanalen av mikrobiell flora, vilket medger återabsorption av M‑4 (enterohepatisk cirkulation). M‑5 utsöndras slutligen via M‑4 som M‑6 (karboxylsyra) i feces.
Linjäritet/icke-linjäritet
Systemisk exponering av regorafenib vid steady‑state ökar proportionellt med dosen för doser upp till 60 mg och mindre än proportionellt vid doser över 60 mg. Ackumulering av regorafenib vid steady state ger en cirka 2‑faldig ökning av plasmakoncentrationen, vilket överensstämmer med elimineringshalveringstiden och doseringsfrekvensen. Vid steady state når regorafenib maximala plasmanivåer på cirka 3,9 mg/l (8,1 mikromolar) efter oral administrering av 160 mg regorafenib och förhållandet mellan högsta och lägsta värde (peak-to –trough ratio) av genomsnittliga plasmakoncentrationer är mindre än 2.
Båda metaboliterna, M‑2 och M‑5, uppvisar icke-linjär ackumulering, vilket kan bero på enterohepatisk återvinning eller mättnad av UGT1A9-vägen. Efter en enkeldos av regorafenib är plasmakoncentrationerna av av M‑2 och M‑5 mycket lägre än för modersubstansen, medan plasmakoncentrationerna av M-2 och M-5 vid steady state är jämförbara med regorafenib.
Nedsatt leverfunktion
Exponeringen av regorafenib och dess metaboliter M‑2 och M‑5 är jämförbar hos patienter med lätt nedsatt leverfunktion (Child‑Pugh A) och patienter med normal leverfunktion.
Begränsade data hos patienter med måttligt nedsatt leverfunktion (Child‑Pugh B) indikerar liknande exponering jämfört med patienter med normal leverfunktion efter en enkel dos på 100 mg dos regorafenib. Det finns inga data för patienter med Child‑Pugh C (gravt nedsatt leverfunktion). Regorafenib elimineras huvudsakligen via levern och exponeringen kan vara högre i denna population.
Nedsatt njurfunktion
Tillgängliga kliniska data och fysiologi-baserad, farmakokinetisk modellering tyder på likartad steady‑state‑exponering av regorafenib och dess metaboliter M‑2 och M‑5 hos patienter med lätt eller måttligt nedsatt njurfunktion jämfört med patienter med normal njurfunktion. Exponering för regorafenib var likartad hos patienter med gravt nedsatt njurfunktion jämfört med patienter med normal njurfunktion medan exponering för M-2 och M-5 minskade med ca 30% i steady-state, vilket inte anses vara relevant.
Farmakokinetiken för regorafenib har inte studerats hos patienter med kronisk njursvikt. Farmakokinetisk, fysiologi-baserad modellering förutser emellertid inte någon relevant förändring i exponeringen hos dessa patienter.
Äldre
Ålder påverkade inte farmakokinetiken för regorafenib för det studerade åldersintervallet (29‑85 år).
Kön
Farmakokinetiken för regorafenib påverkas inte av kön.
Etniska skillnader
Exponeringen av regorafenib i olika asiatiska populationer (kinesisk, japansk, koreansk) ligger inom samma intervall som för vita.
Kardiell elektrofysiologi/QT-förlängning
Ingen QTc‑förlängning observerades efter administrering av 160 mg regorafenib vid steady state i en särskild QT‑studie med manliga och kvinnliga cancerpatienter.
Prekliniska säkerhetsuppgifter
Systemisk toxicitet
Efter upprepad dosering till mus, råtta och hund observerades biverkningar i ett antal organ, primärt i njurar, lever, matsmältningskanal, sköldkörtel, lymfsystemet/haematopoetiska systemet, endokrina systemet, reproduktionssystemet och i huden. En något förhöjd incidens av förtjockning av hjärtats atrioventrikulära klaffar sågs i den 26 veckor långa studien med upprepade doser till råtta. Detta kan bero på acceleration av en åldersrelaterad fysiologisk process. Dessa effekter uppkom vid systemisk exponering inom eller lägre än det intervall som är förväntat vid human exponering (baserat på AUC‑jämförelse).
Förändringar av tänder och skelett och biverkningar i reproduktionssystemet var mer uttalade hos yngre och växande djur liksom hos juvenila råttor och indikerar en potentiell risk för barn och ungdomar.
Reproduktions- och utvecklingstoxicitet
Specifika studier avseende fertilitet har inte utförts. Risken för att regorafenib kan ha negativa effekter på manlig och kvinnlig reproduktion måste dock beaktas baserat på morfologiska förändringar i testiklar, äggstockar och livmoder som observerats efter upprepad dosering till råtta och hund vid exponering som är lägre än den förväntade humana exponeringen (baserat på AUC‑jämförelse). De observerade förändringarna var bara delvis reversibla.
Effekter av regorafenib på intrauterin utveckling sågs hos kanin vid exponering lägre än den förväntade humana exponeringen (baserat på AUC‑jämförelse). De huvudsakliga fynden var missbildningar av urinvägarna, hjärtat, de stora kärlen och skelettet.
Genotoxicitet och karcinogenicitet
Det fanns ingen tecken på genotoxiska effekterav regorafenib, baserat på standardanalyser in vitro och in vivo på mus.
Studier av karcinogen potential för regorafenib har inte utförts.
Miljöriskbedömning (Environmental Risk Assessment ERA)
Studier utförda för att bedöma påverkan på miljön har visat att regorafenib har potential att vara långlivat, bioackumulerande och giftigt för miljön och kan utgöra en risk för ytvatten och sedimentlageret (se avsnitt Särskilda anvisningar för destruktion och övrig hantering).
Farmaceutiska uppgifter
Förteckning över hjälpämnen
Tablettkärna: mikrokristallin cellulosa, kroskarmellosnatrium, magnesiumstearat, povidon (K‑25), kolloidal vattenfri kiseldioxid
Filmdragering: röd järnoxid (E172), gul järnoxid (E172), lecitin (framställt från soja), makrogol 3350, polyvinylalkohol, delvis hydrolyserad, talk, titandioxid (E171)
Hjälpämnen vid känd effekt:
En daglig dos om 160 mg innehåller 2,438 mmol (eller 56,06 mg) natrium (se avsnitt Varningar och försiktighet).
En daglig dos om 160 mg innehåller 1,68 mg lecitin (framställt från soja) (se avsnitt Varningar och försiktighet).
Inkompatibiliteter
Ej relevant.
Hållbarhet
3 år.
När burken har öppnats har läkemedlet visat sig vara stabilt i 7 veckor. Därefter ska läkemedlet kastas.
Särskilda förvaringsanvisningar
Förvaras i originalförpackningen. Fuktkänsligt.
Tillslut burken väl.
Förpackningstyp och innehåll
Markkinoilla olevat pakkaukset
Resepti
STIVARGA tabletti, kalvopäällysteinen
40 mg (L:ei) 3 x 28 kpl (2466,73 €)
PF-selosteen tieto
Vit ogenomskinlig HDPE-burk försluten med skruvlock av PP/PP (polypropen) med försegling och en molekylsikt som torkmedel.
Varje burk innehåller 28 filmdragerade tabletter.
Förpackningsstorlekar
Förpackning med 84 (3 burkar med 28 tabletter) filmdragerade tabletter.
Läkemedlets utseende:
Ljusrosa filmdragerade tabletter, ovala med en längd på 16 mm och en bredd på 7 mm, märkta med ”BAYER” på ena sidan och ”40” på den andra sidan.
Särskilda anvisningar för destruktion och övrig hantering
Torkmedlet ska ligga kvar i burken.
Detta läkemedel kan utgöra en potentiell risk för miljö (se avsnitt Prekliniska säkerhetsuppgifter).
Ej använt läkemedel och avfall ska kasseras enligt gällande anvisningar.
Ersättning
STIVARGA tabletti, kalvopäällysteinen
40 mg 3 x 28 kpl
- Ylempi erityiskorvaus (100 %). Regorafenibi: Hepatosellulaarisen karsinooman hoito, metastasoituneen kolorektaalisyövän hoito, ei-leikattavissa olevan tai metastaattisen ruoansulatuskanavan stroomakasvaimen (GIST) hoito erityisin edellytyksin (176).
- Rajoitettu peruskorvaus lääkärin lausunnolla (40 %). Regorafenibi: Maksasolukarsinooman, metastasoituneen kolorektaalisyövän, ei-leikattavissa olevan tai metastaattisen ruoansulatuskanavan stroomakasvaimen (GIST) hoito erityisin edellytyksin (369).
Atc-kod
L01EX05
Datum för översyn av produktresumén
07.07.2025
Yhteystiedot

Tuulikuja 2, PL 73
02151 Espoo
020 785 21
www.bayer.fi