TAGRISSO filmdragerad tablett 40 mg, 80 mg
Kvalitativ och kvantitativ sammansättning
TAGRISSO 40 mg tabletter
Varje tablett innehåller 40 mg osimertinib (som mesylat).
TAGRISSO 80 mg tabletter
Varje tablett innehåller 80 mg osimertinib (som mesylat).
Hjälpämne med känd effekt
TAGRISSO 40 mg tabletter
Varje tablett innehåller 0,3 mg natrium.
TAGRISSO 80 mg tabletter
Varje tablett innehåller 0,6 mg natrium.
För fullständig förteckning över hjälpämnen, se avsnitt Förteckning över hjälpämnen.
Läkemedelsform
Filmdragerad tablett (tablett).
Kliniska uppgifter
Terapeutiska indikationer
TAGRISSO som monoterapi är indicerat för:
- adjuvant behandling efter fullständig tumörresektion hos vuxna patienter med stadium IB-IIIA icke-småcellig lungcancer (NSCLC) vars tumörer har epidermal tillväxtfaktorreceptor (EGFR) exon 19-deletioner eller exon 21 (L858R) substitutionsmutationer (se avsnitt Farmakodynamiska egenskaper).
behandling av vuxna patienter med lokalt avancerad, icke-resektabel NSCLC vars tumörer har EGFR exon 19-deletioner eller exon 21 (L858R) substitutionsmutationer och vars sjukdom inte har progredierat under eller efter platinabaserad radiokemoterapi.
- första linjens behandling av vuxna patienter med lokalt avancerad eller metastaserad NSCLC vars tumörer har aktiverande EGFR-mutationer.
- behandling av vuxna patienter med lokalt avancerad eller metastaserad EGFR T790M-mutationspositiv NSCLC.
TAGRISSO är indicerat i kombination med:
- pemetrexed och platinabaserad kemoterapi som första linjens behandling av vuxna patienter med avancerad NSCLC vars tumörer har EGFR exon 19-deletioner eller exon 21 (L858R) substitutionsmutationer.
Villkor
Ainoastaan syöpälääkkeiden antoon perehtyneen lääkärin tulee aloittaa hoito.
Dosering och administreringssätt
Behandling med TAGRISSO ska initieras av en läkare som har erfarenhet av cancerbehandling.
Vid övervägande av insättning av TAGRISSO ska EGFR-mutationsstatus (i tumörprover för adjuvant behandling eller för behandling av lokalt avancerade, icke-resektabla tumörer och tumör- eller plasmaprover för lokalt avancerad eller metastaserad sjukdom) vara fastställt genom användning av en validerad testmetod (se avsnitt Varningar och försiktighet).
Dosering
Monoterapi
Den rekommenderade dosen är 80 mg osimertinib en gång om dagen.
Kombinationsterapi
Den rekommenderade dosen är 80 mg osimertinib en gång om dagen när TAGRISSO tas tillsammans med pemetrexed och platinabaserad kemoterapi.
Se produktresumén för pemetrexed och cisplatin eller karboplatin för respektive doseringsinformation.
Patienter med adjuvant behandling ska behandlas fram till återfall av sjukdomen eller oacceptabel toxicitet. Längre behandlingstid än 3 år studerades inte.
Patienter med lokalt avancerad eller metastaserad lungcancer ska behandlas med TAGRISSO fram till sjukdomsprogression eller oacceptabel toxicitet.
Om en TAGRISSO-dos missas ska den tas så snart patienten upptäcker det, såvida det inte är mindre än 12 timmar till nästa dos.
TAGRISSO kan tas med eller utan mat vid samma tidpunkt varje dag.
Dosjusteringar
Dosjustering i form av dosuppehåll och/eller reducerad dos kan bli aktuellt baserat på patientens individuella säkerhet och tolerabilitet. Om en dosreduktion är nödvändig ska dosen reduceras till 40 mg en gång om dagen.
Rekommendationer för dosreduktion vid biverkningar anges i Tabell 1.
Tabell 1. Rekommenderade dosjusteringar för TAGRISSO
Målorgan | Biverkninga | Dosmodifiering |
---|---|---|
Lungab | ILD/pneumonitc | Permanent utsättning av TAGRISSO |
Strålningspneumonit av grad 1
| Överväg att sätta ut eller fortsätta behandlingen med TAGRISSO, beroende på vad som är kliniskt indicerat | |
Strålningspneumonit av grad 2
| Utsättning av TAGRISSO tills symtomen försvinner. Behandlingen med TAGRISSO kan återupptas. Permanent utsättning om symtomen inte försvinner efter 4 veckor eller om strålningspneumonit av grad 2 återkommer | |
Strålningspneumonit av grad 3 eller 4 | Permanent utsättning av TAGRISSO | |
Hjärtab | QTc-intervall större än 500 ms vid minst två separata EKG | Utsättning av TAGRISSO tills QTc-intervallet är mindre än 481 ms eller en återgång till utgångsvärdet om utgångsvärdet på QTc är större än eller lika med 481 ms, och återta sedan behandlingen med en reducerad dos (40 mg) |
Förlängning av QTc-intervall med tecken/symtom på allvarlig arytmi | Permanent utsättning av TAGRISSO | |
Hudb | Stevens–Johnsons syndrom och toxisk epidermal nekrolys | Permanent utsättning av TAGRISSO |
Blod och lymfsystemb | Aplastisk anemi | Permanent utsättning av TAGRISSO |
Övrigt | Biverkning av grad 3 eller högre | Utsättning av TAGRISSO i upp till tre veckor |
Om en biverkning av grad 3 eller högre förbättras till grad 0‑2 efter utsättning av TAGRISSO i upp till tre veckor | Behandlingen med TAGRISSO kan återupptas vid samma dos (80 mg) eller vid en lägre dos (40 mg) | |
Om en biverkning av grad 3 eller högre inte förbättras till grad 0‑2 efter utsättning av TAGRISSO i upp till tre veckor | Permanent utsättning av TAGRISSO |
a Obs! Intensiteten av kliniska biverkningar graderas enligt ”Common Terminology Criteria for Adverse Events” (CTCAE) version 5.0 från National Cancer Institute (NCI).
b Se avsnitt Varningar och försiktighet.
c ILD/pneumonit inklusive ILD/pneumonit efter definitiv platinabaserad radiokemoterapi.
EKG: Elektrokardiogram, QTc: korrigerad QT-tid.
Kombinationsterapi
När TAGRISSO används i kombination ska de respektive behandlingskomponenterna dosjusteras vid behov. För anvisning om dosjustering av TAGRISSO, se tabell 1. Dosen av pemetrexed, cisplatin eller karboplatin dosjusteras i enlighet med anvisningarna i respektive produktresumé. Cisplatin och/eller karboplatin ges i upp till 4 cykler.
Särskilda populationer
Ingen dosjustering är nödvändig på grund av patientens ålder, kroppsvikt, kön, etnicitet eller rökningsstatus (se avsnitt Farmakokinetiska egenskaper).
Nedsatt leverfunktion
Baserat på kliniska studier behövs inga dosjusteringar göras för patienter med lindrigt (Child-Pugh A) eller måttligt (Child-Pugh B) nedsatt leverfunktion. På likartat sätt, baserat på populationsfarmakokinetisk analys, rekommenderas ingen dosjustering för patienter med lindrigt nedsatt leverfunktion (totalt bilirubin ≤ övre gränsen för normalt [ULN] och aspartataminotransferas [ASAT] > ULN eller totalt bilirubin > 1 till 1,5 gånger ULN oavsett ASAT) eller måttligt nedsatt leverfunktion (totalt bilirubin mellan 1,5 till 3 gånger ULN oavsett ASAT). Säkerhet och effekt för detta läkemedel har inte fastställts hos patienter med svårt nedsatt leverfunktion. Tills ytterligare data blir tillgängliga rekommenderas inte användning av TAGRISSO hos patienter med svårt nedsatt leverfunktion (se avsnitt Farmakokinetiska egenskaper).
Nedsatt njurfunktion
Baserat på kliniska studier och populationsbaserad farmakokinetisk analys är inga dosjusteringar nödvändiga för patienter med lindrigt, måttligt eller svårt nedsatt njurfunktion. Säkerhet och effekt för detta läkemedel har inte fastställts hos patienter med terminal njursvikt [kreatininclearance [CLcr] mindre än 15 ml/min, beräknat enligt Cockcroft and Gault-ekvationen] eller som behandlas med dialys. Försiktighet ska iakttas vid behandling av patienter med svårt nedsatt njurfunktion eller njursjukdom i slutstadiet (se avsnitt Farmakokinetiska egenskaper).
Pediatrisk population
Säkerhet och effekt för TAGRISSO för barn eller ungdomar under 18 års ålder har ännu inte fastställts. Inga data finns tillgängliga.
Administreringssätt
Detta läkemedel är avsett för oral användning. Tabletten ska sväljas hel med vatten och den ska inte krossas, delas eller tuggas.
Om patienten inte kan svälja tabletten, kan tabletten först lösas upp i 50 ml icke kolsyrat vatten. Den ska släppas ner i vattnet, utan att krossas, röras tills den löses upp och sväljas omedelbart. Ytterligare ett halvt glas vatten ska tillsättas för att säkerställa att inga läkemedelsrester finns kvar i glaset och därefter omedelbart sväljas. Inga andra vätskor får tillsättas.
Om administrering via ventrikelsond är nödvändig ska samma process som ovan följas, men med 15 ml vatten till den första upplösningen och 15 ml vatten för sköljning av rester. Totalt ska 30 ml vätska administreras enligt anvisningarna från ventrikelsondens tillverkare, inklusive vattensköljningar. Den upplösta tabletten och icke upplösta rester ska administreras inom 30 minuter efter att tabletterna släpptes ned i vattnet.
Kontraindikationer
Överkänslighet mot den aktiva substansen eller mot något hjälpämne som anges i avsnitt Förteckning över hjälpämnen.
Johannesört ska inte användas tillsammans med TAGRISSO (se avsnitt Interaktioner).
Varningar och försiktighet
Utvärdering av EGFR-mutationsstatus
Om användning av TAGRISSO som adjuvant behandling efter fullständig tumörresektion hos patienter med NSCLC övervägs, indicerar positiv EGFR-mutationsstatus (exon 19-deletioner [Ex19del] eller exon 21 L858R substitutionsmutationer [L858R]) lämplighet för behandling. Ett validerat test ska utföras i ett kliniskt laboratorium med användning av DNA från tumörvävnad från biopsi eller kirurgiskt prov.
Om användning av TAGRISSO övervägs hos patienter med lokalt avancerad, icke-resektabel NSCLC vars sjukdom inte har progredierat under eller efter platinabaserad radiokemoterapi, indicerar positiv EGFR-mutationsstatus (exon 19-deletioner eller exon 21 [L858R] substitutionsmutationer) lämplighet för behandling. Ett validerat test ska utföras i ett kliniskt laboratorium med användning av DNA från tumörvävnad från biopsi.
Vid övervägande om att använda TAGRISSO för behandling av lokalt avancerad eller metastaserad NSCLC är det viktigt att ett positivt EGFR-mutationsstatus är fastställt. Ett validerat mutationstest ska utföras på antingen tumör-DNA från ett vävnadsprov eller från cirkulerande tumör-DNA (ctDNA) från ett plasmaprov.
Positiv bestämning av EGFR-mutationsstatus (aktivering av EGFR-mutationer för första linjens behandling, exon 19-deletioner eller exon 21 (L858R) substitutionsmutationer när TAGRISSO ges i kombination med pemetrexed och platinabaserad kemoterapi som första linjens behandling, eller T790M-mutationer efter progression under eller efter EGFR TKI-behandling) via antingen ett vävnadsbaserat eller ett plasmabaserat test, indicerar lämplighet för behandling med TAGRISSO. Om ett plasmabaserat ctDNA-test används och resultatet är negativt rekommenderas dock, om möjligt, uppföljande analys med vävnadsprov på grund av potentialen för falska negativa resultat vid användning av ett plasmabaserat test.
Endast robusta, pålitliga och känsliga tester med påvisad tillämplighet för fastställandet av EGFR-mutationsstatus ska användas.
Interstitiell lungsjukdom (ILD)
Allvarlig, livshotande eller dödlig ILD eller ILD-liknande biverkningar (t.ex. pneumonit) har observerats hos patienter som behandlats med TAGRISSO i kliniska studier, inklusive TAGRISSO efter definitiv platinabaserad radiokemoterapi. De flesta fallen förbättrades eller gick helt tillbaka vid avbruten behandling. Patienter med en tidigare anamnes av ILD, läkemedelsinducerad ILD, strålningspneumonit som krävde steroidbehandling eller tecken på kliniskt aktiv ILD var exkluderade från de kliniska studierna (se avsnitt Biverkningar).
Noggrann bedömning av alla patienter med akut eller oförklarlig försämring av lungsymtom (dyspné, hosta, feber) bör göras för att utesluta ILD. Behandling med detta läkemedel bör avbrytas medan dessa symtom undersöks. Om ILD diagnostiseras ska TAGRISSO utsättas och lämplig behandling inledas enligt behov. Återinsättning av TAGRISSO bör övervägas endast efter noggrann nytta/risk-bedömning för den enskilde patienten.
Strålningspneumonit
Strålningspneumonit observeras vanligen i upp till ett år efter att patienterna fått strålbehandling till lungorna. För anvisning om dosjustering av TAGRISSO vid strålningspneumonit efter definitiv platinabaserad radiokemoterapi, se avsnitt Dosering och administreringssätt.
Svåra kutana biverkningar (SCAR)
Stevens-Johnsons syndrom (SJS) har rapporterats med frekvensen sällsynta och toxisk epidermal nekrolys (TEN) med ingen känd frekvens i samband med behandling med TAGRISSO. Innan behandling påbörjas ska patienten informeras om tecken och symtom på SJS och TEN. Om tecken och symtom som tyder på SJS eller TEN uppkommer bör TAGRISSO avbrytas. TAGRISSO ska sättas ut omedelbart, om SJS eller TEN diagnosticeras.
Förlängning av QTc-intervall
Förlängning av QTc-intervall inträffar hos patienter som behandlas med TAGRISSO. Förlängning av QTc-intervall kan leda till en ökad risk för ventrikulära takyarytmier (t.ex. torsade de pointes) eller plötslig död. Inga QTc-relaterade arytmier rapporterades i ADAURA-, LAURA-, FLAURA-, FLAURA2- eller AURA-studierna (se avsnitt Biverkningar). Patienter med kliniskt betydelsefulla abnormiteter i rytm och retledningssystem uppmätt vid EKG i vila (t.ex. QTc-intervall större än 470 ms) exkluderades från dessa studier (se avsnitt Biverkningar).
Om möjligt ska användning av TAGRISSO undvikas hos patienter med kongenitalt långt QT-syndrom. Periodisk övervakning med elektrokardiogram (EKG) och elektrolyter ska övervägas hos patienter med kronisk hjärtsvikt, elektrolytabnormiteter eller hos patienter som tar läkemedel som dokumenterat förlänger QTc-intervallet. Behandlingen bör sättas ut hos patienter som utvecklar ett QTc-intervall som är större än 500 ms på minst två separata EKG tills QTc-intervallet är mindre än 481 ms eller återgår till utgångsvärdet om QTc-intervallet är större än eller lika med 481 ms. Återuppta sedan TAGRISSO-behandlingen med en reducerad dos enligt anvisningarna i Tabell 1. TAGRISSO ska sättas ut permanent hos patienter som utvecklar förlängning av QTc-intervall i kombination med något av följande: torsade de pointes, polymorf ventrikeltakykardi eller tecken/symtom på allvarlig arytmi.
Förändringar i hjärtats kontraktilitet
Under kliniska studier uppkom sänkningar av vänsterkammarens ejektionsfraktion (LVEF) som var större än eller lika med 10 procentenheter, sänkning till mindre än 50 % uppkom hos 4,2 % (65/1 557) av patienterna som behandlades med TAGRISSO som monoterapi och som hade fått en LVEF-bedömning vid utgångsläget och minst en uppföljning. För patienter med hjärtriskfaktorer och de med tillstånd som kan påverka LVEF, bör man överväga hjärtövervakning, inklusive en bedömning av LVEF vid utgångsläget och under behandling. För patienter som utvecklar relevanta hjärttecken/symtom under behandling, bör man överväga hjärtövervakning inklusive LVEF-bedömning. I en adjuvant placebo kontrollerad studie (ADAURA), fick 1,5 % (5/325) av patienterna som behandlades med TAGRISSO och 1,5 % (5/331) av patienterna som behandlades med placebo sänkningar av LVEF som var större än eller lika med 10 procentenheter och en sänkning till mindre än 50 %. I LAURA-studien, efter platinabaserad radiokemoterapi, fick 3,0 % (4/135) av patienterna som behandlades med TAGRISSO och inga patienter som behandlades med placebo, och som hade fått en LVEF-bedömning både vid och efter utgångsläget, sänkningar av LVEF som var större än eller lika med 10 procentenheter och en sänkning till mindre än 50 %. I FLAURA2-studien fick 8,0 % (21/262) av patienterna som behandlades med TAGRISSO i kombination med pemetrexed och platinabaserad kemoterapi och som hade fått en LVEF-bedömning vid utgångsläget och vid minst en uppföljning, en minskning av LVEF som var större än eller lika med 10 procentenheter och en sänkning till mindre än 50 %.
Hornhinneinflammation (keratit)
Hornhinneinflammation (keratit) rapporterades hos 0,6 % (n=11) av de 1 956 patienterna som behandlades med TAGRISSO som monoterapi i ADAURA-, FLAURA-, FLAURA2-, LAURA- och AURA-studierna. Patienter med tecken och symtom som tyder på hornhinneinflammation (keratit), t.ex. akut eller förvärrad: ögoninflammation, tårflöde, ljuskänslighet, dimsyn, ögonsmärta och/eller röda ögon bör genast remitteras till en ögonspecialist (se avsnitt Dosering och administreringssätt, tabell 1).
Aplastisk anemi
Sällsynta fall av aplastisk anemi, inklusive dödsfall, har rapporterats i samband med behandling med TAGRISSO. Innan behandlingen påbörjas ska patienten informeras om tecken och symtom på aplastisk anemi inklusive, men inte begränsat till, ihållande feber, blåmärken, blödning, blekhet, infektion och trötthet. Om tecken och symtom som tyder på aplastisk anemi utvecklas ska noggrann övervakning av patienten och avbrytande eller utsättning av TAGRISSO övervägas. Vid bekräftad aplastisk anemi ska TAGRISSO sättas ut (se avsnitt Dosering och administreringssätt).
Ålder och kroppsvikt
Äldre patienter (> 65 år) eller patienter med låg kroppsvikt (< 50 kg) kan ha större risk att utveckla biverkningar av grad 3 eller högre. Nära övervakning rekommenderas hos dessa patienter (se avsnitt Biverkningar).
Natrium
Detta läkemedel innehåller mindre än 1 mmol natrium (23 mg) per tablett, dvs. är näst intill ”natriumfritt”
Interaktioner
Farmakokinetiska interaktioner
Starka CYP3A4‑inducerare kan minska exponeringen av osimertinib. Osimertinib kan öka exponeringen av bröstcancerresistent protein (BCRP) och P-glykoprotein (P-gp)-substrat.
Aktiva ämnen som kan öka osimertinibkoncentrationen i plasma
In vitro-studier har visat att fas I-metabolismen av osimertinib huvudsakligen sker via CYP3A4 och CYP3A5. I en klinisk farmakokinetisk studie med patienter visade samadministrering med 200 mg itrakonazol (en stark CYP3A4-hämmare) två gånger om dagen ingen kliniskt signifikant effekt på exponeringen av osimertinib (området under kurvan [AUC] ökade med 24 % och Cmax minskade med 20 %). Därför är det inte troligt att CYP3A4‑hämmare påverkar exponeringen av osimertinib. Ytterligare katalyserande enzymer har inte identifierats.
Aktiva ämnen som kan minska osimertinibkoncentrationerna i plasma
I en klinisk farmakokinetisk studie med patienter reducerades AUC vid steady-state för osimertinib med 78 % vid samadministrering med rifampicin (600 mg dagligen i 21 dagar). På liknande sätt minskade exponeringen för metaboliten AZ5104 med 82 % för AUC och med 78 % för Cmax. Rekommendationen är att samtidig användning av starka CYP3A-inducerare (t.ex. fenytoin, rifampicin och karbamazepin) och TAGRISSO bör undvikas. Måttliga CYP3A4-inducerare (t.ex. bosentan, efavirenz, etravirin, modafinil) kan också minska exponeringen för osimertinib och ska användas med försiktighet eller undvikas när så är möjligt. Det finns inga kliniska data tillgängliga för att rekommendera en dosjustering av TAGRISSO. Samtidig användning av johannesört är kontraindicerad (se avsnitt Kontraindikationer).
Effekt av magsyrereducerande aktiva ämnen på osimertinib
I en klinisk farmakokinetisk studie resulterade samadministrering av omeprazol inte i kliniskt relevanta förändringar i osimertinibexponeringar. Medel som påverkar magsäckens pH kan användas samtidigt med TAGRISSO utan några restriktioner.
Aktiva ämnen vars plasmakoncentrationer kan ändras av TAGRISSO
Baserat på in vitro-studier är osimertinib en kompetitiv hämmare av BCRP-transportörer.
I en klinisk farmakokinetisk studie visade samadministrering av TAGRISSO och rosuvastatin (känsligt BCRP-substrat) att AUC och Cmax för rosuvastatin ökade med 35 % respektive 72 %. Patienter under behandling med TAGRISSO som samtidigt intar läkemedel vars fördelning är beroende av BCRP och som uppvisar ett smalt terapeutiskt index bör övervakas noga avseende tecken på ändrad tolerabilitet för det samtidigt administrerade läkemedlet som ett resultat av ökad exponering under behandlingstiden med TAGRISSO (se avsnitt Farmakokinetiska egenskaper).
I en klinisk farmakokinetisk studie med samadministrering av TAGRISSO och simvastatin (känsligt CYP3A4-substrat) minskade AUC och Cmax för simvastatin med 9 % respektive 23 %. Dessa förändringar är små och troligtvis utan klinisk signifikans. Sannolikheten för kliniska farmakokinetiska interaktioner med CYP3A4-substrat är låg. En risk för minskad exponering för hormonella preventivmedel kan inte uteslutas.
I en klinisk pregnane X receptor (PXR) interaktionsstudie med samadministrering av TAGRISSO och fexofenadin (P-gp substrat) ökade AUC och Cmax för fexofenadin med 56 % (90 % KI 35, 79) och 76 % (90 % KI 49, 108) efter en singeldos och 27 % (90 % KI 11, 46) och 25 % (90 % KI 6, 48) vid steady state. Patienter som samtidigt tar läkemedel med disposition beroende av P-gp och med smalt terapeutisk index (t.ex. digoxin, dabigatran, aliskiren) bör noggrant övervakas för tecken på förändrad tolerans som en följd av ökad exponering vid samtidig behandling med TAGRISSO (se avsnitt Farmakokinetiska egenskaper).
Fertilitet, graviditet och amning
Fertila kvinnor/preventivmedel för män och kvinnor
Fertila kvinnor ska uppmanas att undvika graviditet medan de står på behandling med TAGRISSO. Patienter ska uppmanas att använda effektiva preventivmedel under följande perioder efter avslutad behandling med detta läkemedel: minst två månader för kvinnor och fyra månader för män. En risk för minskad exponering för hormonella preventivmedel kan inte uteslutas.
Graviditet
Det finns inga eller begränsad mängd data från användningen av osimertinib hos gravida kvinnor. Data från djurstudier har visat reproduktionstoxikologiska effekter (embryoletalitet, minskad fostertillväxt och neonatal död, se avsnitt Prekliniska säkerhetsuppgifter). Baserat på dess verkningsmekanism och prekliniska data kan osimertinib orsaka skada på fostret när det ges till en gravid kvinna. TAGRISSO bör inte användas under graviditet om inte kvinnans kliniska tillstånd kräver behandling med osimertinib.
Amning
Det är okänt om osimertinib/metaboliter utsöndras i bröstmjölk. Det finns inte tillräckligt med information om osimertinib/metaboliter utsöndras i mjölk från djur. Osimertinib och dess metaboliter upptäcktes dock i diande valpar och det sågs en dålig tillväxt hos valparna och en försämring av valparnas överlevnad (se avsnitt Prekliniska säkerhetsuppgifter). En risk för det nyfödda barnet/spädbarnet kan inte uteslutas. Amning ska avbrytas under behandling med TAGRISSO.
Fertilitet
Det finns inga data om hur TAGRISSO påverkar fertilitet hos människa. Resultat från djurstudier har visat att osimertinib kan påverka hanars och honors reproduktionsorgan och kan försämra fertiliteten (se avsnitt Prekliniska säkerhetsuppgifter).
Effekter på förmågan att framföra fordon och använda maskiner
TAGRISSO har ingen eller försumbar effekt på förmågan att framföra fordon och använda maskiner.
Biverkningar
Sammanfattning av säkerhetsprofilen
Studier av EGFR-mutationspositiva NSCLC-patienter
Säkerheten för TAGRISSO som monoterapi baseras på sammanslagna data från 1 956 patienter med EGFR-mutationspositiv icke-småcellig lungcancer. Dessa patienter fick TAGRISSO 80 mg dagligen i fem randomiserade fas 3‑studier (ADAURA, adjuvant; FLAURA och FLAURA2 (monoterapiarm) första linjen; LAURA (efter platinabaserad radiokemoterapi) samt AURA3, endast andra linjen), i två fas 2-singelarmsstudier (AURAex och AURA2, andra linjen eller senare) och i en fas 1‑studie (AURA1, första linjen eller senare) (se avsnitt Farmakodynamiska egenskaper). De flesta biverkningarna var av grad 1 eller 2. De vanligaste observerade biverkningarna hos patienter som fått TAGRISSO var diarré (46 %), hudutslag (45 %), paronyki (33 %), torr hud (31 %) och stomatit (23 %). Biverkningar av grad 3 och grad 4 som observerades i studierna var 11 % respektive 0,2 %. Hos patienter som behandlades med TAGRISSO 80 mg en gång om dagen gjordes dosreduceringar på grund av biverkningar hos 3,4 % av patienterna. Utsättningen på grund av biverkningar var 5,5 %.
Säkerheten för TAGRISSO givet i kombination med pemetrexed och platinabaserad kemoterapi baseras på data från 276 patienter med EGFR-mutationspositiv NSCLC och stämde överens med säkerheten för TAGRISSO som monoterapi samt med kända säkerhetsprofiler för pemetrexed och platinabaserad kemoterapi. De vanligast rapporterade biverkningarna när TAGRISSO gavs i kombination med pemetrexed och platinabaserad kemoterapi var hudutslag (49 %), diarré (43 %), minskad aptit (31 %), stomatit (31 %), paronyki (27 %) och torr hud (24 %). Vid administrering av TAGRISSO som kombinationsbehandling, se produktresumén för respektive behandlingskomponent innan behandlingen påbörjas.
Patienter med en anamnes av ILD, läkemedelsinducerad ILD, strålningspneumonit som krävde steroidbehandling, eller evidens för kliniskt aktiv ILD exkluderades från kliniska studier. Patienter med kliniskt viktiga avvikelser i rytm och överledning, uppmätt med vilo-EKG (elektrokardiogram) (t.ex. QTc-intervall som översteg 470 ms) exkluderades från dessa studier. Patienter utvärderades avseende LVEF vid screening och därefter var tolfte vecka.
Tabellista med biverkningar
Om möjligt har biverkningarna delats in i frekvenskategorierna i tabell 2 baserat på incidensen av jämförbara biverkningsrapporter i en poolad datauppsättning från de 1 956 EGFR-mutationspositiva NSCLC-patienterna som fått TAGRISSO som monoterapi om 80 mg dagligen i studierna ADAURA, FLAURA, FLAURA2, LAURA, AURA3, AURAex, AURA2 och AURA1 och från de 276 patienter som behandlades med TAGRISSO i kombination med pemetrexed och platinabaserad kemoterapi i FLAURA2-studien.
Biverkningar är listade enligt organklass i MedDRA. Inom varje organklass rangordnas de läkemedelsrelaterade biverkningarna efter frekvens, med de vanligast förekommande biverkningarna först. Inom varje frekvensgrupp presenteras de läkemedelsrelaterade biverkningarna i ordningsföljd efter minskande allvarlighetsgrad. Dessutom baseras motsvarande frekvenskategori för varje biverkning på CIOMS III-konventionen och definieras som: mycket vanliga (≥ 1/10); vanliga (≥ 1/100, < 1/10); mindre vanliga (≥ 1/1 000, < 1/100); sällsynta (≥ 1/10 000, < 1/1 000); mycket sällsynta (< 1/10 000); ingen känd frekvens (kan inte beräknas från tillgängliga data).
Tabell 2. Biverkningar som rapporterats i ADAURA-, LAURA-, FLAURA-, FLAURA2- och AURA-studier
MedDRA-organklass och MedDRA-term | TAGRISSOa | TAGRISSO med pemetrexed och platinabaserad kemoterapib | ||
---|---|---|---|---|
CIOMS-beskrivning/ total frekvens (alla CTCAE-grader)c | Frekvens för CTCAE-grad 3 eller högrec | CIOMS-beskrivning/ total frekvens (alla CTCAE-grader)c | Frekvens för CTCAE-grad 3 eller högrec | |
Blodet och lymfsystemet | ||||
Aplastisk anemi | Sällsynta (0,05 %) | 0,05 % | 0 % | 0 % |
Trombocytopeni | Vanliga (7 %) | 0,6 % | Mycket vanliga (18,5 %) | 6,9 % |
Neutropeni | Vanliga (6 %) | 0,9 % | Mycket vanliga (24,6 %) | 13,4 % |
Leukopeni | Vanliga (5 %) | 0,4 % | Mycket vanliga (12,7 %) | 2,9 % |
Lymfopeni | Vanliga (1,6 %) | 0,3 % | Vanliga (2,5 %) | 1,1 % |
Metabolism och nutrition | ||||
Minskad aptit | Mycket vanliga (19 %) | 1,1 % | Mycket vanliga (31 %) | 2,9 % |
Ögon | ||||
Keratitd | Mindre vanliga (0,6 %) | 0,05 % | Mindre vanliga (0,7 %) | 0 % |
Hjärtat | ||||
Hjärtsvikt | Mindre vanliga (0,5 %) | 0,2 % | Vanliga (1,8 %) | 1,1 %e |
Andningsvägar, bröstkorg och mediastinum | ||||
Epistaxis | Vanliga (6 %) | 0 % | Vanliga (7 %) | 0,4 % |
Interstitiell lungsjukdom | Vanliga (4,3 %)f | 1,4 %g | Vanliga (3,3 %)h | 0,7 %i |
Strålnings-pneumonitj | Vanliga (4 %) | 0,2 % | 0 % | 0 % |
Magtarmkanalen | ||||
Diarré | Mycket vanliga (46 %) | 1,5 % | Mycket vanliga (43 %) | 2,9 % |
Stomatitk | Mycket vanliga (23 %) | 0,4 % | Mycket vanliga (31 %) | 0,4 % |
Hud och subkutan vävnad | ||||
Utslagl | Mycket vanliga (45 %) | 0,8 % | Mycket vanliga (49 %) | 2,5 % |
Paronykim | Mycket vanliga (33 %) | 0,4 % | Mycket vanliga (27 %) | 0,7 % |
Torr hudn | Mycket vanliga (31 %) | 0,2 % | Mycket vanliga (24 %) | 0 % |
Prurituso | Mycket vanliga (17 %) | 0,05 % | Vanliga (8 %) | 0 % |
Alopeci | Vanliga (5 %) | 0 % | Vanliga (9 %) | 0 % |
Palmar-plantar erytrodysestesi-syndrom | Vanliga (1,9 %) | 0 % | Vanliga (5 %) | 0 % |
Urtikaria | Vanliga (1,9 %) | 0,1 % | Vanliga (1,4 %) | 0,4 % |
Hyperpigmentering av hudenp | Mindre vanliga (0,9 %) | 0 % | Vanliga (2,5 %) | 0 % |
Erythema multiformeq | Mindre vanliga (0,3 %) | 0 % | Vanliga (1,4 %) | 0,7 % |
Kutan vaskulitr | Mindre vanliga (0,2 %) | 0 % | 0 % | |
Stevens–Johnsons syndroms | Sällsynta (0,02 %)
| 0 % | 0 % | |
Toxisk epidermal nekrolyst | Ingen känd frekvens | 0 % | 0 % | |
Undersökningar och provtagningar | ||||
Sänkning av vänsterkammarens ejektionsfraktionu,v | Vanliga (4,1 %) | Vanliga (8,0 %) | ||
Ökat kreatinkinas i blodet | Vanliga (2 %) | 0,4 % | Vanliga (3,3 %) | 1,1 % |
Förlängt QTc-intervallw | Vanliga (1,1 %) | Vanliga (1,8 %) | ||
Undersökningar och provtagningar (fynd baserade på testresultat presenterade som CTCAE-gradskiftningar) | ||||
Minskat antal leukocyteru | Mycket vanliga (65 %) | 1,9 % | Mycket vanliga (88 %) | 20 % |
Minskat antal lymfocyteru | Mycket vanliga (64 %) | 8 % | Mycket vanliga (78 %) | 16 % |
Minskat antal trombocyteru | Mycket vanliga (53 %) | 1,3 % | Mycket vanliga (85 %) | 16 % |
Minskat antal neutrofileru | Mycket vanliga (36 %) | 4,0 % | Mycket vanliga (85 %) | 36 % |
Ökat blodkreatinin | Vanliga (5,6 %) | 0,05 % | Mycket vanliga (22 %) | 0,4 % |
Muskuloskeletala systemet och bindväv | ||||
Myosit | Mindre vanliga (0,2 %) | 0 % | 0 % | 0 % |
a Data är poolade från ADAURA-, FLAURA-, FLAURA2- (monoterapiarm), LAURA- och AURA-studier (AURA3, AURAex, AURA2 och AURA1). Endast biverkningar hos patienter som erhållit minst en dos av TAGRISSO som randomiserad behandling inkluderas.
b Data kommer från kombinationsarmen i FLAURA2-studien. Endast biverkningar hos patienter som erhållit minst en dos av studiebehandlingen (TAGRISSO, pemetrexed, cisplatin eller karboplatin) som randomiserad behandling inkluderas. Mediantiden för studiebehandlingen var 22,3 månader för patienterna i armen som fick TAGRISSO med pemetrexed och platinabaserad kemoterapi.
c National Cancer Institute ”Common Terminology Criteria for Adverse Events” (CTCAE), version 5.0.
d Innefattar: korneal epiteldefekt, korneal erosion, hornhinneinflammation (keratit), punktat hornhinneinflammation (keratit).
e Två CTCAE-fall av grad 5 (dödlig) rapporterades.
f Innefattar: interstitiell lungsjukdom (1,8 %), pneumonit (2,2 %), lungfibros (0,2 %), organiserande pneumoni (0,1 %).
g Åtta CTCAE-fall av grad 5 (dödlig) rapporterades.
h Innefattar: interstitiell lungsjukdom (1,8 %), pneumonit (1,1 %), organiserande pneumoni (0,4 %).
i Ett CTCAE-fall av grad 5 (dödlig) rapporterades.
j Innefattar: strålfibros i lunga (0,05 %).
k Innefattar: munsår, stomatit.
l Innefattar: akne, dermatit, akneliknande dermatit, läkemedelsutslag, erytem, follikulit, pustel, utslag, erytematösa utslag, follikulära utslag, makulära utslag, makulopapulösa utslag, papulösa utslag, pustulösa utslag, utslag med klåda, vesikulära utslag och huderosion.
m Innefattar: nagelbäddssjukdom, nagelbäddsinfektion, nagelbäddsinflammation, nagelmissfärgning, nagelsjukdom, nageldystrofi, nagelinfektion, nagelpigmentering, nagelränder, nageltoxicitet, onykalgi, onykoklas, onykolys, nagelavlossning, onykomalaci och paronyki.
n Innefattar: torr hud, eksem, hudsprickor, xeroderma och xeros.
o Innefattar: pruritus i ögonlocket och pruritus.
p Fall av erythema dyschromicum perstans har rapporterats efter marknadsföring.
q Erythema multiforme rapporterades hos sex av de 1 956 patienterna i ADAURA-, FLAURA-, FLAURA2- (monoterapiarm), LAURA- och AURA-studierna. Erythema multiforme har även rapporterats efter godkännande, bl a 7 fall i en övervakningsstudie utförd efter godkännande (N=3 578).
rUppskattad frekvens. Den övre gränsen för 95 % KI för punktuppskattningen är 3/1 956 (0,4 %).
s En händelse rapporterades i en studie efter godkännande, och frekvensen har beräknats från ADAURA-, FLAURA-, FLAURA2- (monoterapiarm), LAURA- och AURA-studierna och studien efter godkännande (N=5 534).
t Rapporterats under användning efter godkännande.
u Representerar förekomsten baserat på laboratoriefynd, inte på rapporterade biverkningar.
v Representerar sänkningar större än eller lika med 10 procentenheter och en sänkning till mindre än 50 %.
w Representerar förekomsten av patienter som hade en QTcF-förlängning >500 ms.
Beskrivning av utvalda biverkningar
Interstitiell lungsjukdom (ILD)
I ADAURA-, FLAURA-, FLAURA2- (monoterapiarm), AURA- och LAURA-studierna rapporterades ILD eller ILD-liknande biverkningar hos 4,3 % av de 1 956 patienterna. Åtta fall med dödlig utgång rapporterades. Inga fall med dödlig utgång rapporterades i gruppen med adjuvant behandling. Förekomsten av ILD var 10,4 % hos patienter av japansk etnicitet, 2,8 % hos patienter av icke-japansk asiatisk etnicitet och 3,2 % hos icke-asiatiska patienter. Mediantiden från första dos till debut av ILD eller ILD-liknande biverkningar var 85 dagar (se avsnitt Varningar och försiktighet).
ILD eller ILD-liknande biverkningar rapporterades hos 7,7 % och var dödliga hos 0,7 % (n=1) av de 143 patienter som fick TAGRISSO efter definitiv platinabaserad radiokemoterapi i LAURA. Förekomsten av ILD var 6,6 % hos patienter av icke-japansk asiatisk etnicitet och 17,2 % hos icke-asiatiska patienter. Inga patienter av japansk etnicitet drabbades av ILD. Mediantiden från första dos till debut av ILD eller ILD-liknande biverkningar var 1,9 månader. Mediantiden från sista dosen av strålbehandling till debut av ILD eller ILD-liknande biverkningar var 3,0 månader.
ILD eller ILD-liknande biverkningar rapporterades hos 3,3 % och var dödliga hos 0,4 % (n=1) av de 276 patienter som fick TAGRISSO i kombination med pemetrexed och platinabaserad kemoterapi i FLAURA2. Förekomsten av ILD var 14,9 % hos patienter av japansk etnicitet och 1,7 % hos icke-asiatiska patienter. Inga patienter av icke-japansk asiatisk etnicitet drabbades av ILD i kombinationsarmen i FLAURA2. Mediantiden från första dos till debut av ILD eller ILD-liknande biverkningar var 161 dagar.
Strålningspneumonit
I LAURA-studien, efter definitiv platinabaserad radiokemoterapi, rapporterades strålningspneumonit hos 48 % av de 143 patienter som fick TAGRISSO och 38 % av de 73 patienter som fick placebo. Tre (2,1 %) patienter hade biverkningar av grad 3, alla i TAGRISSO-armen, och inga biverkningar av grad 4 eller grad 5 rapporterades i någondera av armarna. Mediantiden från första dos till debut av strålningspneumonit var 1,7 månader hos patienter som fick TAGRISSO och 1,8 månader hos patienter som fick placebo. Mediantiden från sista dosen av strålbehandling till debut av strålningspneumonit var 2,5 månader hos patienter som fick TAGRISSO och 2,6 månader hos patienter som fick placebo.
Förlängning av QTc-intervall
Av de 1 956 patienterna i ADAURA-, FLAURA-, FLAURA2-, LAURA- och AURA-studierna som behandlades med TAGRISSO som monoterapi (80 mg) fastställdes att 1,1 % av patienterna (n=21) hade ett QTc som var större än 500 ms, och 4 % av patienterna (n=79) hade en ökning från utgångsvärdet av QTc som var större än 60 ms. En farmakokinetisk/farmakodynamisk analys med TAGRISSO förutspådde en koncentrationsberoende ökning av förlängning av QTc‑intervall. Inga QTc-relaterade arytmier observerades i ADAURA-, LAURA-, FLAURA-, FLAURA2- eller AURA-studierna (se avsnitt Varningar och försiktighet och Farmakodynamiska egenskaper). Hos patienter som fick TAGRISSO i kombination med pemetrexed och platinabaserad kemoterapi var andelen patienter som uppvisade en förlängning av QTc-intervallet på mer än 500 ms med en ökning på mer än 60 ms från baslinjen låg och likartad med andelen hos patienter som fick monoterapi (1,8 % kontra 1,5 %).
Gastrointestinala effekter
I ADAURA-, FLAURA-, FLAURA2-, LAURA- och AURA-studierna (TAGRISSO som monoterapi; N=1 956) rapporterades diarré hos 46 % av alla patienter av vilka 36 % var Grad 1‑händelser, 8,1 % Grad 2 och 1,5 % Grad 3; inga Grad 4 eller 5‑händelser har rapporterats. Dosreducering krävdes för 0,6 % av patienterna och avbruten dosering för 1,9 % av patienterna. Fyra händelser (0,2 %) ledde till utsättning av läkemedlet. I ADAURA, FLAURA, FLAURA2 (monoterapiarm) och AURA3 var mediantiden till gastrointestinala effekter 22 dagar, 19 dagar, 22 dagar respektive 22 dagar och mediandurationen av Grad 2‑händelser var 11 dagar, 19 dagar, 17 dagar respektive 6 dagar. Hos patienter som fick TAGRISSO i kombination med pemetrexed och platinabaserad kemoterapi rapporterades diarré hos 43 % av patienterna jämfört med 41 % av patienterna som fick monoterapi. De flesta av dessa diarréhändelser var av grad 1 och grad 2.
Hematologiska händelser
Tidiga minskningar av medianantalet leukocyter, lymfocyter, neutrofiler och trombocyter vid laboratorieanalys har observerats hos patienter som behandlas med TAGRISSO. Antalet stabiliserades med tiden och kvarstod sedan på en nivå som översteg det nedre normalvärdet. Biverkningar i form av leukopeni, lymfopeni, neutropeni och trombocytopeni har rapporterats. De flesta av dessa var av lindrig till måttlig allvarlighetsgrad och föranledde inte dosuppehåll. Sällsynta fall av aplastisk anemi, inklusive dödsfall, har rapporterats i samband med behandling med TAGRISSO. TAGRISSO ska sättas ut hos patienter med bekräftad aplastisk anemi (se avsnitt Dosering och administreringssätt och Varningar och försiktighet).
Äldre
I ADAURA, FLAURA, FLAURA2, LAURA- och AURA3 (TAGRISSO som monoterapi; N=1 956) var 43 % av patienterna 65 år eller äldre, och 11 % var 75 år eller äldre. Jämfört med yngre patienter (< 65 år) hade fler patienter ≥ 65 år rapporterade biverkningar som ledde till dosmodifikationer av TAGRISSO (dosuppehåll eller dosminskningar) (18 % kontra 13 %). Typen av rapporterade biverkningar var liknande oavsett ålder. Äldre patienter rapporterade fler biverkningar av grad 3 eller högre jämfört med yngre patienter (14 % kontra 9 %). Inga övergripande skillnader i klinisk effekt observerades mellan äldre och yngre patienter. Ett överensstämmande mönster med avseende på säkerhets- och effektresultat observerades i analysen av AURA Fas 2‑studierna. Av de 276 patienter som behandlades med TAGRISSO i kombination med pemetrexed och platinabaserad kemoterapi var 104 patienter ≥ 65 år och 23 patienter ≥ 75 år. Äldre patienter (≥ 65 år) rapporterade liknande andel biverkningar av grad 3 eller högre jämfört med < 65 år gamla patienter (36 % kontra 36 %). Dosändring på grund av biverkningar rapporterades hos en högre andel patienter ≥ 65 år jämfört med < 65 år (34 % kontra 20 %).
Låg kroppsvikt
Patienter med låg kroppsvikt (< 50 kg) som fick TAGRISSO som monoterapi (80 mg; N=1 956) rapporterade en högre frekvens biverkningar av grad 3 eller högre (20 % mot 10 %) och QTc-förlängning (12 % mot 6 %) än patienter med högre kroppsvikt (≥50 kg). Patienter med låg kroppsvikt (< 50 kg) som fick TAGRISSO i kombination med pemetrexed och platinabaserad kemoterapi rapporterade liknande frekvenser av biverkningar av grad ≥ 3 (32 % mot 37 %) jämfört med patienter med högre kroppsvikt (≥ 50 kg). Däremot rapporterades torr hud (34 % mot 22 %) och stomatit (40 % mot 30 %) i högre frekvens hos patienter med låg kroppsvikt (< 50 kg) jämfört med patienter med högre kroppsvikt (≥ 50 kg).
Rapportering av misstänkta biverkningar
Det är viktigt att rapportera misstänkta biverkningar efter att läkemedlet godkänts. Det gör det möjligt att kontinuerligt övervaka läkemedlets nytta-riskförhållande. Hälso- och sjukvårdspersonal uppmanas att rapportera varje misstänkt biverkning till:
webbplats: www.fimea.fi
Säkerhets- och utvecklingscentret för läkemedelsområdet Fimea
Biverkningsregistret
PB 55
00034 FIMEA
Överdosering
I kliniska studier med TAGRISSO behandlades ett begränsat antal patienter med dagliga doser på upp till 240 mg utan att allvarliga och dosbegränsande biverkningar kunde observeras. I dessa studier upplevde patienter som behandlades med TAGRISSO i dagliga doser på 160 mg och 240 mg en högre frekvens och allvarlighetsgrad av ett antal typiska EGFR TKI‑relaterade biverkningar (primärt diarré och hudutslag) jämfört med patienter som fått en dos på 80 mg. Det finns begränsad erfarenhet av oavsiktliga överdoser hos människa. Alla fallen var isolerade händelser där patienter hade tagit en extra daglig dos av TAGRISSO av misstag, utan att något fall resulterade i kliniska konsekvenser.
Det finns ingen specifik behandling vid en eventuell TAGRISSO-överdosering. I fall av misstänkt överdosering bör TAGRISSO utsättas och symtomatisk behandling inledas.
Farmakologiska egenskaper
Farmakodynamiska egenskaper
Farmakoterapeutisk grupp: antineoplastiska medel, proteinkinashämmare. ATC-kod: L01EB04.
Verkningsmekanism
Osimertinib är en tyrosinkinashämmare (TKI). Det är en irreversibel hämmare av EGFR med sensibiliserande mutationer (EGFRm) samt den TKI‑resistenta mutationen T790M.
Farmakodynamisk effekt
I in vitro-studier har det påvisats att osimertinib har hög potens och hämmande aktivitet mot EGFR över ett intervall av alla kliniskt relevanta EGFR‑sensibiliserande muterade cellinjer och T790M-muterade cellinjer för NSCLC (IC50 från 6 nM till 54 nM mot phospho‑EGFR). Detta leder till hämmad celltillväxt, samtidigt som osimertinib visar signifikant mindre aktivitet mot EGFR i cellinjer av vildtyp (IC50 från 480 nM till 1,8 μM mot phospho‑EGFR). In vivo oral administration av osimertinib ledde till tumörkrympning i både EGFRm och T790M NSCLC xenograft och transgena lungtumörmodeller i möss.
Hjärtelektrofysiologi
TAGRISSOs effekt på förlängning av QTc-intervall utvärderades hos 210 patienter som fick osimertinib 80 mg dagligen i AURA2. En EKG-serie genomfördes efter en engångsdos samt vid steady-state för att utvärdera effekten av osimertinib på QTc-intervall. En farmakokinetisk/farmakodynamisk analys förutspådde en läkemedelsrelaterad förlängning av QTc-intervall vid 80 mg på 14 ms med en övre gräns på 16 ms (90 % KI).
Klinisk effekt och säkerhet
Adjuvant behandling av EGFR-mutationspositiv NSCLC, med eller utan tidigare adjuvant kemoterapi - ADAURA
Effekten och säkerheten för TAGRISSO vid adjuvant behandling av patienter med EGFR-mutationspositiv (Ex19del eller L858R) NSCLC, som hade genomgått fullständig tumörresektion med eller utan tidigare adjuvant kemoterapi, påvisades i en randomiserad, dubbelblind placebokontrollerad studie (ADAURA).
Kvalificerade patienter med resekterbara tumörer i stadium IB–IIIA (enligt American Joint Commission on Cancer [AJCC] 7:e upplagan) måste ha EGFR-mutationer (Ex19del eller L858R), identifierade med Cobas EGFR-mutationstest utfört prospektivt med hjälp av biopsi eller ett kirurgiskt prov i ett centrallaboratorium.
Patienterna randomiserades i förhållandet 1:1 till att få antingen TAGRISSO (n=339, 80 mg peroralt en gång dagligen) eller placebo (n=343) efter återhämtning från kirurgi och om det gavs, standard adjuvant kemoterapi. Patienter som inte fick adjuvant kemoterapi randomiserades inom 10 veckor och patienter som fick adjuvant kemoterapi randomiserades inom 26 veckor efter kirurgi. Randomiseringen stratifierades efter EGFR-mutationstyp (Ex19del eller L858R), etnicitet (asiatisk eller icke-asiatisk) och stadium baserat på patologisk tumör-nod-metastasering (pTNM) (IB eller II eller IIIA) enligt AJCC 7:e upplagan. Behandlingen gavs fram till återfall av sjukdomen, oacceptabel toxicitet eller i 3 år.
Det huvudsakliga effektmåttet var sjukdomsfri överlevnad (DFS) enligt prövarens bedömning i stadium II‑IIIA-populationen. DFS enligt prövarens bedömning i stadium IB‑IIIA-populationen (totala studiepopulationen) var ytterligare ett effektmått. Övriga effektmått inkluderade DFS-frekvens, total överlevnad (OS), OS-frekvens samt tid till försämring av hälsorelaterad livskvalitet (HRQoL) SF-36.
Demografi och sjukdomskaraktäristika vid baslinjen för den totala studiepopulationen var som följer: medianålder 63 år (intervall 30‑86 år), ≥75 år (11 %), kvinnor (70 %), asiater (64 %), aldrig rökt (72 %), WHO (Världshälsoorganisationen) -funktionsstatus 0 (64 %) eller 1 (36 %), stadium IB (31 %), stadium II (34 %) och IIIA (35 %). Med avseende på EGFR-mutationsstatus var 55 % exon 19‑deletioner och 45 % var exon 21 L858R substitutionsmutationer; 9 patienter (1 %) hade även en samtidig de novo T790M-mutation. Majoriteten (60 %) av patienterna fick adjuvant kemoterapi före randomisering (26 % IB; 71 % IIA; 73 % IIB; 80 % IIIA). Vid tiden för DFS-analys fick 205 (61 %) patienter fortfarande aktiv behandling; av de 73 (11 %) patienter som fick möjlighet att fullfölja den 3-åriga behandlingsperioden fanns 40 (12 %) i osimertinibarmen och 33 (10 %) i placeboarmen.
Det var 37 patienter som behandlades med TAGRISSO som fick återfall av sjukdomen. De vanligast rapporterade lokalisationerna för återfall var: lungor (19 patienter), lymfknutor (10 patienter) och centrala nervsystemet (CNS) (5 patienter). Det var 157 patienter som behandlades med placebo som fick återfall av sjukdomen. De vanligast rapporterade lokalisationerna för återfall var: lungor (61 patienter), lymfknutor (48 patienter) och CNS (34 patienter).
ADAURA uppvisade en statistiskt signifikant minskning av risken för återfall av sjukdomen eller död hos patienter som behandlades med TAGRISSO jämfört med patienter som behandlades med placebo i stadium II‑IIIA-populationen. Liknande resultat observerades i stadium IB‑IIIA-populationen.
Effektresultat enligt prövarens bedömning från ADAURA är sammanfattade i tabell 3.
Tabell 3. Effektresultat i ADAURA enligt prövarens bedömning
Stadium II-IIIA-population | Stadium IB-IIIA-population | |||
Effektparameter | TAGRISSO (N=233) | Placebo (N=237) | TAGRISSO (N=339) | Placebo (N=343) |
Sjukdomsfri överlevnad | ||||
Antal händelser (%) | 26 (11) | 130 (55) | 37 (11) | 159 (46) |
Återfall av sjukdomen (%) | 26 (11) | 129 (54) | 37 (11) | 157 (46) |
Dödsfall (%) | 0 | 1 (0,4) | 0 | 2 (0,6) |
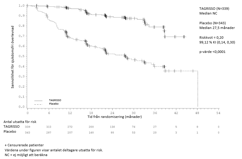
Median-DFS, månader(95 % KI) | NC (38,8, NC) | 19,6 (16,6, 24,5) | NC (NC, NC) | 27,5 (22,0, 35,0) |
HR (99,06 % KI); p‑värde | 0,17 (0,11, 0,26); <0,0001a | 0,20 (0,14, 0,30); <0,0001b | ||
DFS-frekvens vid 12 månader (%) (95 % KI) | 97 (94, 99) | 61 (54, 67) | 97 (95, 99) | 69 (63, 73) |
DFS-frekvens vid 24 månader (%) (95 % KI) | 90 (84, 93) | 44 (37, 51) | 89 (85, 92) | 52 (46, 58) |
DFS-frekvens vid 36 månader (%) (95 % KI)c, d | 78 (65, 87) | 28 (19, 38) | 79 (69, 86) | 40 (32, 48) |
HR=riskkvot (Hazard Ratio); KI=konfidensintervall; NC=ej möjligt att beräkna
DFS-resultat baserade på prövarens bedömning.
En HR < 1 är till fördel för TAGRISSO.
Medianuppföljningstiden för DFS var 22,1 månader för patienter som fick TAGRISSO, 14,9 månader för patienter som fick placebo (stadium II‑IIIA‑population) och 16,6 månader för patienter som fick placebo (stadium IB‑IIIA‑population).
DFS-resultaten är från den primära analysen (17 januari 2020).
a Justerat för en interimsanalys (33 % mognad) ett p-värde på < 0,0094 krävdes för statistisk signifikans.
b Justerat för en interimsanalys (29 % mognad) ett p-värde på < 0,0088 krävdes för statistisk signifikans.
c Antalet riskpatienter vid 36 månader var 18 patienter i TAGRISSO-armen och 9 patienter i placeboarmen (stadium II‑IIIA‑population).
d Antalet riskpatienter vid 36 månader var 27 patienter i TAGRISSO-armen och 20 patienter i placeboarmen (stadium IB‑IIIA‑population).
Den slutliga analysen av total överlevnad (OS) (tid för datainsamling [DCO]: 27 januari 2023) visade en statistiskt signifikant förbättring i OS hos patienter som behandlats med TAGRISSO jämfört med placebo i både stadium II–IIIA-populationen (100 OS-händelser [21 % maturitet]; HR = 0,49; 95,03 % KI: 0,33, 0,73; p-värde = 0,0004) och den totala populationen (IB–IIIA; 124 OS-händelser [18 % maturitet]; HR = 0,49; 95,03 % KI: 0,34, 0,70; p-värde < 0,0001). I båda populationerna uppnåddes median OS inte i någon av behandlingsgrupperna och 95 % KI kunde inte beräknas. Medianuppföljningstiden för OS hos alla patienter var 59,9 månader (stadium II–IIIA-populationen) och 60,4 månader (stadium IB–IIIA-populationen) i TAGRISSO-armen och 56,2 månader (stadium II-IIIA-populationen) och 59,4 månader (stadium IB–IIIA-populationen) i placeboarmen.
Figur 1. Kaplan-Meier-kurva för sjukdomsfri överlevnad hos stadium II‑IIIA‑patienter enligt prövarens bedömning

Figur 2. Kaplan-Meier-kurva för sjukdomsfri överlevnad hos stadium IB‑IIIA‑patienter (totala populationen) enligt prövarens bedömning

DFS-fördelen med TAGRISSO jämfört med placebo sågs i alla fördefinierade subgrupper som analyserades, såsom etnicitet, ålder, kön och EGFR-mutation (Ex19Del eller L858R).
Figur 3. Kaplan-Meier-kurva för total överlevnad hos stadium II–IIIA-patienter

Figur 4. Kaplan-Meier-kurva för total överlevnad hos stadium IB–IIIA-patienter (total population)

En explorativ analys av DFS avseende CNS (tid till CNS-recidiv eller död) för patienter behandlade med TAGRISSO jämfört med patienter behandlade med placebo visade en HR på 0,18 (95 % KI: 0,10, 0,33; p <0,0001) för den totala populationen (stadium IB‑IIIA).
Patientrapporterade utfall
Hälsorelaterad livskvalitet (HRQL) i ADAURA utvärderades med hjälp av Short Form (36) Health Survey version 2 (SF‑36v2)-frågeformuläret. SF‑36v2 administrerades vid 12 veckor, 24 veckor och sedan var 24:e vecka i förhållande till randomisering, fram till avslutad eller avbruten behandling. HRQL var totalt sett bibehållen i båda armarna upp till 30 månader, med minst 70 % av patienterna i stadium II‑IIIA-populationen som inte upplevde någon kliniskt betydelsefull försämring av den fysiska komponenten av SF‑36 eller död (70 % jämfört med 76 % för TAGRISSO respektive placebo), eller i den mentala komponenten av SF‑36 eller död (70 % jämfört med 71 % för TAGRISSO respektive placebo).
Lokalt avancerad, icke-resektabel EGFR‑mutationspositiv NSCLC – LAURA
Effekten och säkerheten för TAGRISSO vid behandling av patienter med EGFR‑mutationspositiv lokalt avancerad, icke-resektabel NSCLC, vars sjukdom inte hade progredierat under eller efter definitiv platinabaserad radiokemoterapi, utvärderades i en randomiserad, dubbelblind placebokontrollerad studie (LAURA). Patienterna skulle få samtidig radiokemoterapi (CCRT) eller sekventiell radiokemoterapi (SCRT), där minst 2 cykler eller 5 veckodoser av platinabaserad kemoterapi och en total strålningsdos på 60 Gy ± 10 % (54 Gy till 66 Gy) skulle slutföras ≤ 6 veckor före randomisering. Patienternas tumörvävnadsprover måste ha en EGFR exon 19-deletion eller exon 21 L858R-mutation, som identifierats genom central eller lokal testning med ett certifierat/godkänt test.
Patienterna randomiserades (2:1) till att få antingen TAGRISSO 80 mg peroralt en gång dagligen (n=143) eller placebo (n=73). Randomiseringen stratifierades enligt tidigare radiokemoterapi-strategi (CCRT vs. SCRT), tumörstadium före radiokemoterapi (IIIA vs. IIIB/IIIC) och enligt Kinakohorten. Patienterna fortsatte studiebehandlingen tills de utvecklade intolerans mot behandlingen eller tills bekräftad sjukdomsprogression. Övergång från placebo till TAGRISSO var tillåten vid progressiv sjukdom.
Det primära effektmåttet var progressionsfri överlevnad (PFS) som bedömdes av en blindad oberoende central granskning (BICR). Ytterligare effektmått inkluderade OS och CNS-PFS som bedömdes av en neuroradiolog-BICR.
Demografi och sjukdomskaraktäristika vid baslinjen för den totala studiepopulationen var: medianålder 63 år (intervall 36–84 år), ≥ 75 år (13 %), kvinnor (61 %), asiater (82 %), vita (14 %), aldrig rökt (70 %). WHO-funktionsstatus vid baslinjen var 0 (51 %) eller 1 (49 %); 35 % av patienterna hade NSCLC i stadium IIIA, 49 % av patienterna hade NSCLC i stadium IIIB och 16 % av patienterna hade NSCLC i stadium IIIC. Med avseende på EGFR-mutationsstatus var 54 % exon 19-deletioner och 45 % var exon 21 L858R-mutationer. Före randomiseringen fick 89 % av patienterna CCRT och 11 % av patienterna fick SCRT. Alla patienter fick platinabaserad kemoterapi (55 % karboplatinbaserad kemoterapi och 44 % cisplatinbaserad kemoterapi). Medianen för total stråldos var 60 Gy för patienter i båda armarna.
Behandling med TAGRISSO efter platinabaserad radiokemoterapi resulterade i en statistiskt signifikant förbättring av PFS jämfört med placebo (56 % mognad; HR=0,16; 95 % KI: 0,10, 0,24; P < 0,001, median 39,1 månader respektive 5,6 månader).
Enligt protokollet genomgick alla patienter magnetisk resonanstomografi (MRT) av hjärnan vid baslinjen och alla utom en patient genomgick schemalagda MRT-undersökningar av hjärnan under behandlingen. En lägre andel av patienterna hade nya CNS-lesioner vid neuroradiologisk granskning i TAGRISSO-armen jämfört med placeboarmen (17/143 [12 %] vs. 26/73 [36 %]).
Vid tidpunkten för interimsanalysen av OS (DCO: 05 januari 2024) hade statistisk signifikans inte uppnåtts. Femtio av 62 patienter (80,6 %) i placeboarmen behandlades med TAGRISSO efter BICR-bekräftad sjukdomsprogression.
Effektresultat från LAURA sammanfattas i tabell 4 och Kaplan‑Meier-kurvan för PFS visas i figur 5.
Tabell 4. Effektresultat i LAURA
Effektparameter | TAGRISSO (N = 143) | Placebo (N = 73) |
---|---|---|
Progressionsfri överlevnada | ||
Antal (%) händelser | 57 (40) | 63 (86) |
Median PFS, månader (95 % KI) | 39,1 (31,5, NC) | 5,6 (3,7, 7,4) |
HR (95 % KI); p-värde | 0,16 (0,10, 0,24); p < 0,001 | |
Total överlevnad | ||
Antal (%) dödsfall | 28 (20) | 15 (21) |
Median OS, månader (95 % KI) | 54,0 (46,5, NC) | NC (42,1, NC) |
HR (95 % KI); p-värde | 0,81 (0,42, 1,56); p = 0,530a |
HR = riskkvot (Hazard Ratio); KI = konfidensintervall; NC = ej möjligt att beräkna (Non-calculable)
PFS-resultat enligt BICR-bedömning.
Medianuppföljningstiden för PFS hos alla patienter var 22,0 månader för patienter som fick TAGRISSO och 5,6 månader för patienter som fick placebo.
a Justerat för en interimsanalys (20 % mognad), ett p-värde på < 0,000036 krävdes för statistisk signifikans.
Figur 5. Kaplan-Meier-kurvor för progressionsfri överlevnad enligt BICR i LAURA

Tidigare obehandlad EGFR-mutationspositiv lokalt avancerad eller metastaserad NSCLC
FLAURA–monoterapi
Effekten och säkerheten för TAGRISSO vid behandling av patienter med EGFR-mutationspositiv lokalt avancerad, ej lämplig för kurativ kirurgi eller strålbehandling, eller metastaserad NSCLC, som inte tidigare erhållit systemisk behandling för avancerad sjukdom, påvisades i en randomiserad, dubbelblind studie med aktiv kontroll (FLAURA). Patienternas tumörvävnadsprover måste ha en av de två vanliga EGFR-mutationerna som man vet har samband med EGFR TKI-sensitivitet (Ex19del eller L858R), identifierad genom lokal eller central testning.
Patienterna randomiserades i förhållandet 1:1 till att få antingen TAGRISSO (n=279, 80 mg peroralt en gång dagligen) eller EGFR TKI-komparator (n=277; gefitinib 250 mg peroralt en gång dagligen eller erlotinib 150 mg peroralt en gång dagligen). Randomiseringen stratifierades efter EGFR-mutationstyp (Ex19del eller L858R) och etnicitet (asiatisk eller icke-asiatisk). Patienterna behandlades med studieläkemedel tills de utvecklade intolerans mot behandlingen, eller tills prövaren bedömde att patienten inte längre hade någon klinisk nytta. Patienter som fick EGFR TKI-komparator tilläts byta till en öppen behandling med TAGRISSO efter progression under förutsättning att de lämnade tumörproverna var positiva för T790M-mutation. Primärt effektmått var PFS enligt prövarens bedömning.
Demografi och sjukdomskaraktäristika vid baslinjen för den totala studiepopulationen var som följer: medianålder 64 år (intervall 26‑93 år), ≥75 år (14 %), kvinnor (63 %), vita (36 %), asiater (62 %), aldrig rökt (64 %), WHO-funktionsstatus 0 eller 1 (100 %), metastaserad skelettsjukdom (36 %), extra-torakala viscerala metastaser (35 %), CNS-metastaser (21 %, identifierade per; CNS-lesionsställe vid baslinjen, medicinsk anamnes, och/eller tidigare operation, och/eller tidigare strålbehandling av CNS-metastaser).
TAGRISSO gav en kliniskt betydelsefull och statistiskt signifikant förbättring av PFS i jämförelse med EGFR TKI-komparatorn (medianvärde 18,9 månader respektive 10,2 månader, HR=0,46, 95 % KI: 0,37; 0,57; P<0,0001). Effektresultat från FLAURA enligt prövarens bedömning sammanfattas i tabell 5 och Kaplan-Meier-kurvan för PFS visas i figur 6. Den slutliga analysen av OS (58 % mognad) visade en statistiskt signifikant förbättring med en HR på 0,799 (95,05 % KI: 0,641; 0,997) och en kliniskt betydelsefull förlängning av median överlevnadstid hos patienter randomiserade till TAGRISSO jämfört med EGFR TKI‑komparatorn (tabell 5 och figur 7). En större andel av patienterna som fick TAGRISSO levde efter 12, 18, 24 och 36 månader (89 %, 81 %, 74 % respektive 54 %) jämfört med patienterna som fick EGFR TKI-komparatorn (83 %, 71 %, 59 % respektive 44 %). Analys av effektmått efter progression visade att nyttan vad gällde PFS kvarstod i efterföljande behandlingslinjer.
Tabell 5. Effektresultat i FLAURA enligt prövarens bedömning
Effektparameter | TAGRISSO (N=279) | EGFR TKI-komparator (gefitinib eller erlotinib) (N=277) |
Progressionsfri överlevnad | ||
Antal händelser (vid 62 % mognad) | 136 (49) | 206 (74) |
Median-PFS, månader (95 % KI) | 18,9 (15,2; 21,4) | 10,2 (9,6; 11,1) |
HR (95 % KI); p-värde | 0,46 (0,37; 0,57); P < 0,0001 | |
Total överlevnad | ||
Antal dödsfall, (vid 58 % mognad) | 155 (56) | 166 (60) |
Median-OS, månader (95 % KI) | 38,6 (34,5, 41,8) | 31,8 (26,6, 36,0) |
HR (95,05 % KI); p-värde | 0,799 (0,641; 0,997); P=0,0462 a | |
Objektiv responsfrekvens* b | ||
Antal responders (n), responsfrekvens (95 % KI) | 223 80 % (75, 85) | 210 76 % (70, 81) |
Oddskvot (95 % KI); p-värde | 1,3 (0,9; 1,9); P=0,2421 | |
Responsens varaktighet (DoR)* | ||
Median-DoR, månader (95 % KI) | 17,2 (13,8; 22,0) | 8,5 (7,3; 9,8) |
Andra PFS efter inledning av första efterföljande behandling(PFS2) | ||
Antal patienter med en andra progression (%) | 73 (26) | 106 (38) |
Median PFS2, månader (95 % KI) | NC (23,7; NC) | 20,0 (18,0; NC) |
HR (95 % KI); p-värde | 0,58 (0,44; 0,78); P=0,0004 | |
Tid från randomisering till första efterföljande behandling eller död (TFST) | ||
Antal patienter som fick en första efterföljande behandling eller avled (%) | 115 (41) | 175 (63) |
Median-TFST, månader (95 % KI) | 23,5 (22,0; NC) | 13,8 (12,3; 15,7) |
HR (95 % KI); p-värde | 0,51 (0,40; 0,64); P<0,0001 | |
Tid från randomisering till andra efterföljande behandling eller död (TSST) | ||
Antal patienter som fick en andra efterföljande behandling eller avled (%) | 75 (27) | 110 (40) |
Median-TSST, månader (95 % KI) | NC (NC; NC) | 25,9 (20,0; NC) |
HR (95 % KI); p-värde | 0,60 (0,45; 0,80); P=0,0005 |
HR=riskkvot (Hazard Ratio); KI=konfidensintervall; NC=ej möjligt att beräkna
Resultat för PFS, ORR, DoR och PFS2 baseras på RECIST prövarbedömning.
*Baseras på obekräftad respons.
Medianuppföljningstiden var 15,0 månader för patienter som fick TAGRISSO och 9,7 månader för patienter som fick EGFR TKI-komparator.
Medianuppföljningstiden för överlevnad var 35,8 månader för patienter som fick TAGRISSO och 27,0 månader för patienter som fick EGFR TKI‑komparator.
DCO för PFS, ORR, DoR, PFS2, TEST och TSST var 12 juni 2017. DCO för OS var 25 juni 2019.
En HR<1 är till fördel för TAGRISSO, en oddskvot > 1 är till fördel för TAGRISSO.
a Justerat för en interimsanalys (25 % mognad), ett p-värde på < 0,0495 krävdes för statistisk signifikans.
b ORR-resultat enligt BICR stämde överens med resultaten från prövarens bedömning; ORR enligt BICR-bedömning var 78 % (95 % KI: 73; 83) för TAGRISSO och 70 % (95 % KI: 65; 76) för EGFR TKI-komparatorn.
Figur 6. Kaplan-Meier-kurvor för progressionsfri överlevnad enligt prövarens bedömning i FLAURA

Figur 7. Kaplan-Meier-kurvor för total överlevnad i FLAURA

PFS-fördelen med TAGRISSO jämfört med EGFR TKI-komparatorn sågs i alla fördefinierade subgrupper som analyserades, såsom etnicitet, ålder, kön, rökningshistorik, CNS-metastasstatus vid studiestarten och EGFR-mutation (exon 19‑deletion eller L858R).
Effektdata avseende CNS-metastaser i FLAURA-studien
Patienter med CNS-metastaser som inte krävde steroider och med stabilt neurologiskt status i minst två veckor efter avslutad definitiv behandling och steroider var kvalificerade att randomiseras till FLAURA-studien. Av 556 patienter hade 200 patienter tillgänglig hjärnröntgen från baslinjen. En blindad oberoende central granskning (BICR)-bedömning av dessa undersökningar resulterade i en subgrupp om 128/556 patienter (23 %) med CNS-metastaser och dessa data sammanfattas i tabell 6. CNS-effekt enligt RECIST v1.1 i FLAURA visade på en statistiskt signifikant förbättring av CNS-PFS (HR=0,48, 95 % KI: 0,26; 0,86; p=0,014).
Tabell 6. CNS-effekt enligt BICR hos patienter med CNS-metastaser påvisade med hjärnröntgen vid baslinjen i FLAURA
Effektparameter | TAGRISSO N=61 | EGFR TKI-komparator (gefitinib eller erlotinib) N=67 |
CNS-progressionsfri överlevnad a | ||
Antal händelser (%) | 18 (30) | 30 (45) |
Median-CNS-PFS, månader (95 % KI) | NC (16,5; NC) | 13,9 (8,3; NC) |
HR (95 % KI); p-värde | 0,48 (0,26; 0,86); P=0,014 | |
CNS-progressionsfri och vid liv efter 6 månader (%) (95 % KI) | 87 (74, 94) | 71 (57, 81) |
CNS-progressionsfri och vid liv efter 12 månader (%) (95 % KI) | 77 (62, 86) | 56 (42, 68) |
HR= riskkvot (Hazard Ratio); KI=konfidensintervall, NC=ej möjligt att beräkna
En HR<1 är till fördel för TAGRISSO, en oddskvot på >1 är till fördel för TAGRISSO
a CNS-PFS bedömd enligt RECIST v1.1 av CNS BICR (mätbara och icke-mätbara CNS-lesioner vid baslinjen enligt BICR)
n=61 för TAGRISSO och n=67 för EGFR TKI-komparator; behandlingssvaren är obekräftade.
En förspecificerad PFS-subgruppsanalys baserad på CNS-metastasstatus (identifierat per; CNS-lesionsställe vid baslinjen, medicinsk anamnes, och/eller tidigare operation, och/eller tidigare strålbehandling av CNS-metastaser) vid studiestarten utfördes i FLAURA och visas i figur 8. Oavsett CNS-lesionsstatus vid studiestarten uppvisade patienterna i TAGRISSO-armen en bättre effekt än patienterna i EGFR TKI-komparatorarmen och antalet patienter med nya CNS-lesioner var färre i TAGRISSO-armen än i EGFR TKI-komparatorarmen (TAGRISSO, 11/279 [3,9 %] jämfört med EGFR TKI-komparatorn, 34/277 [12,3 %]). I subgruppen med patienter utan CNS-lesioner vid baslinjen var antalet nya CNS-lesioner färre i TAGRISSO-armen än i EGFR TKI-komparatorarmen (7/226 [3,1 %] respektive 15/214 [7,0 %]).
Figur 8. Total PFS enligt prövarens bedömning baserat på status av CNS-metastaser vid inträdet i studien, Kaplan-Meier-kurvor (fullständig analysuppsättning) i FLAURA

Patientrapporterade utfall
Patientrapporterade symtom och HRQL samlades in elektroniskt med användning av EORTC QLQ‑C30 och dess lungcancermodul (EORTC QLQ‑LC13). LC13 administrerades en gång i veckan under de första 6 veckorna, därefter var 3:e vecka före och efter progression. C30 bedömdes var 6:e vecka före och efter progression. Vid baslinjen observerades inga skillnader vad gällde patientrapporterade symtom, funktion eller HRQL mellan TAGRISSO-armen och EGFR TKI-komparatorarmen (gefitinib eller erlotinib). Ifyllnadsgraden under de första nio månaderna var generellt hög (≥70 %) och lika i båda armarna.
Analys av viktiga lungcancersymtom
Data insamlade från baslinjen till månad 9 visade samma förbättring i TAGRISSO- och EGFR TKI-komparatorgrupperna för de fem förspecificerade primära PRO-symtomen (hosta, dyspné, bröstsmärtor, trötthet och minskad aptit) där förbättringen av hosta uppnådde den fastställda kliniskt relevanta brytpunkten. Fram till månad 9 sågs inga kliniskt meningsfulla skillnader i patientrapporterade symtom mellan TAGRISSO- och EGFR TKI-komparatorgrupperna (bedömt som en skillnad på ≥ 10 poäng).
Analys av förbättring av HRQL och fysisk funktionsförmåga
Båda grupperna rapporterade likartade förbättringar inom de flesta funktionsdomänerna och för globalt hälsostatus/HRQL, vilket visar tyder på att patienternas allmänna hälsa förbättrades. Fram till månad 9 sågs inga kliniskt betydelsefulla skillnader mellan TAGRISSO- och EGFR TKI-komparatorgrupperna vad gällde funktionsförmåga eller HRQL.
FLAURA2 – kombinationsterapi
Effekt och säkerhet för TAGRISSO i kombination med pemetrexed och platinabaserad kemoterapi för behandling av patienter med lokalt avancerad eller metastaserande EGFR-mutationspositiv NSCLC, som inte tidigare erhållit systemisk behandling för avancerad sjukdom påvisades i en randomiserad, öppen studie med aktiv kontroll (FLAURA2). Patienternas tumörvävnadsprover måste ha en av de två vanliga EGFR-mutationerna som man vet har samband med EGFR TKI-sensitivitet (Ex19del eller L858R), identifierad genom lokal eller central testning.
Patienterna randomiserades (1:1) till en av följande behandlingsarmar:
- TAGRISSO (80 mg) peroralt en gång dagligen med pemetrexed (500 mg/m2) och prövarens val av cisplatin (75 mg/m2) eller karboplatin (AUC5) administrerat intravenöst på dag 1 i varje 21-dagarscykel under 4 cykler, följt av TAGRISSO (80 mg) peroralt en gång dagligen och pemetrexed (500 mg/m2) administrerat intravenöst var 3:e vecka (n=279)
- TAGRISSO (80 mg) peroralt en gång dagligen (n=278)
Randomiseringen stratifierades enligt etnicitet (kinesisk/asiatisk, icke-kinesisk/asiatisk eller icke-asiatisk), WHO-funktionsstatus (0 eller 1) och metod för vävnadsprovtagning (central eller lokal). Patienterna fick studieläkemedel tills de utvecklade intolerans mot behandlingen, eller tills prövaren bedömde att patienten inte längre hade någon klinisk nytta.
Primära effektmåttet var PFS enligt prövarens bedömning baserat på RECIST 1.1 och det viktigaste sekundära effektmåttet var OS.
Demografi och sjukdomskaraktäristika vid baslinjen för den totala studiepopulationen var: medianålder 61 år (intervall 26–85 år), ≥ 75 år (8 %), kvinnor (61 %), asiater (64 %), vita (28 %), aldrig rökt (66 %). WHO-funktionsstatus vid baslinjen var 0 (37 %) eller 1 (63 %); 98,7 % hade övervägande adenokarcinom-histologi. Hos patienter med metastaserad sjukdom hade 49 % skelettmetastaser, 53 % extra-torakala metastaser och 20 % levermetastaser. Fyrtioen procent (41 %) av patienterna hade CNS-metastaser (identifierade av prövaren baserat på CNS-lesionsställe vid utgångsläget, medicinsk anamnes och/eller tidigare operation och/eller tidigare strålbehandling av CNS-metastaser). Med avseende på tumörens EGFR-mutationstyp vid randomiseringen var 60,5 % exon 19-deletioner och 38,2 % exon 21 L858R. Av patienterna hade 0,7 % tumörer med både exon 19-deletioner och exon 21 L858R.
TAGRISSO i kombination med pemetrexed och platinabaserad kemoterapi visade en statistiskt signifikant förbättring av PFS jämfört med TAGRISSO som monoterapi. Förbättringen av PFS var konsekvent i alla subgrupper som analyserades. Vid tidpunkten för den andra interimsanalysen av OS (DCO 08 januari 2024) hade statistisk signifikans inte uppnåtts.
Effektresultaten enligt prövarens bedömning från FLAURA2 sammanfattas i tabell 7. Kaplan Meier-kurvan för PFS visas i figur 9 och Kaplan Meier-kurvan för OS visas i figur 10.
Tabell 7. Effektresultat i FLAURA2 enligt prövarens bedömning
Effektparameter | TAGRISSO med pemetrexed och platinabaserad kemoterapi (N=279) | TAGRISSO (N=278) |
---|---|---|
Progressionsfri överlevnad | ||
Antal (%) händelser | 120 (43) | 166 (60) |
Median-PFS, månader (95 % KI)a | 25,5 (24,7, NC) | 16,7 (14,1, 21,3) |
HR (95 % KI); p-värde | 0,62 (0,49, 0,79); P<0,0001 | |
Total överlevnad | ||
Antal (%) dödsfall | 100 (36) | 126 (45) |
Median-OS, månader (95 % KI) | NC (38,0, NC) | 36,7 (33,2, NC) |
HR (95 % KI); p-värde | 0,75 (0,57, 0,97); P=0,0280b |
HR=riskkvot (Hazard Ratio); KI=konfidensintervall; NC=ej möjligt att beräkna
PFS baserat på RECIST prövarbedömning.
Medianuppföljningstiden för PFS hos alla patienter var 19,5 månader i TAGRISSO-armen med pemetrexed och platinabaserad kemoterapi och 16,5 månader i TAGRISSO-armen med monoterapi.
PFS-resultaten är från DCO 03 april 2023 (51 % mognad). OS-resultaten är från DCO 08 januari 2024 (41 % mognad).
a PFS-resultaten enligt BICR stämde överens med de resultat som rapporterades från prövarens bedömning.
b Baserat på den andra interimsanalysen (41 % mognad) krävdes ett p-värde på < 0,000001 för att uppnå statistisk signifikans.
Figur 9. Kaplan-Meier-kurvor för progressionsfri överlevnad enligt prövarens bedömning i FLAURA2

Figur 10. Kaplan-Meier-kurvor för total överlevnad i FLAURA2

Effektdata avseende CNS-metastaser i FLAURA2-studien
Patienter med asymtomatiska CNS-metastaser som inte krävde steroider och med stabil neurologisk status i minst två veckor efter avslutad definitiv behandling och steroider var kvalificerade att randomiseras till FLAURA2-studien. Alla patienter hade tillgänglig hjärnröntgen från baslinjen. En BICR-bedömning av dessa undersökningar med hjälp av modifierad RECIST resulterade i en subgrupp om 222/557 (40 %) patienter med mätbara och/eller icke-mätbara CNS-lesioner (cFAS) och en ytterligare subgrupp om 78/557 (14 %) patienter med mätbara CNS-lesioner (cEFR). Baserat på en explorativ analys var CNS-responsfrekvensen > 65 % i båda behandlingsarmarna med en högre komplett responsfrekvens i TAGRISSO-armen med pemetrexed och platinabaserad kemoterapi (59,3 % av patienterna) jämfört med TAGRISSO-armen med monoterapi (43,3 % av patienterna). Medianvärdet för DoR uppnåddes inte i TAGRISSO-armen med pemetrexed och platinabaserad kemoterapi och var 26,2 månader i TAGRISSO-armen med monoterapi. I cEFR-subgruppen hade 47,5 % av patienterna i TAGRISSO-armen med pemetrexed och platinabaserad kemoterapi en komplett CNS-respons jämfört med 15,8 % av patienterna i TAGRISSO-armen med monoterapi.
Förbehandlade T790M-positiva NSCLC-patienter – AURA3
Effekten och säkerheten för TAGRISSO för behandlingen av patienter med lokalt avancerad eller metastaserande T790M-NSCLC vilkas sjukdom har progredierat under eller efter EGFR TKI-behandling, påvisades i en randomiserad, öppen fas 3‑studie med aktiv kontroll (AURA3). Alla patienter måste ha EGFR T790M-mutationspositiv NSCLC som identifierats med Cobas EGFR-mutationstest utfört i ett centrallaboratorium före randomisering. T790M-mutationsstatus bedömdes även med ctDNA extraherat från ett plasmaprov som togs under screening. Primärt effektresultat var PFS enligt prövarens bedömning. Ytterligare effektmått inkluderade ORR, DoR och OS enligt prövarens bedömning.
Patienter randomiserades i förhållandet 2:1 (TAGRISSO:platinabaserad dubbel kemoterapi) till att få TAGRISSO (n=279) eller platinabaserad dubbel kemoterapi (n=140). Randomisering stratifierades enligt etnicitet (asiatisk och icke-asiatisk). Patienter i TAGRISSO-armen fick TAGRISSO 80 mg oralt en gång dagligen tills de utvecklade intolerans mot behandlingen, eller tills prövaren bedömde att patienten inte längre hade någon klinisk nytta. Kemoterapi bestod av pemetrexed 500 mg/m2 med karboplatin AUC5 eller pemetrexed 500 mg/m2 med cisplatin 75 mg/m2 på dag 1 i varje 21‑dagarscykel i upp till 6 cykler. Patienter vilkas sjukdom inte hade progredierat efter fyra cykler med platinabaserad kemoterapi kan få underhållsbehandling med pemetrexed (pemetrexed 500 mg/m2 på dag 1 i varje 21‑dagarscykel). Patienter i kemoterapiarmen som hade objektiv progression på röntgen (enligt prövaren och bekräftat av oberoende central bildgranskning) fick möjlighet att påbörja behandling med TAGRISSO.
Demografiska och sjukdomskännetecken av den totala studiepopulationen vid baslinjen: medianålder 62, ≥ 75 år (15 %), kvinnor (64 %), vita (32 %), asiater (65 %), aldrig rökt (68 %), WHO-funktionsstatus 0 eller 1 (100 %). Femtiofyra procent (54 %) av patienterna hade extra-torakala viscerala metastaser, däribland 34 % med CNS-metastaser (identifierade per CNS-lesionsställe vid utgångsläget, medicinsk anamnes, och/eller tidigare operation, och/eller tidigare strålbehandling av CNS-metastaser) och 23 % med levermetastaser. Fyrtiotvå procent (42 %) av patienterna hade metastaserande skelettsjukdom.
AURA3 påvisade en statistiskt signifikant förbättring av PFS hos patienterna som behandlats med TAGRISSO jämfört med kemoterapi. Effektresultat från AURA3 enligt prövarens bedömning summeras i tabell 8 och Kaplan-Meier-kurvan för PFS visas i figur 11. Den slutliga analysen av OS visade ingen statistiskt signifikant skillnad mellan behandlingsarmarna.
Tabell 8. Effektresultat från AURA3 enligt prövarens bedömning
Effektparameter | TAGRISSO (N=279) | Kemoterapi (pemetrexed/cisplatin eller pemetrexed/karboplatin) (N=140) | |
Progressionsfri överlevnad | |||
Antal händelser (% mognad) | 140 (50) | 110 (79) | |
Median-PFS, månader (95 % KI) | 10,1 (8,3; 12,3) | 4,4 (4,2; 5,6) | |
HR (95 % KI); p-värde | 0,30 (0,23; 0,41); p<0,001 | ||
Total överlevnad (OS)a | |||
Antal dödsfall (% mognad) | 188 (67,4) | 93 (66,4) | |
Median-OS, månader (95 % KI) | 26,8 (23,5; 31,5) | 22,5 (20,2; 28,8) | |
HR (95.56 % KI); p-värde | 0,87 (0,67; 1,13); p=0,277 | ||
Objektiv responsfrekvensb | |||
Antal responser, responsfrekvens (95 % KI) | 197 71 % (65, 76) | 44 31 % (24, 40) | |
Oddskvot (95 % KI); p-värde | 5,4 (3,5; 8,5); p<0,001 | ||
Responsduration (DoR)b | |||
Median-DoR, månader (95 % KI) | 9,7 (8.3; 11,6) | 4,1 (3,0; 5,6) |
HR=Riskkvot (Hazard Ratio); KI=Konfidensintervall; NC=Ej möjligt att beräkna (Non-calculable), OS=Total överlevnad
Alla effektresultat baseras på RECIST prövarbedömning.
a Den slutliga analysen av OS gjordes vid 67 % mognad. KI för HR har justerats för tidigare interimanalyser. OS-analysen var inte justerad för de potentiellt störande effekterna av crossover (99 [71 %] patienter i kemoterapiarmen fick påföljande osimertinib-behandling).
b ORR- och DoR-resultat enligt prövarens bedömning var förenliga med de som rapporterades via BICR; ORR enligt BICR-bedömning var 64,9 % [95 % KI: 59,0; 70,5] på osimertinib och 34,3 % [95 % KI: 25,6; 42,8] på kemoterapi; DoR enligt BICR-bedömning var 11,2 månader (95 % KI: 8,3; NC) på osimertinib och 3,1 månader (95 % KI: 2,9; 4,3) på kemoterapi.
Figur 11. Kaplan-Meier-kurvor för progressionsfri överlevnad enligt prövarens bedömning i AURA3
En sensitivitetsanalys av PFS utfördes av en BICR och visade en median-PFS på 11,0 månader med TAGRISSO jämfört med 4,2 månader med kemoterapi. Denna analys påvisade en enhetlig behandlingseffekt (HR 0,28; 95 % KI: 0,20; 0,38) jämfört med den som observerades i prövarens bedömning.
Kliniskt meningsfulla förbättringar av PFS med HR under 0,50 till fördel för patienter som fick TAGRISSO jämfört med de som fick kemoterapi var enhetligt observerade i alla fördefinierade subgrupper som analyserades, inklusive etnicitet, ålder, kön, rökningshistorik och EGFR-mutation (Exon 19‑deletion och L858R).
Effektdata för CNS-metastaser i AURA3‑studien
Patienter med asymtomatiska, stabila hjärnmetastaser som inte kräver steroider under minst 4 veckor före starten av studiebehandlingen var kvalificerade att bli randomiserade i studien. En BICR‑bedömning av CNS‑effekt enligt RECIST v1.1 i subgruppen på 116/419 (28 %) patienter som hade identifierade CNS-metastaser vid en hjärnröntgen vid utgångsläget summeras i tabell 9.
Tabell 9. CNS-effekt enligt BICR hos patienter med påvisade CNS-metastaser med hjärnröntgen vid baslinjen i AURA3
Effektparameter | TAGRISSO | Kemoterapi (pemetrexed/cisplatin eller pemetrexed/karboplatin) |
---|---|---|
Objektiv CNS-responsfrekvensa | ||
CNS-responsfrekvens % (n/N) (95 % KI) | 70 % (21/30) (51; 85) | 31 % (5/16) (11 %, 59 %) |
Oddskvot (95 % KI); p-värde | 5,1 (1,4; 21); p=0,015 | |
CNS-responsdurationb | ||
Median-CNS-DoR, månader (95 % KI) | 8,9 (4,3; NC) | 5,7 (NC; NC) |
CNS-sjukdomskontrollfrekvens | ||
CNS‑sjukdomskontrollfrekvens % (n/N) (95 % KI) | 87 % (65/75) (77; 93) | 68 % (28/41) (52; 82) |
Oddskvot (95 % KI); p‑värde | 3 (1,2; 7,9); p=0,021 | |
CNS-progressionsfri överlevnadc | N=75 | N=41 |
Antal händelser (% mognad) | 19 (25) | 16 (39) |
Median-CNS-PFS, månader (95 % KI) | 11,7 (10; NC) | 5,6 (4,2; 9,7) |
HR (95 % KI); p‑värde | 0,32 (0,15; 0,69); p=0,004 |
a Objektiv responsfrekvens och varaktighet för respons för CNS fastställt enligt RECIST v1.1 med CNS-BICR i populationen som kunde utvärderas avseende respons (mätbara CNS-lesioner vid baslinjen enligt BICR) n=30 för TAGRISSO och n=16 för kemoterapi.
b Endast baserat på patienter med respons: DoR definieras som tiden från datumet för den första dokumenterade responsen (komplett eller partiell respons) fram till progression eller dödsfall; DCR definieras som andelen patienter med respons (komplett eller partiell respons), eller stabil sjukdom ≥ 6 veckor.
c CNS-progressionsfri överlevnad fastställd enligt RECIST v1.1 med CNS-BICR i den fullständiga analyskohorten (mätbara och icke mätbara CNS-lesioner vid baslinjen enligt BICR) n=75 för TAGRISSO och n=41 för kemoterapi.
En HR <1 är till fördel för TAGRISSO.
En förspecificerad subgruppsanalys av PFS baserad på status av CNS-metastaser vid inträde i studien utfördes i AURA3 och visas i figur 12.

Figur 12. Total PFS enligt prövarens bedömning baserat på status av CNS-metastaser vid inträdet i studien, Kaplan-Meier-kurvor (fullständig analysuppsättning) i AURA3
AURA3 uppvisade en statistiskt signifikant PFS-förbättring för patienter som fick TAGRISSO jämfört med de som fick kemoterapi oavsett status av CNS-metastaser vid inträdet i studien.
Patientrapporterade utfall
Patientrapporterade symtom och HRQL samlades in elektroniskt med användning av EORTC QLQ‑C30 och dess lungcancermodul (EORTC QLQ‑LC13). LC13 administrerades initialt en gång i veckan under de första 6 veckorna, sedan var tredje vecka före och efter progression. C30 bedömdes var sjätte vecka före och efter progression.
Analys av viktiga lungcancersymtom
TAGRISSO förbättrade patientrapporterade lungcancersymtom jämfört med kemoterapi genom att påvisa en statistiskt signifikant skillnad i genomsnittlig förändring från utgångsläget jämfört med kemoterapi under den totala tidsperioden från randomisering fram till 6 månader för 5 förspecificerade primära PRO-symtom (minskad aptit hosta, bröstsmärta, dyspné och trötthet) så som visas i tabell 10.
Tabell 10. Blandad modell för upprepade mätningar – medelförändring från baslinjen av viktiga lungcancersymtom hos patienter på TAGRISSO jämfört med kemoterapi
Minskad aptit | Hosta | Bröstsmärta | Dyspné | Trötthet | ||||||
Armar | TAGRISSO (279) | Kemo-terapi (140) | TAGRISSO (279) | Kemo-terapi (140) | TAGRISSO (279) | Kemo-terapi (140) | TAGRISSO (279) | Kemo-terapi (140) | TAGRISSO (279) | Kemo-terapi (140) |
N | 239 | 97 | 228 | 113 | 228 | 113 | 228 | 113 | 239 | 97 |
Justerat medelvärde | –5.51 | 2,73 | –12,22 | –6,69 | –5,15 | 0,22 | –5,61 | 1,48 | –5,68 | 4,71 |
Uppskattad differens (95 % KI) | –8,24 (–12,88; 3,60) | –5,53 (–8,89; –2,17) | –5,36 (–8,20; –2,53) | –7,09 (–9,86; –4,33) | –10,39 (–14,55; –6,23) | |||||
p‑värde | p <0,001 | p=0,001 | p<0,001 | p<0,001 | p<0,001 |
Justerat medelvärde och uppskattade differenser som erhållits från en MMRM-analys (Mixed Model Repeated Measures). Modellen inkluderade patient, behandling, besök, behandling-per-besökinteraktion, poäng för symtom vid utgångsläget, och symtompoäng-per-besökinteraktion vid utgångsläget och använde en ostrukturerad kovariansmatris.
HRQL och analys av fysisk funktionsförbättring
Patienter på TAGRISSO hade signifikant större chanser att uppnå en kliniskt meningsfull förbättring på mer än eller lika med 10 poäng i frågeformuläret för global hälsostatus och fysisk funktion, EORTC‑C30, jämfört med kemoterapi under studieperioden, oddskvot (OR) för global hälsostatus: 2,11; (95 % KI: 1,24; 3,67, p=0,007); OR för fysisk funktion 2,79 (95 % KI: 1,50; 5,46, p=0,002).
Förbehandlade T790M-positiva NSCLC-patienter – AURAex och AURA2
Två enarmade oblindade kliniska studier, AURAex (fas 2‑förlängningskohort, (n=201)) och AURA2 (n=210), utfördes på patienter med EGFR T790M-mutationspositiv lungcancer som hade progredierat på en eller flera tidigare systemiska behandlingar, inklusive en EGFR TKI. Alla patienter måste uppvisa EGFR T790M-mutationspositiv NSCLC identifierad med ett Cobas EGFR-mutationstest utfört vid ett centralt laboratorium före behandling. T790M-mutationsstatus bedömdes även retrospektivt med ctDNA extraherat från ett plasmaprov som togs under screening. Alla patienterna erhöll TAGRISSO 80 mg en gång om dagen. Det primära effektmåttet för dessa två studier var ORR enligt RECIST v1.1 utvärderat av en BICR. Sekundära effektmått innefattade DoR och PFS.
Patientkaraktäristika vid studiestart för den totala studiepopulationen (AURAex och AURA2) var följande: medianålder 63 år, 13 % av patienterna var ≥ 75 år, kvinnor (68 %), vita (36 %), asiater (60 %). Alla patienter hade erhållit minst en tidigare behandlingslinje. Trettioen procent (31 %) (N=129) hade erhållit en tidigare behandlingslinje (endast EGFR-TKI-behandling), 69 % (N=282) hade erhållit två eller fler tidigare linjer. Sjuttiotvå procent (72 %) av patienterna hade aldrig varit rökare, 100 % av patienterna hade en WHO-funktionsstatus på 0 eller 1. Femtionio procent (59 %) av patienterna hade extratorakala viscerala metastaser inklusive 39 med CNS-metastaser (identifierade per CNS-lesionsställe vid utgångsläget, medicinsk anamnes, och/eller tidigare operation och/eller tidigare strålbehandling av CNS-metastaser) och 29 % med levermetastaser. Fyrtiosju procent (47 %) av patienterna hade metastaserande skelettsjukdom. Uppföljningstiden var i median 12,6 månader för PFS.
För de 411 förbehandlade EGFR T790M‑mutationspositiva patienterna var total ORR enligt BICR 66 % (95 % KI: 61, 71). För patienter med ett bekräftat svar enligt BICR, var median‑DoR 12,5 månader (95 % KI: 11,1; NE). ORR enligt BICR i AURAex var 62 % (95 % KI: 55, 68) och 70 % (95 % KI: 63, 77) i AURA2. Median-PFS var 11,0 månader (95 % KI: 9,6; 12,4).
Objektiva responsfrekvenser enligt BICR på över 50 % observerades i alla fördefinierade subgrupper som analyserades, däribland behandlingslinje, etnicitet, ålder och region.
I populationen som kunde utvärderas avseende respons hade 85 % (223/262) dokumenterat respons vid tidpunkten för den första skanningen (6 veckor); 94 % (247/262) hade dokumenterat respons vid tidpunkten för den andra skanningen (12 veckor).
Effektdata för CNS-metastaser i fas 2‑studier (AURAex och AURA2)
En BICR-bedömning av CNS‑effekt enligt RECISTv 1.1 utfördes i en subgrupp på 50 (av 411) patienter som hade identifierade mätbara CNS‑metastaser i en hjärnröntgen vid utgångsläget. En CNS-ORR på 54 % (27/50 patienter; 95 % KI: 39,3; 68,2) observerades varav 12 % av dessa responser var kompletta.
Kliniska studier har inte utförts på patienter med de novo EGFR T790‑mutationspositiv NSCLC.
Pediatrisk population
Europeiska läkemedelsmyndigheten har beviljat undantag från kravet att skicka in studieresultat för TAGRISSO för alla grupper av den pediatriska populationen för NSCLC (information om pediatrisk användning finns i avsnitt Dosering och administreringssätt).
Farmakokinetiska egenskaper
Osimertinibs farmakokinetiska parametrar har karaktäriserats i friska frivilliga och NSCLC-patienter. Baserat på populationsbaserade farmakokinetiska analyser är osimertinibs plasmaclearance 14,3 l/tim, distributionsvolym 918 l och halveringstid cirka 44 timmar. Farmakokinetiken hos patienter som behandlas med osimertinib i kombination med pemetrexed och platinabaserad kemoterapi liknar den hos patienter som behandlas med osimertinib som monoterapi. AUC och Cmax ökade dosproportionerligt inom dosintervall på 20 till 240 mg. Administration av osimertinib en gång om dagen resulterar i ungefär trefaldig ackumulation med steady-state-nivåer uppnådda efter 15 dagars behandling. Vid steady-state ligger plasmakoncentrationerna oftast inom ett 1,6‑faldigt intervall under doseringsintervallet på 24 timmar.
Absorption
Efter oral administration av TAGRISSO uppnåddes maximala plasmakoncentrationer av osimertinib med en median för (min-max) tmax på 6 (3‑24) timmar med flera observerade toppar över de första 24 timmarna hos vissa patienter. Den genomsnittliga absoluta biotillgängligheten av TAGRISSO är 70 % (90 % CI 67, 73). Baserat på en klinisk farmakokinetisk studie på patienter vid 80 mg påverkas biotillgängligheten av osimertinib inte signifikant av mat. (AUC ökar med 6 % (90 % KI ‑5, 19) och Cmax minskar med 7 % (90 % KI ‑19, 6)). Hos friska frivilliga som fick TAGRISSO 80 mg samtidigt som magsäckens pH höjdes genom intag av omeprazol under fem dagar påverkades inte osimertinibexponeringen (AUC och Cmax ökade med 7 % respektive 2 %) med konfidensintervallet på 90 % för exponeringsförhållandet begränsat inom gränsvärdet 80‑125 %.
Distribution
Den populationsuppskattade medelvolymen för distribution vid steady-state (Vss/F) av osimertinib är 918 liter vilket tyder på omfattande distribution in i vävnad. In vitro är plasmaproteinbindning av osimertinib 94,7 % (5,3 % fritt). Osimertinib har även visats kunna bindas irreversibelt till plasmaproteiner i råtta och människa, serumalbumin i människa och leverceller i råtta och människa.
Metabolism
In vitro-studier indikerar att osimertinib metaboliseras huvudsakligen av CYP3A4 och CYP3A5. Med nuvarande tillgänglig data kan inte förekomsten av alternativa metaboliseringsvägar uteslutas. Baserat på in vitro-studier har två farmakologiskt aktiva metaboliter (AZ7550 och AZ5104) identifierats i plasman hos prekliniska djurmodeller och hos människa efter oral dosering med osimertinib; AZ7550 visade en liknande farmakologisk profil som TAGRISSO medan AZ5104 har visat högre aktivitet mot både muterad EGFR och EGFR av vildtyp.Båda metaboliterna dök upp långsamt i plasma efter administration av TAGRISSO till patienter med en median för (min-max) tmax på 24 (4‑72) respektive 24 (6‑72) timmar. I plasmaprover från människa utgjorde oförändrat osimertinib 0,8 % och de två metaboliterna utgjorde 0,08 % respektive 0,07 % av den totala radioaktiviteten, och majoriteten av radioaktiviteten var kovalent bunden till plasmaproteiner. Den geometriska medelexponeringen av både AZ5104 och AZ7550, baserat på AUC, var ungefär 10 % vardera av exponeringen av osimertinib vid steady-state.
Den huvudsakliga metaboliseringsvägen för osimertinib utgjordes av oxidering och dealkylering. Minst tolv komponenter observerades i de insamlade urin- och avföringsproverna hos människa där fem komponenter stod för > 1 % av dosen av vilken oförändrat osimertinib, AZ5104 och AZ7550, stod för cirka 1,9, 6,6 och 2,7 % av dosen medan en cysteinyl-addukt (M21) och en okänd metabolit (M25) stod för 1,5 % respektive 1,9 % av dosen.
Baserat på in vitro-studier är osimertinib en kompetitiv hämmare av CYP 3A4/5 men inte CYP1A2, 2A6, 2B6, 2C8, 2C9, 2C19, 2D6 och 2E1 vid kliniskt relevanta plasmakoncentrationer. Baserat på in vitro-studier är osimertinib inte en hämmare av UGT1A1 och UGT2B7 vid kliniskt relevanta koncentrationer i levern. Intestinalt hämmande av UGT1A1 är möjlig, men den kliniska effekten är okänd.
Eliminering
Efter en oral engångsdos på 20 mg kunde 67,8 % av dosen spåras i avföringen (1,2 % som oförändrat osimertinib) medan 14,2 % av den administrerade dosen (0,8 % som oförändrat osimertinib) återfanns i urinen vid 84 dagars insamlande av prover. Oförändrat osimertinib stod för cirka 2 % av elimineringen med 0,8 % i urinen och 1,2 % i avföringen.
Interaktioner med transportproteiner
In vitro-studier har visat att osimertinib inte är ett OATP1B1- och OATP1B3-substrat. In vitro hämmar osimertinib inte OAT1, OAT3, OATP1B1, OATP1B3, MATE1, OCT2 och MATE2K vid kliniskt relevanta koncentrationer.
Baserat på in vitro-studier är osimertinib ett substrat av P-gp och BCRP, men kliniskt relevanta interaktioner är osannolika vid kliniska doser. Baserat på in vitro-data är osimertinib en hämmare av BCRP och P‑gp (se avsnitt Interaktioner).
Särskilda populationer
I en populationsbaserad farmakokinetisk analys (n=1 367) identifierades inga kliniskt signifikanta relationer mellan den predikterade steady-state-exponeringen (AUCss) och patientens ålder (intervall: 25 till 91 år), kön (65 % kvinnor), etnicitet (inklusive vita, asiatiska, japanska, kinesiska och icke-asiatiska-icke-vita patienter), behandlingslinje och rökningsstatus (n=34 nuvarande rökare, n=419 tidigare rökare). Farmakokinetiska populationsanalyser indikerar att kroppsvikt är en signifikant kovariabel med en förändring på mindre än 20 % i osimertinibs AUCss uppskattat över ett kroppsviktsintervall mellan 88 kg och 43 kg (95 % till 5 % kvantiler) jämfört med AUCss för en medianvikt på 61 kg. Utifrån ytterlighetsvärdena vad gäller kroppsvikt, från < 43 kg till > 88 kg, varierade metabolithalterna av AZ5104 från 11,8 % till 9,6 % medan de för AZ7550 varierade mellan 12,8 % till 8,1 %. Baserat på populations-PK-analys identifierades serumalbumin som en signifikant kovariabel med en förändring på <30 % i osimertinibs AUCss uppskattat över albuminintervallet på 29 till 46 g/l (95 % till 5 % kvantiler) jämfört med AUCss för medianbaslinjen för albumin på 39 g/l. Dessa exponeringsförändringar på grund av skillnader i kroppsvikt eller albumin vid baslinjen anses inte vara kliniskt relevanta.
Nedsatt leverfunktion
Osimertinib elimineras i huvudsak via levern. I en klinisk studie var exponeringen inte högre hos patienter med olika typer av avancerade solida tumörer och med lindrigt nedsatt leverfunktion (Child-Pugh A, genomsnittspoäng =5,3, n=7) eller måttligt nedsatt leverfunktion (Child Pugh B, genomsnittspoäng =8,2, n=5) än hos patienter med normal leverfunktion (n=10) efter en engångsdos om 80 mg TAGRISSO. Kvoten för det geometriska medelvärdet (90 % KI) för AUC och Cmax för osimertinib var 63,3 % (47,3; 84,5) respektive 51,4 % (36,6; 72,3) hos patienter med lindrigt nedsatt leverfunktion och 68,4 % (49,6; 94,2) respektive 60,7 % (41,6; 88,6) hos patienter med måttligt nedsatt leverfunktion. För metaboliten AZ5104 var AUC och Cmax 66,5 % (43,4; 101,9) respektive 66,3 % (45,3; 96,9) hos patienter med lindrigt nedsatt leverfunktion och 50,9 % (31,7; 81,6) respektive 44,0 % (28,9; 67,1) hos patienter med måttligt nedsatt leverfunktion jämfört med exponeringen hos patienter med normal leverfunktion. Populationsbaserade farmakokinetiska analyser har inte visat något samband mellan leverfunktionsmarkörer (ALAT, ASAT, bilirubin) och osimertinibexponering. Leverfunktionsmarkören serumalbumin för nedsatt leverfunktion visade en korrelation med osimertinibs farmakokinetik. I de kliniska studier som genomförts exkluderades patienter med ASAT eller ALAT > 2,5 x övre gränsen för normalvärdet (ULN) eller > 5,0 x ULN om orsaken var påvisad malignitet eller om värdet för totalt bilirubin är > 1,5 x ULN. Baserat på en farmakokinetisk analys av 134 patienter med lindrigt nedsatt leverfunktion, 8 patienter med måttligt nedsatt leverfunktion och 1 216 patienter med normal leverfunktion var osimertinibexponeringarna likartade. Det finns inga tillgängliga data om patienter med svårt nedsatt leverfunktion (se avsnitt Dosering och administreringssätt).
Nedsatt njurfunktion
I en klinisk studie visade patienter med kraftigt nedsatt njurfunktion (CLcr 15 till mindre än 30 ml/min; n=7) en 1,85‑faldig ökning av AUC (90 % KI; 0,94, 3,64) och en 1,19‑faldig ökning av Cmax (90 % KI; 0,69, 2,07) jämfört med patienter med normal njurfunktion (CLcr högre än eller lika med 90 ml/min; n=8) efter en engångsdos om 80 mg TAGRISSO. Vidare, baserat på en populationsbaserad farmakokinetisk analys av 593 patienter med lindrigt nedsatt njurfunktion (CLcr 60 till mindre än 90 ml/min), 254 patienter med måttligt nedsatt njurfunktion (CLcr 30 till mindre än 60 ml/min), 5 patienter med kraftigt nedsatt njurfunktion (CLcr 15 till mindre än 30 ml/min) och 502 patienter med normal njurfunktion (högre än eller lika med 90 ml/min), var osimertinibexponeringarna likartade. Patienter med CLcr på mindre än eller lika med 10 ml/min inkluderades inte i de kliniska studierna.
Patienter med hjärnmetastaser
Efter administrering av mikrodoser av [11C]osimertinib till EGFR-mutationspositiva NSCLC-patienter med hjärnmetastaser (n = 4) och friska frivilliga (n = 7) visade PET-bilder liknande koncentrationsförhållande av [11C]osimertinib mellan hjärnvävnad och plasma (Kp) och att [11C]osimertinib passerade blod-hjärnbarriären snabbt och var homogent fördelat över alla delar av hjärnan hos både patienter och friska frivilliga.
Prekliniska säkerhetsuppgifter
De huvudsakliga fynd som observerats i toxicitetsstudier med upprepad dosering av råttor och hundar bestod framförallt av atrofiska, inflammatoriska och/eller degenerativa förändringar som påverkar hornhinnans epitel (åtföljd av genomskinlig och grumlad hornhinna hos hundar vid ögonundersökningar), GI-systemet (däribland tungan), huden och reproduktionssystem hos hanar och honor med sekundära förändringar i mjälten. Dessa fynd inträffade vid plasmakoncentrationer under de nivåer som uppmätts hos patienter vid en behandlingsdos på 80 mg. De fynd som kunde observeras efter 1 månads dosering var i huvudsak reversibla inom 1 månads utsättande av doseringen med undantag av partiell återhämtning gällande några av hornhinneförändringarna.
I den 104 veckor långa karcinogenicitetsstudien i råtta påträffades degenerering av linsfibrer vid exponeringar 0,2 gånger AUC hos människa, vid den rekommenderade kliniska dosen 80 mg en gång dagligen. Grumling av lins noterades från vecka 52 i denna studie och visade på en gradvis ökning av incidens och svårighetsgrad med ökad doseringstid. Den kliniska relevansen av dessa fynd kan inte uteslutas.
Osimertinib penetrerade den intakta blod-hjärnbarriären hos cynomolgusapa (intravenös dosering), råtta och mus (oral administrering).
Icke-kliniska data indikerar att osimertinib och dess metabolit (AZ1504) hämmar h-ERG-kanalen och en QTc-förlängningseffekt kan inte uteslutas.
Osimertinib orsakade ingen genetisk skada vid in vitro- och in vivo-analyser. Osimertinib visade ingen karcinogen potential vid oral administrering till Tg rasH2-transgena möss i 26 veckor. En ökad incidens av proliferativa vaskulära lesioner (angiomatös hyperplasi och hemangiom) i mesenterisk lymfkörtel observerades i den 104 veckor långa karcinogenicitetsstudien i råtta vid exponeringar 0,2 gånger AUC hos människa vid den rekommenderade kliniska dosen 80 mg en gång dagligen, och är sannolikt ej relevant för människa.
Reproduktionstoxicitet
Degenerativa förändringar kunde påvisas i testiklarna hos råttor och hundar som exponerats för osimertinib i ≥ 1 månad och en reduktion i hanars fertilitet hos råttor efter exponering av osimertinib under 3 månader observerades. Dessa fynd sågs vid kliniskt relevanta plasmakoncentrationer. Patologiska fynd i testiklarna som observerades efter 1 månads dosering var reversibla hos råtta. Ett definitivt uttalande angående reversibiliteten av dessa lesioner hos hund kan dock inte med säkerhet göras.
Baserat på djurstudier, kan fertiliteten hos kvinnor försämras på grund av behandlingen med osimertinib. I toxicitetsstudier med upprepad dosering kunde en ökad incidens av anöstrus, corpora lutea-degenerering i äggstockarna observeras. Vidare kunde en uttunning av epitelvävnaden i livmoder och vagina hos råttor vilka exponerats för osimertinib ≥ 1 månad noteras vid kliniskt relevanta plasmakoncentrationer. Fynd som observerades i äggstockarna efter 1 månads dosering var reversibla. I en fertilitetstudie på honråttor hade administrering av osimertinib på daglig dos av 20 mg/kg (motsvarande ungefär den rekommenderade dagliga kliniska dosen på 80 mg) ingen effekt på brunstcyckeln eller på antalet honråttor som blev dräktiga, men det ledde till tidig embryonal död. Dessa fynd visade bevis på reversibilitet en månad efter avslutad behandling.
I en modifierad embryofetal utvecklingsstudie i råtta orsakade osimertinib embryoletalitet när det administrerades till dräktiga råttor före embryonal implantation. Dessa effekter sågs vid en maternal tolererad dos på 20 mg/kg vilket motsvarade exponering hos människa vid den rekommenderade dosen 80 mg dagligen (baserat på total AUC). Exponering vid doser på 20 mg/kg och mer under organutveckling orsakade minskad fostervikt, men inga negativa effekter på extern eller visceral fostermorfologi kunde noteras. När osimertinib administrerades till dräktiga honråttor under hela dräktigheten och sedan under tidig digivning kunde osimertinib och dess metaboliter påvisas i diande ungar, vidare kunde en sämre tillväxt och minskad överlevnad observeras hos ungarna (vid doser på 20 mg/kg och högre).
Farmaceutiska uppgifter
Förteckning över hjälpämnen
Tablettkärna
Mannitol
Mikrokristallin cellulosa
L-HPC (low-substituted hydroxpropyl cellulose)
Natriumstearylfumarat
Tablettdragering
Polyvinylalkohol
Titandioxid (E 171)
Makrogol 3350
Talk
Gul järnoxid (E 172)
Röd järnoxid (E 172)
Svart järnoxid (E 172)
Inkompatibiliteter
Ej relevant.
Hållbarhet
3 år.
Särskilda förvaringsanvisningar
Inga särskilda förvaringsanvisningar.
Förpackningstyp och innehåll
Markkinoilla olevat pakkaukset
Resepti
TAGRISSO tabletti, kalvopäällysteinen
40 mg (L:ei) 30 x 1 fol (5639,90 €)
80 mg (L:ei) 30 x 1 fol (5639,90 €)
PF-selosteen tieto
Perforerade Al/Al‑blister innehållande enhetsdoser. Kartonger om 30 x 1 tabletter (3 blister).
Perforerade Al/Al‑blister innehållande enhetsdoser. Kartonger om 28 x 1 tabletter (4 blister).
Eventuellt kommer inte alla förpackningsstorlekar att marknadsföras.
Läkemedlets utseende:
TAGRISSO 40 mg tabletter
Beige, rund, bikonvex tablett i storleken 9 mm, märkt med ”AZ” och ”40” på ena sidan och den andra sidan är tom.
TAGRISSO 80 mg tabletter
Beige, oval, bikonvex tablett i storleken 7,25 x 14,5 mm, märkt med ”AZ” och ”80” på ena sidan och den andra sidan är tom.
Särskilda anvisningar för destruktion och övrig hantering
Ej använt läkemedel och avfall ska kasseras enligt gällande anvisningar.
Ersättning
TAGRISSO tabletti, kalvopäällysteinen
40 mg 30 x 1 fol
80 mg 30 x 1 fol
- Ylempi erityiskorvaus (100 %). Osimertinibi: Ei-pienisoluisen keuhkosyövän hoito aikuispotilailla erityisin edellytyksin (1519).
- Rajoitettu peruskorvaus lääkärin lausunnolla (40 %). Osimertinibi: Ei-pienisoluisen keuhkosyövän hoito aikuispotilailla erityisin edellytyksin (3004).
Atc-kod
L01EB04
Datum för översyn av produktresumén
19.12.2024
Yhteystiedot
Keilaranta 18
02150 Espoo
010 23 010
www.astrazeneca.fi