Vertaa PF-selostetta

IMRALDI injektionsvätska, lösning i förfylld injektionspenna 40 mg/0,4 ml

Lääketurva

Riskienminimointimateriaalit

Potilas

Kvalitativ och kvantitativ sammansättning

Imraldi 40 mg injektionsvätska, lösning i förfylld injektionspenna

Varje 0,4 ml endos förfylld injektionspenna innehåller 40 mg adalimumab.

Adalimumab är en rekombinant human monoklonal antikropp producerad i CHO (Chinese Hamster Ovary‑celler).

Hjälpämnen med känd effekt

Detta läkemedel innehåller inga hjälpämnen med känd effekt.

För fullständig förteckning över hjälpämnen, se avsnitt Förteckning över hjälpämnen.

Läkemedelsform

Injektionsvätska, lösning (injektionsvätska)

Kliniska uppgifter

Terapeutiska indikationer

Reumatoid artrit

Imraldi i kombination med metotrexat är indicerat för:

  • behandling av måttlig till svår, aktiv reumatoid artrit hos vuxna patienter när andra sjukdomsmodifierande anti‑reumatiska läkemedel inklusive metotrexat inte haft tillräcklig effekt.
  • behandling av svår, aktiv och progredierande reumatoid artrit hos vuxna som inte tidigare behandlats med metotrexat.

Imraldi kan ges som monoterapi då metotrexat inte tolereras eller när fortsatt behandling med metotrexat är olämplig.

Adalimumab har visats reducera progressionhastigheten av ledskadan mätt med röntgen, och förbättra den fysiska funktionen, när det används i kombination med metotrexat.

Juvenil idiopatisk artrit

Polyartikulär juvenil idiopatisk artrit

Imraldi i kombination med metotrexat är indicerat för behandling av aktiv polyartikulär juvenil idiopatisk artrit, hos patienter från 2 års ålder som har svarat otillräckligt på en eller flera sjukdomsmodifierande antireumatiska läkemedel (DMARDs). Imraldi kan ges som monoterapi vid intolerans för metotrexat eller då fortsatt behandling med metotrexat är olämplig (för effekt vid monoterapi, se avsnitt Farmakodynamiska egenskaper). Adalimumab har inte studerats hos patienter yngre än 2 år.

Entesitrelaterad artrit

Imraldi är indicerat för behandling av aktiv entesitrelaterad artrit hos patienter, 6 år och äldre, som inte svarat på eller som inte tolererar konventionell terapi (se avsnitt Farmakodynamiska egenskaper).

Axial spondylartrit

Ankyloserande spondylit (AS)

Imraldi är indicerat för behandling av svår aktiv ankyloserande spondylit hos vuxna som inte svarat tillfredställande på konventionell behandling.

Axial spondylartrit utan radiografiska tecken på AS

Imraldi är indicerat för behandling av vuxna med allvarlig axial spondylartrit utan radiografiska tecken på AS men med tydliga tecken på inflammation via förhöjt CRP och/eller MR, som inte har svarat tillräckligt på, eller är intoleranta mot icke‑steroida antiinflammatoriska läkemedel (NSAID).

Psoriasisartrit

Imraldi är indicerat för behandling av aktiv och progredierande psoriasisartrit hos vuxna när andra sjukdomsmodifierande anti‑reumatiska läkemedel inte haft tillräcklig effekt.

Adalimumab har visat sig reducera progressionshastigheten av perifer ledskada uppmätt med röntgen hos patienter med polyartikulär symmetrisk subtyp av sjukdomen (se avsnitt Farmakodynamiska egenskaper) och har även visat förbättring av den fysiska funktionen.

Psoriasis

Imraldi är indicerat för behandling av måttlig till svår kronisk plackpsoriasis hos vuxna patienter som är aktuella för systemisk behandling.

Pediatriska patienter med plackpsoriasis

Imraldi är indicerat för behandling av svår kronisk plackpsoriasis hos barn och ungdomar från 4 års ålder som inte har svarat på eller som är olämpliga för topikal behandling och ljusbehandling.

Hidradenitis suppurativa (HS)

Imraldi är indicerat för behandling av måttlig till svår aktiv hidradenitis suppurativa (acne inversa) hos vuxna och ungdomar från 12 års ålder som inte har svarat tillräckligt på konventionell systemisk HS‑behandling (se avsnitt Farmakodynamiska egenskaper och Farmakokinetiska egenskaper).

Crohns sjukdom

Imraldi är indicerat för behandling av måttlig till svår, aktiv Crohns sjukdom hos vuxna patienter som inte svarat trots fullständig och adekvat behandling med kortikosteroider och/eller immunsuppressiv behandling; eller som är intoleranta eller har medicinska kontraindikationer för sådan behandling.

Pediatriska patienter med Crohns sjukdom

Imraldi är indicerat för behandling av måttlig till svår, aktiv Crohns sjukdom hos pediatriska patienter (från 6 års ålder) som inte har svarat på konventionell terapi inklusive primär nutritionsterapi och en kortikosteroid och/eller en immunmodulerare eller som är intoleranta mot eller har kontraindikationer mot sådan behandling.

Ulcerös kolit

Imraldi är indicerat för behandling av måttlig till svår aktiv ulcerös kolit hos vuxna patienter som svarat otillfredsställande på konventionell behandling omfattande kortikosteroider och 6‑merkaptopurin (6‑MP) eller azatioprin (AZA) eller i fall där sådan behandling inte tolereras eller är kontraindicerad.

Pediatriska patienter med ulcerös kolit

Imraldi är indicerat för behandling av måttlig till svår aktiv ulcerös kolit hos pediatriska patienter (från 6 års ålder) som svarat otillfredsställande på konventionell behandling omfattande kortikosteroider och/eller 6‑merkaptopurin (6‑MP) eller azatioprin (AZA) eller i fall där sådan behandling inte tolereras eller är kontraindicerad.

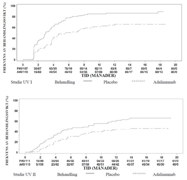
Uveit

Imraldi är indicerat för behandling av icke‑infektiös intermediär, bakre och panuveit hos vuxna patienter som svarat otillräckligt på kortikosteroider, hos patienter som behöver kortikosteroidsparande behandling eller hos patienter där kortikosteroidbehandling inte är lämpligt.

Pediatriska patienter med uveit

Imraldi är indicerat för behandling av pediatrisk icke‑infektiös kronisk främre uveit hos patienter från 2 års ålder som inte har svarat tillräckligt eller som inte tolererar konventionell behandling eller där konventionell behandling inte är lämpligt.

Villkor

Hoito tulee toteuttaa indikaation mukaiseen hoitoon perehtyneen lääkärin aloittamana ja valvonnassa. Hoitoa saaville potilaille tulee antaa erityinen potilaskortti.

Dosering och administreringssätt

Behandling med Imraldi bör initieras och övervakas av specialist med erfarenhet av diagnos och behandling av tillstånd där Imraldi är indicerat. Oftalmologer rekommenderas att konsultera en lämplig specialist innan behandling med Imraldi påbörjas (se avsnitt Varningar och försiktighet). Patienter som behandlas med Imraldi ska få Patientkortet.

Efter noggrann instruktion i injektionsteknik, kan patienterna själva injicera Imraldi om deras läkare beslutar att det är lämpligt och om de kan få medicinsk uppföljning vid behov.

Under behandling med Imraldi bör andra behandlingar som ges samtidigt (t.ex. kortikosteroider och/eller immunmodulerande ämnen) optimeras.

Dosering

Reumatoid artrit

Den rekommenderade dosen av Imraldi för vuxna patienter med reumatoid artrit är 40 mg adalimumab administrerat varannan vecka som en singeldos via subkutan injektion. Behandling med metotrexat ska fortsätta under behandling med Imraldi.

Behandling med glukokortikoider, salicylater, icke‑steroida antiinflammatoriska läkemedel (NSAID) eller analgetika kan fortsätta under behandling med Imraldi. Angående kombination med andra sjukdomsmodifierande antireumatiska läkemedel än metotrexat, se avsnitt Varningar och försiktighet och Farmakodynamiska egenskaper.

Vid monoterapi, kan vissa patienter som får ett minskat svar på Imraldi 40 mg varannan vecka ha nytta av en ökning av dosen till 40 mg adalimumab varje vecka eller 80 mg varannan vecka.

Tillgängliga data tyder på att det kliniska svaret vanligtvis uppnås inom 12 veckors behandling.

Fortsatt behandling bör omprövas hos en patient som inte svarat inom denna tidsperiod.

Dosavbrott

Det kan finnas ett behov av dosavbrott, till exempel före kirurgi eller om en allvarlig infektion uppstår.

Tillgängliga data tyder på att återinsättande av adalimumab efter behandlingsavbrott i 70 dagar eller längre resulterade i samma omfattning av kliniskt svar och liknande säkerhetsprofil som före dosavbrott.

Ankyloserande spondylit, axial spondylartrit utan radiografiska tecken på AS och psoriasisartrit

Den rekommenderade dosen av Imraldi till patienter med ankyloserande spondylit, axial spondylartrit utan radiografiska tecken på AS och psoriasisartrit är 40 mg adalimumab administrerat varannan vecka som en singeldos via subkutan injektion.

Tillgängliga data tyder på att det kliniska svaret vanligtvis uppnås inom 12 veckors behandling. Fortsatt behandling bör omprövas hos en patient som inte svarar på behandling inom denna tidsperiod.

Psoriasis

Den rekommenderade dosen av Imraldi för vuxna patienter är en startdos på 80 mg administrerat subkutant, följt av 40 mg som ges subkutant varannan vecka med början en vecka efter startdosen.

Fortsatt behandling efter 16 veckor ska noggrant övervägas hos en patient som inte svarar inom denna tidsperiod.

Patienter som inte svarar tillräckligt på behandlingen efter 16 veckor med Imraldi 40 mg varannan vecka kan dra nytta av en ökning av dosen till 40 mg varje vecka eller 80 mg varannan vecka. Nyttan och risken med fortsatt behandling med 40 mg varje vecka eller 80 mg varannan vecka ska noggrant övervägas hos en patient som inte svarar tillräckligt på behandlingen efter en ökning av dosen (se avsnitt Farmakodynamiska egenskaper). Om patienten svarar tillfredställande på behandlingen med 40 mg varje vecka eller 80 mg varannan vecka kan dosen därefter minskas till 40 mg varannan vecka.

Hidradenitis suppurativa

Den rekommenderade doseringen av Imraldi för vuxna patienter med hidradenitis suppurativa (HS) är initialt 160 mg vid dag 1 (dosen kan ges som fyra 40 mg injektioner på en dag eller som två 40 mg injektioner per dag i två dagar i följd), följt av 80 mg två veckor senare på dag 15 (dosen kan ges som två 40 mg injektioner samma dag). Två veckor senare (dag 29) fortsätts behandlingen med 40 mg varje vecka eller 80 mg varannan vecka (givet som två 40 mg injektioner på en dag). Vid behov kan antibiotika ges fortsatt under behandling med Imraldi. Det rekommenderas att patienten dagligen använder en topikal antiseptisk lösningpå sina HS‑lesioner under behandling med Imraldi.

Fortsatt behandling efter 12 veckor ska noggrant övervägas hos en patient som inte svarat inom denna tidsperiod.

Om behandlingen avbryts kan Imraldi 40 mg varje vecka eller 80 mg varannan vecka återinsättas (se avsnitt Farmakodynamiska egenskaper).

Nyttan och risken med fortsatt långtidsbehandling bör utvärderas regelbundet (se avsnitt Farmakodynamiska egenskaper).

Crohns sjukdom

Den rekommenderade induktionsdosen av Imraldi för vuxna patienter med måttlig till svår, aktiv Crohns sjukdom är 80 mg vecka 0 följt av 40 mg vecka 2. Om det är nödvändigt med ett snabbare svar på behandlingen kan dosen 160 mg vecka 0 (givet som fyra 40 mg injektioner på en dag eller som två 40 mg injektioner per dag i två dagar i följd), följt av 80 mg vecka 2 (givet som två 40 mg injektioner på en dag) användas med vetskapen om att risken för biverkningar är högre under induktion.

Efter induktionsbehandling är den rekommenderade dosen 40 mg varannan vecka genom subkutan injektion. Alternativt, om en patient har slutat med Imraldi och tecken och symtom på sjukdomen återkommer kan Imraldi återinsättas. Erfarenhet av återinsättande efter mer än 8 veckor sedan den senaste dosen är begränsad.

Vid underhållsbehandling kan kortikosteroiderna trappas ut i enlighet med kliniska riktlinjer.

Patienter som försämras avseende terapisvar av Imraldi 40 mg varannan vecka kan ha fördel av att ändra dosen till 40 mg Imraldi varje vecka eller 80 mg varannan vecka.

Patienter som inte har svarat på behandlingen vid vecka 4 kan ha fördel av att fortsätta behandling till och med vecka 12. Fortsatt behandling av en patient som ej svarat på behandling under denna tid, bör tas under noggrant övervägande.

Ulcerös kolit

Den rekommenderade Imraldi induktionsdoseringen för vuxna patienter med måttlig till svår ulcerös kolit är 160 mg vecka 0 (givet som fyra 40 mg injektioner under en dag eller som två 40 mg injektioner per dag under två på varandra följande dagar) och 80 mg vecka 2 (givet som två 40 mg injektioner på en dag). Efter induktionsbehandling är den rekommenderade dosen 40 mg varannan vecka i form av subkutan injektion.

Vid underhållsbehandling kan dosen för kortikosteroider minskas enligt gällande kliniska behandlingsriktlinjer.

Vissa patienter som upplever att behandlingssvaret minskar med Imraldi 40 mg varannan vecka kan ha fördel av att dosen av Imraldi ökas till 40 mg varje vecka eller 80 mg varannan vecka.

Tillgängliga data tyder på att kliniskt svar vanligtvis uppnås inom 2‑8 veckors behandlingstid. Fortsatt behandling rekommenderas inte för patienter som inte svarat inom denna tid.

Uveit

Den rekommenderade dosen av Imraldi för vuxna patienter med uveit är en startdos på 80 mg, följt av 40 mg varannan vecka med början en vecka efter startdosen. Det finns begränsad erfarenhet av att påbörja behandling med Imraldi som monoterapi. Behandling med Imraldi kan initieras i kombination med kortikosteroider och/eller med andra icke‑biologiska immunmodulerande medel. Samtidig behandling med kortikosteroider kan minskas i enlighet med klinisk praxis, med början två veckor efter påbörjad behandling med Imraldi.

Det rekommenderas att utvärdera nyttan och risken med fortsatt långtidsbehandling årligen (se avsnitt Farmakodynamiska egenskaper).

Särskilda populationer

Äldre

Ingen dosjustering krävs.

Försämrad njur- och/eller leverfunktion

Adalimumab har inte studerats i dessa patientpopulationer.Ingen dosrekommendation kan göras.

Pediatrisk population

Imraldi förfylld injektionspenna finns bara som en dos om 40 mg. Det är således inte möjligt att administrera Imraldi förfylld injektionspenna till pediatriska patienter som kräver mindre än hel dos om 40 mg. Om en alternativ dos krävs ska andra beredningar som erbjuder ett sådant alternativ användas.

Juvenil idiopatisk artrit

Polyartikulär juvenil idiopatisk artrit från 2 års ålder

Den rekommenderade dosen av Imraldi för patienter med polyartikulär juvenil idiopatisk artrit från 2 års ålder baseras på kroppsvikt (tabell 1). Imraldi administreras varannan vecka via subkutan injektion.

Tabell 1. Imraldi dosering för patienter med polyartikulär juvenil idiopatisk artrit

Kroppsvikt

Doseringsregim

10 kg till < 30 kg

20 mg varannan vecka

≥ 30 kg

40 mg varannan vecka

Tillgänglig data tyder på att kliniskt svar vanligtvis erhålls inom 12 veckors behandling. Fortsatt behandling ska noga övervägas hos patienter som inte svarar inom detta tidsintervall.

Det finns ingen relevant användning av adalimumab för patienter under 2 år för denna indikation.

Entesitrelaterad artrit

Den rekommenderade dosen av Imraldi hos patienter med entesitrelaterad artrit från 6 års ålder baseras på kroppsvikt (tabell 2). Imraldi administreras varannan vecka via subkutan injektion.

Tabell 2. Imraldi dosering för patienter med entesitrelaterad artrit

Kroppsvikt

Doseringsregim

15 kg till < 30 kg

20 mg varannan vecka

≥ 30 kg

40 mg varannan vecka

Adalimumab har inte studerats hos patienter med entesitrelaterad artrit yngre än 6 år.

Pediatriska patienter med plackpsoriasis

Den rekommenderade dosen av Imraldi för patienter med plackpsoriasis 4–17 år baseras på kroppsvikt (tabell 3). Imraldi administreras varannan via subkutan injektion.

Tabell 3. Imraldi dosering för pediatriska patienter med plackpsoriasis

Kroppsvikt

Doseringsregim

15 kg till < 30 kg

Startdos på 20 mg, följt av 20 mg varannan vecka med start en vecka efter startdosen.

≥ 30 kg

Startdos på 40 mg, följt av 40 mg varannan vecka med start en vecka efter startdosen.

Fortsatt behandling längre än 16 veckor ska noga övervägas hos patienter som inte svarat på behandlingen inom den tidsperioden.

Om återinsättning av Imraldi är motiverat ska ovanstående dosering och behandlingslängd följas.

Säkerheten för adalimumab hos pediatriska patienter med plackpsoriasis har studerats i ett genomsnitt av 13 månader.

Det finns ingen relevant användning av adalimumab hos barn som är yngre än 4 år för denna indikation.

Ungdomar med hidradenitis suppurativa (från 12 års ålder som väger minst 30 kg)

Det finns inga kliniska studier med adalimumab hos ungdomar med HS. Doseringen av adalimumab hos dessa patienter har bestämts genom farmakokinetisk modellering och simulering (se avsnitt Farmakokinetiska egenskaper).

Den rekommenderade doseringen av Imraldi är 80 mg vid vecka 0 följt av 40 mg varannan vecka med start vecka 1 genom en subkutan injektion.

Hos ungdomar med ett otillräckligt svar på Imraldi 40 mg varannan vecka kan en ökning av dosen till 40 mg varje vecka eller 80 mg varannan vecka övervägas.

Vid behov kan antibiotika ges fortsatt under behandling med Imraldi. Det rekommenderas att patienten dagligen använder en topikal antiseptisk lösning på sina HS‑lesioner under behandling med Imraldi.

Fortsatt behandling efter 12 veckor ska noggrant övervägas hos en patient som inte svarat inom denna tidsperiod.

Om behandlingen avbryts kan Imraldi återinsättas vid behov.

Nyttan och risken med fortsatt långtidsbehandling bör utvärderas regelbundet (se data för vuxna i avsnitt Farmakodynamiska egenskaper).

Det finns ingen relevant användning av adalimumab för barn yngre än 12 år för denna indikation.

Pediatriska patienter med Crohns sjukdom

Den rekommenderade dosen av Imraldi för patienter med Crohns sjukdom 6–17 år baseras på kroppsvikt (tabell 4). Imraldi administreras via subkutan injektion.

Tabell 4. Imraldi dosering för pediatriska patienter med Crohns sjukdom

Kroppsvikt

Induktionsdos

Underhållsdos med start vecka 4

< 40 kg

  • 40 mg vecka 0 och 20 mg vecka 2

 

I de fall som kräver ett snabbare behandlingssvar, kan följande dos användas, med medvetenheten att risken för biverkningar kan vara högre vid användning av den högre induktionsdosen:

  • 80 mg vecka 0 och 40 mg vecka 2

20 mg varannan vecka

≥ 40 kg

  • 80 mg vecka 0 och 40 mg vecka 2

 

I de fall som kräver ett snabbare behandlingssvar, kan följande dos användas, med medvetenheten att risken för biverkningar kan vara högre vid användning av den högre induktionsdosen:

  • 160 mg vecka0 och 80 mg vecka 2

40 mg varannan vecka

De patienter som uppvisar ett otillräckligt terapisvar kan ha fördel av att höja dosen till:

  • < 40 kg: 20 mg varje vecka
  • ≥ 40 kg: 40 mg varje vecka eller 80 mg varannan vecka

Fortsatt behandling ska noga övervägas hos patienter som ej svarar efter 12 veckor.

Det finns ingen relevant användning av adalimumab för barn under 6 år för denna indikation.

Pediatrisk ulcerös kolit

Den rekommenderade dosen av Imraldi för patienter 6‑17 år med ulcerös kolit baseras på kroppsvikt (tabell 5). Imraldi administreras via subkutan injektion.

Tabell 5. Imraldi dosering för pediatriska patienter med ulcerös kolit

Kroppsvikt

Induktionsdos

Underhållsdos med start vecka 4*

< 40 kg

  • 80 mg vecka 0 (givet som två 40 mg injektioner under en dag) och
  • 40 mg vecka 2 (givet som en 40 mg injektion)
  • 40 mg varannan vecka

≥ 40 kg

  • 160 mg vecka 0 (givet som fyra 40 mg injektioner under en dag eller två 40 mg injektioner per dag under två på varandra följande dagar och
  • 80 mg vecka 2 (givet som två 40 mg injektioner på en dag)
  • 80 mg varannan vecka

*Pediatriska patienter som fyller 18 år medan de står på Imraldi ska fortsätta med sin ordinerade underhållsdos.

Fortsatt behandling efter 8 veckor bör övervägas noggrant för patienter som inte visar tecken på svar inom denna tidsperiod.

Det finns ingen relevant användning av Imraldi för barn under 6 år för denna indikation.

Imraldi kan finnas tillgängligt i olika styrkor och/eller förpackningstyper beroende på det individuella behandlingsbehovet.

Psoriasisartrit och axial spondylartrit inklusive ankyloserande spondylit

Det finns ingen relevant användning av adalimumab för en pediatrisk population för indikationerna, ankyloserande spondylit och psoriasisartrit.

Pediatrisk uveit

Den rekommenderade dosen av Imraldi för pediatriska patienter med uveit från 2 års ålder baseras på kroppsvikt (tabell 6). Imraldi administreras via subkutan injektion.

Det saknas erfarenhet av behandling med adalimumab utan samtidig behandling med metotrexat vid pediatrisk uveit.

Tabell 6. Imraldi dosering för pediatriska patienter med uveit

Kroppsvikt

Doseringsregim

< 30 kg

20 mg varannan vecka i kombination med metotrexat

≥ 30 kg

40 mg varannan vecka i kombination med metotrexat

När behandling med Imraldi påbörjas, kan en laddningsdos på 40 mg för patienter < 30 kg eller 80 mg för patienter ≥ 30 kg administreras en vecka före start av underhållsbehandlingen. Inga kliniska data finns tillgängliga för användning av en laddningsdos av adalimumab hos barn < 6 år (se avsnitt Farmakokinetiska egenskaper).

Det finns ingen relevant användning av adalimumab hos barn under 2 år för denna indikation.

Det rekommenderas att nyttan och risken med fortsatt långtidsbehandling utvärderas årligen (se avsnitt Farmakodynamiska egenskaper).

Administreringssätt

Imraldi administreras via subkutan injektion. Kompletta användarinstruktioner finns i bipacksedeln.

En 40 mg förfylld injektionspenna finns tillgänglig för patienter för att administrera en full dos på 40 mg.

Kontraindikationer

Överkänslighet mot den aktiva substansen eller mot något hjälpämne som anges i avsnitt Förteckning över hjälpämnen.

Aktiv tuberkulos eller andra allvarliga infektioner såsom sepsis och andra opportunistiska infektioner (se avsnitt Varningar och försiktighet).

Måttlig till svår hjärtsvikt (NYHA klass III/IV) (se avsnitt Varningar och försiktighet).

Varningar och försiktighet

Spårbarhet

För att underlätta spårbarhet av biologiska läkemedel ska läkemedlets namn och tillverkningssatsnummer dokumenteras.

Infektioner

Patienter som tar TNF‑antagonister är mer mottagliga för allvarliga infektioner. Försämrad lungfunktion kan öka risken för att utveckla infektioner. Patienter måste därför monitoreras noggrant med avseende på infektioner, inklusive tuberkulos, före, under och efter behandling med Imraldi. Eftersom eliminering av adalimumab kan ta upp till fyra månader, ska monitorering fortsätta under denna period.

Behandling med Imraldi bör inte påbörjas hos patienter med pågående infektioner, inkluderande kroniska eller lokaliserade infektioner tills infektionerna har behandlats adekvat. Hos patienter som har exponerats för tuberkulos och patienter som har rest i områden med hög risk för tuberkulos och endemiska mykoser såsom histoplasmos, koccidioidomykos, eller blastomykos, ska risk och nytta med Imraldi‑behandling övervägas före behandlingen påbörjas (se Andra opportunistiska infektioner).

Patienter som utvecklar en ny infektion under tiden för behandling med Imraldi ska monitoreras noga och genomgå en fullständig diagnostisk utvärdering. Behandling med Imraldi ska avbrytas om en patient utvecklar en ny allvarlig infektion eller sepsis och lämplig antimikrobiell eller antimykotisk behandling ska påbörjas, tills infektionerna är under kontroll. Läkare ska vara återhållsamma med behandling med Imraldi till patienter som tidigare haft återkommande infektioner, eller som har bakomliggande tillstånd som kan göra patienterna mer infektionskänsliga, inklusive samtidig användning av immunsuppressiva läkemedel.

Allvarliga infektioner

Allvarliga infektioner, inklusive sepsis, p.g.a. bakteriell, mykobakteriell, invasiva svamp-, parasit-, virus- eller andra opportunistiska infektioner såsom listerios, legionella och pneumocystis har rapporterats hos patienter som får adalimumab.

Andra allvarliga infektioner som har setts i kliniska prövningar inkluderar pneumoni, pyelonefrit, septisk artrit och septikemi. Sjukhusinläggning eller dödlig utgång associerad med infektioner har rapporterats.

Tuberkulos

Tuberkulos inklusive reaktivering och nyinsjuknande i tuberkulos, har rapporterats hos patienter som tar adalimumab. Rapporterna inkluderade fall av pulmonell och extrapulmonell (dvs. disseminerad) tuberkulos.

Före behandlingsstart med Imraldi måste alla patienter utvärderas för både aktiv och inaktiv (”latent”) tuberkulosinfektion. Denna utvärdering ska inkludera en detaljerad klinisk utvärdering av patienthistorik av tuberkulos eller möjliga tidigare exponering för människor med aktiv tuberkulos och tidigare och/eller pågående immunsuppressiv behandling. Lämpliga screeningtest (dvs. tuberkulintest och lungröntgen) ska utföras på alla patienter (lokala rekommendationer kan förekomma). Det rekommenderas att utförandet och resultatet av dessa tester noteras på Patientkortet. Förskrivare påminns om risken för falska negativa tuberkulintestresultat, speciellt hos patienter med allvarlig sjukdom eller som är immunsupprimerade.

Om aktiv tuberkulos är diagnostiserad så får ej behandling med Imraldi påbörjas (se avsnitt Kontraindikationer).

I alla situationer som beskrivs nedan ska risk‑nyttabalansen av behandling noga övervägas.

Om latent tuberkulos misstänks ska en läkare konsulteras, som har erfarenhet av tuberkulosbehandling.

Om latent tuberkulos upptäcks, ska lämplig behandling med anti‑tuberkulosprofylax ges, innan Imraldi‑behandling påbörjas i enlighet med gällande lokala riktlinjer.

Användning av anti‑tuberkulosprofylax ska också övervägas före behandlingsstart med Imraldi med många eller signifikanta riskfaktorer för tuberkulos trots negativ tuberkulintest och hos patienter med en tidigare historia av latent eller aktiv tuberkulos hos de patienter där en adekvat behandling ej kan bekräftas.

Trots profylaxbehandling av tuberkulos så har fall av reaktiverad tuberkulos setts hos patienter som behandlas med adalimumab. Några patienter som behandlats framgångsrikt för aktiv tuberkulos har insjuknat i tuberkulos igen under behandling med adalimumab.

Patienter ska uppmanas att söka läkarhjälp vid tecken/symtom som kan tyda på en tuberkulosinfektion (t.ex. ihållande hosta, viktnedgång, lätt feber, allmän svaghet inträffar under eller efter behandling med Imraldi).

Andra opportunistiska infektioner

Opportunistiska infektioner, inklusive invasiv svampinfektion har setts hos patienter som får adalimumab. Dessa infektioner har inte konsekvent blivit synliggjorda hos patienter som tar TNF‑antagonister och detta har resulterat i förseningar i lämplig behandling, som ibland resulterat i dödlig utgång.

Hos patienter som utvecklar tecken och symtom såsom feber, sjukdomskänsla, viktnedgång, svettning, hosta, dyspné och/eller lunginfiltrat eller andra allvarliga systemiska symtom med eller utan samtidig chock ska en invasiv svampinfektion misstänkas och Imraldi‑behandling ska snabbt avslutas. Diagnos och administrering av empirisk svampbehandling hos dessa patienter bör ske i samråd med en läkare med specialistkunskap om patienter med invasiva svampinfektioner.

Hepatit B‑reaktivering

Reaktivering av hepatit B har inträffat hos patienter som är kroniska bärare av detta virus (d.v.s. ytantigen positiva) och som har fått TNF‑antagonister inklusive adalimumab. Vissa fall har haft dödlig utgång. Patienter ska testas för HBV‑infektion innan behandling med Imraldi startas. För patienter som testas positiva för hepatit B‑infektion, rekommenderas en konsultation med en läkare med erfarenhet av att behandla hepatit B.

Bärare av HBV som behöver behandling med Imraldi ska noga övervakas för tecken och symtom på aktiv HBV‑infektion under hela behandlingen och åtskilliga månader efter att behandling har avslutats. Data saknas avseende behandling av patienter som är bärare av HBV med anti‑viral behandling tillsammans med TNF‑antagonist, för att förebygga HBV‑reaktivering. Hos patienter som utvecklar HBV‑reaktivering, ska behandling med Imraldi avbrytas och effektiv antiviral behandling och lämplig ytterligare behandling påbörjas.

Neurologiska händelser

Adalimumab och andra TNF‑antagonister har i sällsynta fall associerats med nytt skov eller exacerbation av kliniska symtom och/eller radiografiska tecken på demyeliniserande sjukdom i centrala nervsystemet, inklusive multipel skleros och optisk neurit samt perifer demyelinerande sjukdom, inklusive Guillain‑Barrés syndrom. Förskrivare ska vara försiktiga när användning av Imraldi övervägs till patienter med existerande eller nyligen debuterade symtom som överensstämmer med en diagnos på centrala eller perifera demyeliniserande tillstånd; att avbryta behandling med Imraldi ska övervägas om något av dessa tillstånd utvecklas. Det finns ett känt samband mellan intermediär uveit och centrala demyeliniserande tillstånd. En neurologisk utvärdering ska göras hos patienter med icke-infektiös intermediär uveit innan Imraldi‑behandling startas och regelbundet under behandlingen för att utvärdera underliggande eller påbörjade centrala demyeliniserande tillstånd.

Allergiska reaktioner

Allvarliga allergiska reaktioner associerade med adalimumab var sällsynta i kliniska studier. Icke allvarliga allergiska reaktioner relaterade till adalimumab var mindre vanliga i de kliniska studierna. Rapporter om allvarliga allergiska reaktioner, inklusive anafylaxi, har rapporterats efter adalimumabadministrering. Om en anafylaktisk reaktion eller annan allvarlig allergisk reaktion skulle inträffa ska administreringen av Imraldi avbrytas omedelbart och lämpliga behandlingsåtgärder insättas.

Immunsuppression

I en studie på 64 patienter med reumatoid artrit som behandlades med adalimumab, fann man inga tecken på försämrad fördröjd hypersensitivitet, sänkning av immunglobulinnivåerna eller förändringar i antalet effektor T-, B-, NK‑celler, monocyter/makrofager och neutrofiler.

Maligniteter och lymfoproliferativa störningar

Fler fall av maligniteter, inklusive lymfom har observerats bland patienter som får TNF‑antagonister i jämförelse med kontrollpatienter, i den kontrollerade delen av kliniska prövningar med TNF‑antagonister. Denna händelse är dock sällsynt. Efter marknadsföring har leukemifall rapporterats hos patienter som behandlats med TNF‑antagonist. Det finns en ökad bakgrundsrisk för lymfom och leukemi hos i reumatoid artrit patienter med långvarig, hög aktiv, inflammatorisk sjukdom, vilket komplicerar riskberäkningen. Med nuvarande kunskap kan man inte utesluta en möjlig risk för utveckling av lymfom, leukemi och andra maligna sjukdomar hos patienter som behandlas med en TNF‑antagonist.

Maligniteter, vissa med dödlig utgång, har rapporterats bland barn, ungdomar och unga vuxna (upp till 22 års ålder) som behandlats med TNF‑antagonister (behandlingsstart < 18 års ålder), inklusive adalimumab efter marknadsföring. Ungefär hälften av fallen var lymfom. De andra fallen representerade olika maligniteter och inkluderade sällsynta maligniteter vanligtvis associerade med immunsuppression. En risk för utvecklande av maligniteter hos barn och ungdomar behandlade med TNF‑antagonister kan inte uteslutas.

Sällsynta fall av hepatospleniskt T‑cellslymfom har efter marknadsföring identifierats hos patienter som behandlas med adalimumab. Denna sällsynta form av T‑cellslymfom har ett mycket aggressivt förlopp och är vanligtvis dödlig. Vissa av dessa hepatospleniska T‑cellslymfom med adalimumab har inträffat hos unga vuxna patienter som samtidigt behandlats med azatioprin eller 6‑merkaptopurin för inflammatorisk tarmsjukdom. De potentiella riskerna med kombination av azatioprin eller merkaptopurin tillsammans med adalimumab ska noga övervägas. En risk för utvecklande av hepatospleniskt T‑cellslymfom hos patienter som behandlas med Imraldi kan inte uteslutas (se avsnitt Biverkningar).

Inga studier har gjorts som inkluderar patienter med en historik av malignitet eller hos de som fortsätter med behandling efter utvecklande av malignitet. Således ska ytterligare försiktighet iakttas då man överväger adalimumabbehandling av dessa patienter (se avsnitt Biverkningar).

Alla patienter och speciellt de patienter som har behandlats med betydande mängd immunsuppressiv behandling eller psoriasispatienter som behandlats med PUVA ska undersökas för förekomsten av icke-melanom hudcancer före och under behandling med Imraldi. Melanom och Merkelcellscarcinom har också rapporterats hos patienter som behandlats med TNF‑antagonister inklusive adalimumab (se avsnitt Biverkningar).

I en utvärderande klinisk studie som undersökte användningen av en annan TNF‑antagonist, infliximab, hos patienter med måttlig till allvarlig kronisk obstruktiv lungsjukdom (KOL), rapporterades fler maligniteter, mestadels i lungan och halsen, hos de infliximab-behandlade patienterna än hos kontrollpatienterna. Alla patienterna hade en historik av storrökning. Användning av någon TNF‑antagonist hos KOL‑patienter ska därför ske med försiktighet, liksom användning hos patienter som beroende på storrökning har en ökad risk för malignitet.

Med tillgängliga data är det inte känt om behandling med adalimumab påverkar risken för att utveckla dysplasi eller koloncancer. Alla patienter med ulcerös kolit vilka löper ökad risk för dysplasi eller koloncarcinom (t.ex. patienter med långvarig ulcerös kolit eller primär skleroserande kolangit) eller som har dysplasi eller koloncarcinom i anamnesen bör undersökas regelbundet med avseende på dysplasi innan behandling och under hela sjukdomsförloppet. Denna undersökning bör omfatta koloskopi och biopsier enligt lokala rekommendationer.

Hematologiska reaktioner

Sällsynta fall av pancytopeni som inkluderar aplastisk anemi har rapporterats för TNF‑antagonister. Hematologiska biverkningar, kliniskt signifikant cytopeni (t.ex. trombocytopeni, leukopeni) inkluderad, har rapporterats för adalimumab. Samtliga patienter ska uppmanas att omedelbart söka läkarvård om de utvecklar tecken och symtom som indikerar bloddyskrasi (t.ex. långvarig feber, blåmärke, blödning, blekhet) under pågående behandling med Imraldi. Behandlingsuppehåll med Imraldi ska övervägas hos patienter med konstaterad signifikant hematologisk avvikelse.

Vaccinationer

Liknande antikroppssvar på standard 23‑valent pneumokockvaccination och trivalent influensavirusvaccination sågs i en studie hos 226 vuxna med reumatoid artrit som behandlades med adalimumab eller placebo. Ingen data finns tillgänglig på den sekundära spridningen av infektion av levande vaccin hos patienter som behandlas med adalimumab.

Det rekommenderas att pediatriska patienter, om möjligt, vaccineras enligt gällande riktlinjer för allmän vaccination före behandling med adalimumab påbörjas.

Patienter på adalimumab kan få vaccinationer samtidigt, förutom med levande vacciner. För spädbarn som exponerats för adalimumab under graviditeten rekommenderas ej administrering av levande vaccin (t.ex. BCG vaccin) förrän 5 månader efter moderns sista adalimumabinjektion under graviditeten.

Kronisk hjärtsvikt

I en klinisk prövning med en annan TNF‑antagonist har försämrad kronisk hjärtsvikt och ökad mortalitet beroende på kronisk hjärtsvikt observerats. Även fall med försämring av kronisk hjärtsvikt har rapporterats hos patienter som använder adalimumab. Imraldi ska användas med försiktighet hos patienter med mild hjärtsvikt (NYHA klass I/II). Imraldi är kontraindicerat vid måttlig eller svår hjärtsvikt (se avsnitt Kontraindikationer). Behandling med Imraldi ska avbrytas hos patienter som utvecklar nya eller förvärrar symtomen på kronisk hjärtsvikt.

Autoimmuna processer

Behandling med Imraldi kan resultera i bildning av autoimmuna antikroppar. Långtidseffekten av adalimumabbehandling för utvecklande av autoimmuna sjukdomar är okänd. Om en patient utvecklar symtom som påminner om lupusliknande syndrom efter behandling med Imraldi och är positiv för antikroppar mot dubbelsträngat DNA, ska ytterligare behandling med Imraldi inte ges (se avsnitt Biverkningar).

Samtidig administrering av biologiska DMARDs eller TNF‑antagonister

I kliniska studier sågs vid samtidig användning av anakinra och en annan TNF‑antagonist, etanercept, allvarliga infektioner utan att man såg ökad klinisk fördel jämfört med etanercept ensamt. Beroende på biverkningsbilden som sågs vid kombinationen av etanercept med anakinra terapi, kan troligen liknande toxicitet förväntas vid kombination med anakinra och andra TNF-antagonister. Därför är kombinationen av adalimumab och anakinra inte att rekommendera (se avsnitt Interaktioner).

Samtidig administrering av adalimumab med andra biologiska DMARDs (ex. anakinra och abatecept) eller andra TNF‑antagonister rekommenderas inte baserat på den möjliga ökade risken för infektioner, inklusive allvarliga infektioner och andra potentiella farmakologiska interaktioner (se avsnitt Interaktioner).

Kirurgi

Det finns begränsad erfarenhet gällande säkerhet vid kirurgiska ingrepp på patienter behandlade med adalimumab. Adalimumabs långa halveringstid ska tas i beaktande om ett kirurgiskt ingrepp planeras. En patient som fordrar kirurgi under pågående Imraldi‑behandling bör övervakas noggrant för infektioner och adekvat behandling bör insättas. Det finns begränsad erfarenhet gällande säkerhet bland patienter som genomgår proteskirurgi under pågående adalimumabbehandling.

Tunntarmsobstruktioner

Uteblivet svar på behandling för Crohns sjukdom kan indikera en fixerad fibrotisk striktur som kan behöva opereras. Tillgänglig data tyder på att adalimumab inte förvärrar eller orsakar strikturer.

Äldre

Frekvensen av allvarliga infektioner var högre hos de adalimumabbehandlade patienterna över 65 år (3,7 %) än hos de under 65 år (1,5 %). Vissa av dessa hade dödlig utgång. Särskild uppmärksamhet krävs avseende risken för infektion vid behandling av äldre.

Pediatrisk population

Se vaccinationer ovan.

Hjälpämnen med känd effekt

Detta läkemedel innehåller mindre än 1 mmol (23 mg) natrium per 0,4 ml dos, d.v.s. är näst intill ”natriumfritt”.

Interaktioner

Adalimumab har studerats hos reumatoid artrit, polyartikulär juvenil idiopatisk artrit och psoriasisartrit patienter som tar adalimumab som monoterapi och de som samtidigt tar metotrexat. Bildningen av antikroppar var lägre när adalimumab gavs tillsammans med metotrexat i jämförelse med användning i monoterapi. Administrering av adalimumab utan metotrexat resulterade i ökad bildning av antikroppar, ökad clearance och minskad effekt av adalimumab (se avsnitt Farmakodynamiska egenskaper).

Kombinationen av Imraldi och anakinra rekommenderas inte (se avsnitt Varningar och försiktighet ”Samtidig administrering av biologiska DMARDs eller TNF‑antagonister”).

Kombinationen av Imraldi och abatacept rekommenderas inte (se avsnitt Varningar och försiktighet ”Samtidig administrering av biologiska DMARDs eller TNF‑antagonister”).

Fertilitet, graviditet och amning

Kvinnor i fertil ålder

Kvinnor i fertil ålder ska överväga att använda adekvat preventivmetod för att undvika graviditet och fortsätta använda detta i minst fem månader efter den sista behandlingen med Imraldi.

Graviditet

Prospektivt insamlad data från ett stort antal (cirka 2100) graviditeter med exponering för adalimumab som resulterat i levande födsel med känt utfall, inklusive mer än 1500 fall med exponering under första trimestern, tyder inte på en ökning i antalet nyfödda barn med missbildning.

I ett prospektivt kohortregister registrerades 257 kvinnor med reumatoid artrit (RA) eller Crohns sjukdom (CD) som behandlats med adalimumab under första trimestern som minst och 120 kvinnor med RA eller CD som inte behandlats med adalimumab. Det primära effektmåttet var födelseprevalensen av grav fosterskada. Andelen graviditeter som slutade med minst en levande födsel med grav fosterskada var 6/69 (8,7%) hos adalimumab-behandlade kvinnor med RA och 5/74 (6,8%) hos obehandlade kvinnor med RA (ojusterad oddsratio (OR) 1,31, 95% KI 0,38-4,52) och 16/152 (10,5%) hos adalimumab-behandlade kvinnor med CD och 3/32 (9,4%) hos obehandlade kvinnor med CD (ojusterad OR 1,14, 95% KI 0,31-4,16). Justerad OR (justerad för skillnader vid baslinjen) var 1,10 (95% KI 0,45-2,74) för RA och CD tillsammans. Det fanns inga tydliga skillnader mellan adalimumab-behandlade och obehandlade kvinnor i de sekundära effektmåtten - spontana aborter, mindre fosterskador, prematur födsel, födelsestorlek och allvarliga eller opportunistiska infektioner och inga dödfödslar eller malignititer rapporterades. Tolkningen av data kan påverkas av metodologiska begränsningar av studien, inklusive liten gruppstorlek och icke-randomiserad design.

I en utvecklingstoxicitetsstudie utförd på apor, fanns det ingen indikation på maternal toxicitet, embryotoxicitet eller teratogenicitet.Prekliniska data på effekter på postnatal toxicitet av adalimumab finns inte (se avsnitt Prekliniska säkerhetsuppgifter).

Beroende på sin hämning av TNFα, kan adalimumab som administreras under graviditet påverka normalt immunsvar hos den nyfödda. Adalimumab ska endast användas under graviditet om det finns ett uttalat behov.

Adalimumab kan överföras via placenta till serum hos nyfödda barn som är födda av kvinnor som behandlats med adalimumab under graviditet. Som en följd kan dessa nyfödda barn ha en ökad risk för infektion. Administrering av levande vaccin (t.ex. BCG vaccin) till nyfödda som har exponerats för adalimumab i livmodern rekommenderas inte i 5 månader efter moderns sista adalimumabinjektion under sin graviditet.

Amning

Begränsad information från den publicerade litteraturen visar att adalimumab utsöndras i bröstmjölk i mycket låga koncentrationer. Koncentrationerna av adalimumab i bröstmjölk var 0,1% till 1% av moderns serumnivå. Oralt intag av immunoglobulin G proteiner genomgår intestinal proteolys och har låg biotillgänglighet. Inga effekter förväntas på det ammande nyfödda barnet. Följaktligen kan adalimumab användas under amning.

Fertilitet

Prekliniska data på fertilitetseffekter av adalimumab finns ej tillgängliga.

Effekter på förmågan att framföra fordon och använda maskiner

Imraldi kan ha en mindre effekt på förmågan att framföra fordon och använda maskiner. Svindel och försämrad syn kan inträffa vid administrering av Imraldi (se avsnitt Biverkningar).

Biverkningar

Summering av säkerhetsprofilen

Adalimumab studerades hos 9 506 patienter i pivotala kontrollerade och öppna studier i upp till 60 månader eller längre. Dessa studier innefattade såväl reumatoid artritpatienter med kort- och långvarig sjukdomshistoria, juvenil idiopatisk artritpatienter (polyartikulär juvenil idiopatisk artrit och entesitrelaterad artrit) som patienter med axial spondylartrit (ankyloserande spondylit och axial spondylartrit utan radiografiska tecken på AS), psoriasisartrit, Crohns sjukdom, ulcerös kolit, psoriasis, hidradenitis suppurativa och uveit. Pivotala kontrollerade studier innefattade 6 089 patienter som behandlats med adalimumab och 3 801 patienter som erhållit placebo eller aktiv jämförande substans under den kontrollerade studieperioden.

Proportionen av patienter som på grund av biverkningar avbröt behandling under den dubbelblinda, kontrollerade delen av pivotala studier var 5,9 % för patienter som fick adalimumab och 5,4 % för kontrollbehandlade patienter.

De mest rapporterade biverkningarna är infektioner (såsom nasofaryngit, övre luftvägsinfektioner och sinuit), reaktioner på injektionsstället (erytem, klåda, blödning, smärta eller svullnad), huvudvärk och muskuloskeletal smärta.

Allvarliga biverkningar har rapporterats för adalimumab. TNF‑antagonister såsom adalimumab påverkar immunsystemet och dess användning i kroppens försvar mot infektion och cancer.

Dödliga och livshotande infektioner (inklusive sepsis, opportunistiska infektioner och Tbc), HBV‑reaktivering och olika maligniteter (inklusive leukemi, lymfom och HSTCL) har också rapporterats vid användning av adalimumab.

Allvarliga hematologiska, neurologiska och autoimmuna reaktioner har också rapporterats. Dessa inkluderar sällsynta rapporter av pancytopeni, aplastisk anemi, central och perifer demyelinerande händelser och rapporter av lupus, lupus‑relaterade tillstånd och Stevens‑Johnsons syndrom.

Pediatrisk population

Generellt sett var biverkningarna som sågs hos pediatriska patienter liknande de som sågs hos vuxna patienter både i frekvens och sort.

Lista över biverkningar i tabellform

Följande lista med biverkningar är baserad på erfarenhet från kliniska prövningar och erfarenheter efter marknadsföring och visas i tabell 7 nedan, uppdelade i organklasser och frekvens: mycket vanliga (≥ 1/10); vanliga (≥ 1/100, < 1/10); mindre vanliga (≥ 1/1 000, < 1/100), sällsynta (≥ 1/10 0000, < 1/1 000) och ingen känd frekvens (kan inte beräknas från tillgänglig data). Inom varje frekvensgruppering redovisas biverkningar i fallande allvarlighetsgrad. Den högsta frekvensen som setts inom de olika indikationerna har inkluderats. En asterisk (*) syns i kolumnen för organklass om ytterligare information finns att hitta någon annanstans i avsnitt Kontraindikationer, Varningar och försiktighet och Biverkningar.

Tabell 7
Biverkningar

OrganklassFrekvensBiverkningar

Infektioner och infestationer*

 

Mycket vanligaLuftvägsinfektioner (inklusive nedre och övre luftvägsinfektion, pneumoni, sinusit, faryngit, nasofaryngit och herpesviruspneumoni)

Vanliga

 

Systemiska infektioner (inklusive sepsis, candida och influensa),
intestinala infektioner (inklusive viral gastroenterit),
hud och mjukdelsinfektion (inklusive paronyki, cellulit, impetigo, nekrotiserande fasciit och herpes zoster),
öroninfektioner,
orala infektioner (inklusive herpes simplex, oral herpes och tandinfektioner),
infektioner i reproduktionsorganen (inklusive vulvovaginal mykotisk infektion),
urinvägsinfektioner (inklusive pyelonefrit), svampinfektioner,
ledinfektioner

Mindre vanliga

 

Neurologiska infektioner (inklusive viral meningit),
opportunistiska infektioner och tuberkulos (inklusive koccidioidomykos, histoplasmos och mykobakterium avium komplex infektion),
bakterieinfektion,
ögoninfektion,
divertikulit1)
Neoplasier; benigna, maligna och ospecificerade (samt cystor och polyper)*

Vanliga

 

Hudcancer exklusive melanom (inklusive basalcellcarcinom och skivepitelcancer),
benign neoplasm
Mindre vanligaLymfom**,
solid organneoplasm (inklusive bröstcancer, lungneoplasm och tyroidea neoplasm),
melanom**
SällsyntLeukemi1)
Ingen känd frekvensHepatospleniskt T‑cellslymfom1),
Merkelcellscarcinom (neuroendokrin carcinom i huden)1), Kaposis sarkom
Blodet och lymfsystemet*Mycket vanligaLeukopeni (inklusive neutropeni och agranulocytos),
anemi
VanligaLeukocytos,
trombocytopeni
Mindre vanligaIdiopatisk tromobytopen purpura
SällsyntaPancytopeni

Immunsystemet*

 

VanligaHypersensitivitet,
allergier (inklusive säsongsallergi)
Mindre vanligaSarkoidos1),
Vaskulit
SällsyntaAnafylaxi1)
Metabolism och nutritionMycket vanligaFörhöjda lipider
VanligaHypokalemi,
förhöjda urinsyror,
avvikande natrium i blod,
hypokalcemi,
hyperglykemi,
hypofosfatemi,
dehydrering
Psykiska störningarVanligaHumörsvängningar (inklusive depression),
ångest,
sömnlöshet
Centrala och perifera nervsystemet*Mycket vanligaHuvudvärk
VanligaParestesi (inklusive hypoastesi),
migrän,
nervrotskompression
Mindre vanligaCerebrovaskulär olycka1),
tremor,
neuropati
SällsyntaMultipel skleros,
demyelinerande sjukdomar (t.ex. optisk neurit, Guillain‑Barrés syndrom) 1)
ÖgonVanligaSynnedsättning,
konjunktivit,
blefarit,
ögonsvullnad
Mindre vanligaDiplopi
Öron och balansorganVanligaYrsel
Mindre vanligaDövhet,
tinnitus
Hjärtat*VanligaTakykardi
Mindre vanligaHjärtinfarkt1),
arytmi,
kronisk hjärtsvikt
SällsyntaHjärtstillestånd
BlodkärlVanligaHypertension,
rodnad,
hematom
Mindre vanligaAortaaneurysm,
vaskulär artärocklusion,
tromboflebit
Andningsvägar, bröstkorg och mediastinum*VanligaAstma,
dyspné,
hosta
Mindre vanligaPulmonell embolism1),
interstitiell lungsjukdom,
kronisk obstruktiv lungsjukdom,
pneumonit,
pleural effusion1)
SällsyntaPulmonell fibros1)
MagtarmkanalenMycket vanligaBuksmärta,
llamående och kräkning

Vanliga

 

Gastrointestinal blödning,
dyspepsi,
gastroesofageal reflux sjukdom,
Sicca‑syndrom
Mindre vanligaPankreatit,
dysfagi,
ansiktsödem
SällsyntaIntestinal perforation1)
Lever och gallvägar*Mycket vanligaFörhöjda leverenzymer
Mindre vanligaKolecystit och kolelitias,
leversteatos,
förhöjt bilirubin
SällsyntaHepatit,
reaktivering av hepatit B1),
autoimmun hepatit1)
Ingen känd frekvensLeversvikt1)
Hud och subkutan vävnadMycket vanligaHudutslag (inklusive exfoliativa hudutslag)
VanligaNytt utbrott av eller förvärrande av psoriasis (inklusive palmoplantar pustular psoriasis)1),
urtikaria,
blåmärken (inklusive purpura),
dermatit (inklusive eksem),
sköra naglar,
hyperhidros,
alopeci1),
pruritus
Mindre vanligaNattsvettningar,
ärr
SällsyntaErytema multiforme1),
Stevens‑Johnsons syndrom1),
angioödem1),
kutan vaskulit1),
lichenoida hudreaktioner1)
Ingen känd frekvensFörvärrande av dermatomyosit symtom1)
Muskuloskeletala systemet och bindvävMycket vanligaMuskuloskeletal smärta
VanligaMuskelspasmer (inklusive förhöjt blodkreatininfosfokinas)
Mindre vanligaRabdomyolys,
Systemisk lupus erytematos
SällsyntaLupusliknande syndrom
Njurar och urinvägarVanligaFörsämrad njurfunktion,
hematuri
Mindre vanligaNokturi
Reproduktionsorgan och bröstkörtelMindre vanligaErektil dysfunktion
Allmänna symtom och/eller symtom vid administreringsstället*Mycket vanligaReaktion vid injektionsstället (inklusive erytem vid injektionsstället)
VanligaBröstsmärta,
ödem,
feber1)
Mindre vanligaInflammation
Undersökningar*VanligaKoagulations och blödningsstörningar (inklusive förlängd aktiverad partiell tromboplastintid),
Positivt autoantikroppstest (inklusive dubbelsträngad DNA),
förhöjt blodlaktatdehydrogenas
Ingen känd frekvensViktökning2)
Skador, förgiftningar och behandlingskomplikationerVanligaFörsämrad läkning

* Ytterligare information kan hittas i avsnitt Kontraindikationer, Varningar och försiktighet och Biverkningar
** Inklusive öppna förlängningsstudier
1) Inklusive spontanrapporterad data
2) Medelförändringen av kroppsvikten från baslinjen för adalimumab varierade mellan 0,3 kg och 1,0 kg för alla indikationer för vuxna jämfört med (minus) -0,4 kg till 0,4 kg för placebo under en behandlingsperiod på 4–6 månader. Viktökning på 5–6 kg har även observerats i långvariga förlängningsstudier med en medelexponeringstid på ca 1–2 år utan kontrollgrupp, i synnerhet hos patienter med Crohns sjukdom och ulcerös kolit. Mekanismen bakom denna effekt är oklar men kan vara associerad med adalimumabs antiinflammatoriska effekt

Hidradenitis suppurativa

Säkerhetsprofilen för patienter med HS som behandlats med adalimumab varje vecka var i enlighet med den redan kända säkerhetsprofilen för adalimumab.

Uveit

Säkerhetsprofilen för patienter med uveit som behandlats med adalimumab varannan vecka var i enlighet med den redan kända säkerhetsprofilen för adalimumab.

Förklaring av utvalda biverkningar

Reaktioner på injektionsstället

I de pivotala kontrollerade studierna hos vuxna och barn utvecklade 12,9 % av patienterna som behandlades med adalimumab, reaktioner på injektionsstället (erytem och/eller klåda, blödning, smärta eller svullnad), jämfört med 7,2 % av patienterna som fick placebo eller aktiv jämförande substans. Reaktioner på injektionsstället ledde generellt sett inte till att behandlingen med läkemedlet avbröts.

Infektioner

I de pivotala kontrollerade studierna hos vuxna och barn uppgick infektionsnivån till 1,51 per patientår hos adalimumabbehandlade patienter och 1,46 per patientår hos patienter behandlade med placebo eller aktiv kontroll. Infektionerna bestod huvudsakligen i nasofaryngit, övre luftvägsinfektion och bihåleinflammation. Flertalet patienter fortsatte med adalimumab efter utläkt infektion.

Incidensen av allvarliga infektioner uppgick till 0,04 per patientår hos adalimumabbehandlade patienter och 0,03 per patientår hos patienter behandlade med placebo eller aktiv kontroll.

I kontrollerade och öppna studier hos vuxna och barn med adalimumab har allvarliga infektioner (inklusive dödliga infektioner, dock sällan förekommande) rapporterats. Dessa rapporter innefattar fall av tuberkulos (inklusive miliär och extrapulmonella lokalisationer) och invasiva opportunistiska infektioner (t. ex. disseminerad och extrapulmonell histoplasmos, blastomykos, koccidioidomykos, pneumocystit, candidias, aspergillos och listerios). De flesta fallen av tuberkulos inträffade inom de första åtta månaderna efter behandlingsstart och kan tänkas återspegla återfall av latent sjukdom.

Maligniteter och lymfoproliferativa störningar

Inga maligniteter observerades hos 249 pediatriska patienter med en exponeringstid av 655,6 patientår i adalimumabstudier hos patienter med juvenil idiopatisk artrit (polyartikulär juvenil idiopatisk artrit och entesitrelaterad artrit). Dock observerades inga maligniteter hos 192 pediatriska patienter med en exponering av 498,1 patientår under adalimumabstudier på pediatriska patienter med Crohns sjukdom. Inga maligniteter observerades hos 77 pediatriska patienter med en exponeringstid av 80,0 patientår i adalimumabstudier hos pediatriska patienter med kronisk plackpsoriasis. Inga maligniteter observerades hos 93 pediatriska patienter med en exponeringstid av 65,3 patientår i en adalimumabstudie hos pediatriska patienter med ulcerös kolit. Inga maligniteter observerades hos 60 pediatriska patienter med en exponeringstid av 58,4 patientår i en adalimumab‑studie på pediatriska patienter med uveit.

Under de kontrollerade delarna av de pivotala adalimumabstudierna hos vuxna som var minst 12 veckor långa hos patienter med måttlig till allvarligt aktiv reumatoid artrit, ankyloserande spondylit, axial spondylartrit utan radiografiska tecken på AS, psoriasisartrit, psoriasis, hidradenitis suppurativa, Crohns sjukdom, ulcerös kolit och uveit sågs andra maligniteter än lymfom och icke‑melanom hudcancer till en frekvens (95 % konfidensintervall) av 6,8 (4,4; 10,5) per 1 000 patientår hos 5 291 adalimumabbehandlade patienter, jämfört med frekvensen 6,3 (3,4; 11,8) per 1 000 patientår hos 3 444 kontrollpatienter (medianlängd för behandling var 4,0 månader för adalimumab och 3,8 månader för kontrollbehandlade patienter). Frekvensen (95 % konfidensintervall) av icke‑melanom hudcancer var 8,8 (6,0; 13,0) per 1 000 patientår hos adalimumabbehandlade patienter och 3,2 (1,3; 7,6) per 1 000 patientår hos kontrollpatienterna. Av dessa hudcancertyper förekom skivepitelcarcinom med frekvensen (95 % konfidensintervall) av 2,7 (1,4; 5,4) per 1 000 patientår hos adalimumabbehandlade patienter och 0,6 (0,1; 4,5) per 1 000 patientår hos kontrollpatienter. Frekvensen (95 % konfidensintervall) av lymfom var 0,7 (0,2; 2,7) per 1 000 patientår hos adalimumabbehandlade patienter och 0,6 (0,1; 4,5) per 1 000 patientår hos kontrollpatienter.

Vid kombination av den kontrollerade delen av dessa studier och pågående och avslutade öppna förlängningsstudier, med en medianlängd av ungefär 3,3 år och som inkluderar 6 427 patienter och mer än 26 439 patientår av behandling, så var malignitetsfrekvensen, andra än lymfom och icke‑melanom hudcancer, ungefär 8,5 per 1 000 patientår. Den observerade frekvensen av icke‑melanom hudcancer är ungefär 9,6 per 1 000 patientår, och den observerade frekvensen för lymfom är ungefär 1,3 per 1 000 patientår.

Efter marknadsföring, från januari 2003 till december 2010 och i huvudsak hos patienter med reumatoid artrit, är frekvensen av spontant rapporterade maligniteter ungefär 2,7 per 1 000 patientbehandlingsår. Den spontant rapporterade frekvensen för icke‑melanom hudcancer och lymfom är ungefär 0,2 respektive 0,3 per 1 000 patientbehandlingsår (se avsnitt Varningar och försiktighet).

Sällsynta fall av hepatospleniskt T‑cellslymfom har efter marknadsföring rapporterats hos patienter som behandlas med adalimumab (se avsnitt Varningar och försiktighet).

Autoantikroppar

Vid flera tillfällen undersöktes patienternas serum i reumatoid artrit studierna I‑V för att se om autoantikroppar kunde påvisas. Av de patienter hos vilka man i de studierna inte kunde påvisa autoantikroppar initialt, utvecklade 11,9 % av patienterna som behandlades med adalimumab och 8,1 % av patienterna som fick placebo och aktiv kontroll, positiva titrar av autoantikroppar efter 24 veckor. Två av de 3 441 patienter som behandlades med adalimumab i alla reumatoid artrit och psoriasisartrit studierna utvecklade ett lupusliknande syndrom. Patienterna förbättrades efter att behandlingen avbrutits. Inga patienter utvecklade lupusnefrit eller fick symtom från CNS.

Lever och gallvägar

I kontrollerade fas 3‑prövningar med adalimumab hos patienter med reumatoid artrit och psoriasisartrit med en kontrollperiod mellan 4 till 104 veckor så uppstod ALAT‑ökningar ≥ 3 × ULN hos 3,7 % av adalimumabbehandlade patienter och 1,6 % av kontrollbehandlade patienter.

I kontrollerade fas 3‑prövningar med adalimumab hos patienter med polyartikulär juvenil idiopatisk artrit som var 4 till 17 år och entesitrelaterad artrit som var 6 till 17 år, uppstod ALAT‑ökningar ≥ 3 × ULN hos 6,1 % av adalimumabbehandlade patienter och 1,3 % av kontrollbehandlade patienter. De flesta ALAT‑ökningar uppstod vid samtidig användning av metotrexat. Ingen ALAT‑ökning ≥ 3 × ULN uppstod i fas 3‑prövningar med adalimumab hos patienter med polyartikulär juvenil idiopatisk artrit som var 2 till < 4 år.

I kontrollerade fas 3‑prövningar med adalimumab hos patienter med Crohns sjukdom och ulcerös kolit med en varierande kontrollperiod på mellan 4 och 52 veckor, så uppstod ALAT‑ökningar ≥ 3 × ULN hos 0,9 % av adalimumabbehandlade patienter och 0,9 % av kontrollbehandlade patienter.

I fas 3‑prövningen av adalimumab hos pediatriska patienter med Crohns sjukdom, som utvärderade effekt och säkerhet hos två kroppsviktsjusterade underhållsdoseringar, efter en kroppsviktsjusterad induktionsbehandling upp till 52 veckors behandling, så uppstod ALAT‑ökningar ≥ 3 × ULN hos 2,6 % (5/192) av patienterna, där 4 patienter hade samtidig immunsupprimerande behandling vid baslinjen.

I kontrollerade fas 3‑prövningar med adalimumab hos patienter med plackpsoriasismed en kontrollperiod på mellan 12 och 24 veckor, så uppstod ALAT‑ökningar ≥ 3 × ULN hos 1,8 % av adalimumabbehandlade patienter och 1,8 % av kontrollbehandlade patienter.

Ingen ALAT‑ökning ≥ 3 × ULN uppstod i fas 3‑prövningar med adalimumab hos pediatriska patienter med plackpsoriasis.

I kontrollerade prövningar med adalimumab hos patienter med hidradenitis suppurativa (startdoser på 160 mg vid vecka 0 och 80 mg vid vecka 2, följt av 40 mg varje vecka från vecka 4) med en kontrollperiod mellan 12 till 16 veckor uppstod ALAT‑ökningar ≥ 3 × ULN hos 0,3 % av adalimumabbehandlade patienter och 0,6 % av kontrollbehandladepatienter.

I kontrollerade prövningar med adalimumab (startdoser på 80 mg vid vecka 0 följt av 40 mg varannan vecka med början vecka 1), hos vuxna patienter med uveit i upp till 80 veckor med en medianexponering på 166,5 dagar och 105,0 dagar hos adalimumabbehandlade patienter respektive kontrollbehandlade patienter, uppstod ALAT‑ökningar ≥ 3 × ULN hos 2,4 % av adalimumabbehandlade patienter och hos 2,4 % av kontrollbehandlade patienter.

I den kontrollerade fas 3‑prövningen av adalimumab hos pediatriska patienter med ulcerös kolit (N = 93) som utvärderade effekt och säkerhet av en underhållsdos på 0,6 mg/kg (maximalt 40 mg) varannan vecka (N = 31) och en underhållsdos på 0,6 mg/kg (maximalt 40 mg) varje vecka (N = 32), efter kroppsviktsjusterad induktionsdosering på 2,4 mg/kg (maximalt 160 mg) vecka 0 och vecka 1, och 1,2 mg/kg (maximalt 80 mg) vecka 2 (N = 63), eller en induktionsdos på 2,4 mg/kg (maximalt 160 mg) vecka 0, placebo vecka 1, och 1,2 mg/kg (maximalt 80 mg) vecka 2 (N = 30), förekom ALAT‑stegringar ≥ 3 X ULN hos 1,1 % (1/93) av patienterna.

Över alla indikationer i kliniska prövningar var patienter med förhöjt ALAT asymtomatiska och i de flesta fall var ökningarna övergående och upphörde med fortsatt behandling. Det finns dock rapporter efter marknadsföring om leversvikt liksom mindre allvarliga leverrubbningar som kan föregå leversvikt, såsom hepatit inklusive autoimmun hepatit, hos patienter som får adalimumab.

Samtidig behandling med azatioprin/6‑merkaptopurin

Högre incidenser av maligna och allvarliga infektionsrelaterade biverkningar sågs i studier med Crohns sjukdom hos vuxna då adalimumab kombinerades med azatioprin/6‑merkaptopurin jämfört med adalimumab ensamt.

Rapportering av misstänkta biverkningar

Det är viktigt att rapportera misstänkta biverkningar efter att läkemedlet godkänts. Det gör det möjligt att kontinuerligt övervaka läkemedlets nytta-riskförhållande. Hälso- och sjukvårdspersonal uppmanas att rapportera varje misstänkt biverkning via:

Sverige
Läkemedelsverket
Box 26
751 03 Uppsala
Webbplats: www.lakemedelsverket.se

Finland
webbplats: www.fimea.fi
Säkerhets- och utvecklingscentret för läkemedelsområdet Fimea
Biverkningsregistret
PB 55
00034 FIMEA

Överdosering

Ingen dosbegränsande toxicitet observerades under kliniska prövningar. Den högsta dosen som evaluerades har varit multipla intravenösa doser på 10 mg/kg, vilket är ungefär 15 gånger den rekommenderade dosen.

Farmakologiska egenskaper

Farmakodynamiska egenskaper

Farmakoterapeutisk grupp: Immunsuppressiva medel, TNF‑α‑hämmare. ATC kod: L04AB04

Imraldi tillhör gruppen ”biosimilars”. Ytterligare information om detta läkemedel finns på Europeiska läkemedelsmyndighetens webbplats http://www.ema.europa.eu.

Verkningsmekanism

Adalimumab binder specifikt till TNF och neutraliserar TNF:s biologiska funktion genom att blockera dess interaktion med TNF‑receptorerna p55 och p75 på cellmembranen.

Adalimumab modulerar också det biologiska svar som induceras eller regleras genom TNF, inklusive förändringarna i nivåerna av adhesionsmolekyler ansvariga för leukocytmigration (ELAM‑1, VCAM‑1 och ICAM‑1 med en IC50 på 0,1‑0,2 nM).

Farmakodynamisk effekt

Efter behandling med adalimumab observerar man hos patienter med reumatoid artrit en snabb sänkning i nivåerna av CRP, SR och serumcytokiner (IL‑6) jämfört med utgångsvärdet. Serumnivåerna av matrix metalloproteinaser (MMP‑1 och MMP‑3) som initierar de processer som ligger bakom broskdestruktionen sjunker också efter administration av adalimumab. Patienter som behandlas med adalimumab erfar oftast en förbättring i hematologiska tecken på kronisk inflammation.

En snabb sänkning av CRP‑nivåer observerades även hos patienter med polyartikulär juvenil idiopatisk artrit, Crohns sjukdom, ulcerös kolit och hidradenitis suppurativa efter behandling med adalimumab. Hos patienter med Crohns sjukdom ses ett minskat antal celler som uttrycker inflammatoriska markörer i tjocktarmen inklusive en signifikant sänkning i uttrycket av TNFα. Endoskopistudier av tarmmukosa har visat på läkning hos adalimumabbehandlade patienter.

Klinisk effekt och säkerhet

Reumatoid artrit

Adalimumab har utvärderats i mer än 3 000 patienter i alla kliniska reumatoid artritstudier. Effekten och säkerheten av adalimumab vid behandling av reumatoid artrit undersöktes i fem randomiserade, dubbelblinda och välkontrollerade studier. Några patienter behandlades i upp till 120 månader. Smärta vid injektionsstället för adalimumab 40 mg/0,4 ml utvärderades i två randomiserade, aktivt kontrollerade, enkelblindade, crossover‑studier med två perioder.

RA‑studie I involverade 271 patienter som var ≥ 18 år gamla med måttlig till högaktiv reumatoid artrit, som inte hade svarat på minst ett sjukdomsmodifierande anti-reumatiskt läkemedel och hade otillräcklig effekt av metotrexat i doser mellan 12,5‑25 mg (10 mg om patienten var metotrexatintolerant) en gång i veckan och vilkas metotrexatdosering var oförändrad på 10‑25 mg i veckan. Adalimumab eller placebo gavs i doserna 20, 40 eller 80 mg varannan vecka i 24 veckor.

RA‑studie II utvärderade 544 patienter som var ≥ 18 år gamla med måttlig till högaktiv reumatoid artrit och inte hade svarat på minst ett sjukdomsmodifierande, antireumatiska läkemedel. Adalimumab i doserna 20 eller 40 mg injicerades subkutant varannan vecka med placebo alternerande veckor eller varje vecka i 26 veckor; placebo gavs varje vecka under samma tidsperiod. Inga andra sjukdomsmodifierande läkemedel var tillåtna.

RA‑studie III utvärderade 619 patienter som var ≥ 18 år gamla med måttlig till högaktiv reumatoid artrit, och som hade ett otillräckligt svar på metotrexat vid doser 12,5‑25 mg, eller som har varit intoleranta mot 10 mg metotrexat varje vecka. Det fanns tre grupper i denna studie. Den första fick placeboinjektioner varje vecka i 52 veckor. Den andra fick 20 mg adalimumab varje vecka i 52 veckor. Den tredje gruppen fick 40 mg adalimumab varannan vecka med placebo alternerande veckor. Vid avslut av de första 52 veckorna, togs 457 patienter in i en öppen förlängningsfas i vilken 40 mg adalimumab/MTX administrerades varannan vecka i upp till 10 år.

RA‑studie IV bedömde huvudsakligen säkerheten hos 636 patienter som var ≥ 18 år gamla med måttlig- till högaktiv reumatoid artrit. Patienterna tilläts antingen vara DMARD‑naiva eller stå kvar på sin pågående reumatologiska behandling, förutsatt att denna var stabil sedan minst 28 dagar. Dessa terapier inkluderade metotrexat, leflunomid, hydroxiklorokin, sulfasalazin och/eller guldsalter. Patienterna randomiserades till 40 mg adalimumab eller placebo varannan vecka i 24 veckor.

RA‑studie V utvärderade 799 metotrexatnaiva, vuxna patienter med måttlig till högaktiv tidig reumatoid artrit (genomsnittlig sjukdomsperiod mindre än 9 månader). Denna studie utvärderade effekten av behandling med adalimumab 40 mg varannan vecka kombinerat med metotrexat, Adalimumab 40 mg varannan vecka som monoterapi, respektive metotrexat som monoterapi, under 104 veckor för att reducera tecken och symtom på reumatoid artrit samt utvecklingstakten av ledskada. Efter avslut av de första 104 veckorna antogs 497 patienter till en öppen förlängningsstudie där 40 mg adalimumab administrerades varannan vecka i upp till 10 år.

RA‑studie VI och VII utvärderade respektive 60 patienter med måttlig till svår aktiv reumatoid artrit som var ≥ 18 år. Patienterna i studierna var antingen redan användare av adalimumab 40 mg/0,8 ml och beskrev sin smärta vid injektionsstället som åtminstone 3 cm (på en 0‑10 cm VAS‑skala), eller biologiskt naiva patienter som påbörjade behandling med adalimumab 40 mg/0,8 ml. Patienterna randomiserades till att ges en endos av adalimumab 40 mg/0,8 ml eller adalimumab 40 mg/0,4 ml, följt av en enkel injektion av den motsatta behandlingen vid nästföljande dos.

Den primära endpointen i RA‑studierna I, II och III och den sekundära endpointen i RA‑studien IV uttrycks som procentandelen patienter som nådde ett ACR 20 svar vid vecka 24 eller 26. Den primära endpointen i RA‑studie V var procentandelen patienter som nådde ett ACR 50‑svar vid vecka 52. RA‑studie III och V hade en ytterligare primär endpoint vid 52 veckor avseende fördröjning av sjukdomsprogression (som visas med röntgenresultat). RA‑studie III hade även en primär endpoint avseende förändringar i livskvalitet. Den primära endpointen i RA‑studierna VI och VII var smärta vid injektionsstället direkt efter en injektion utvärderat enligt 0‑10 cm på en VAS‑skala.

ACR‑svar

Andelen av de adalimumabbehandlade patienterna som uppnådde ACR 20, 50 och 70 effekt var likartad i RA‑studierna I, II och III. Resultaten från 40 mg varannan vecka‑studierna är summerade i tabell 8.

Tabell 8
ACR‑svar i placebo-kontrollerade studier (% av patienter)

Svar

RA‑studie Ia**

RA‑studie IIa**

RA‑studie IIIa**

Placebo/ MTXc
N = 60

Adalimumabb/ MTXc
N = 63

Placebo
N = 110

Adalimumabb
N = 113

Placebo/ MTXc
N = 200

Adalimumabb/ MTXc
N = 207

ACR 20

6 månader

13,3 %

65,1 %

19,1 %

46,0 %

29,5 %

63,3 %

12 månader

-

-

-

-

24,0 %

58,9 %

ACR 50

6 månader

6,7 %

52,4 %

8,2 %

22,1 %

9,5 %

39,1 %

12 månader

-

-

-

-

9,5 %

41,5 %

ACR 70

6 månader

3,3 %

23,8 %

1,8 %

12,4 %

2,5 %

20,8 %

12 månader

-

-

-

-

4,5 %

23,2 %

a RA‑studie I vid 24 veckor, RA‑studie II vid 26 veckor och RA‑studie III vid 24 och 52 veckor
b 40 mg adalimumab administrerat varannan vecka
c MTX = Metotrexat
**p < 0,01, adalimumab jämfört med placebo
- Ej relevant

I RA‑studierna I‑IV förbättrades alla de individuella komponenterna i ACR‑effektkriterierna jämfört med placebo (antal svullna och ömma leder, läkares och patients bedömning av sjukdomsaktivitet och smärta, invaliditets index (HAQ) och CRP (mg/dl) värden) vid vecka 24 eller 26. I RA‑studie III kvarstod dessa förbättringar under alla 52 veckor.

I en öppen förlängningsstudie för RA‑studie III, upprätthöll de flesta patienter som var ACR‑responders detta svar då de följdes upp efter upp till 10 år. Av 207 patienter som randomiserades till adalimumab 40 mg varannan vecka, så fortsatte 114 patienter med adalimumab 40 mg varannan vecka under 5 år. Bland dessa hade 86 patienter (75,4 %) ett ACR 20‑svar; 72 patienter (63,2 %) hade ACR 50‑svar och 41 patienter (36 %) hade ett ACR 70‑svar. Av 207 patienter så fortsatte 81 patienter med adalimumab 40 mg varje vecka under 10 år. Av dessa så hade 64 patienter (79,0 %) ett ACR 20‑svar; 56 patienter (69,1 %) ACR 50‑svar och 43 patienter (53,1 %) ett ACR 70‑svar.

I RA‑studie IV, var ACR 20‑svaret hos patienter behandlade med adalimumab plus omhändertagande statistiskt signifikant bättre än hos patienter som behandlades med placebo plus standardbehandling (p < 0,001).

I RA‑studierna I‑IV uppnådde de adalimumabbehandlade patienterna statistiskt signifikant högre ACR 20- och 50‑svar jämfört med placebo så tidigt som en till två veckor efter initieringen av behandlingen.

I RA‑studie V ledde kombinationsbehandling med adalimumab och metotrexat, till patienter med tidig reumatoid artrit som var metotrexatnaiva, till snabbare och signifikant högre ACR‑svar än metotrexat eller adalimumab i monoterapi vid vecka 52 och svaren kvarstod vid vecka 104 (se tabell 9).

Tabell 9
ACR‑svar i RA‑studie V (% av patienter)

Svar

MTX
N = 257

Adalimumab
N = 274

Adalimumab/
MTX
N = 268

p‑värdea

p‑värdeb

p‑värdec

ACR 20

Vecka 52

62,6 %

54,4 %

72,8 %

0,013

<0,001

0,043

Vecka 104

56,0 %

49,3 %

69,4 %

0,002

<0,001

0,140

ACR 50

Vecka 52

45,9 %

41,2 %

61,6 %

<0,001

<0,001

0,317

Vecka 104

42,8 %

36,9 %

59,0 %

<0,001

<0,001

0,162

ACR 70

Vecka 52

27,2 %

25,9 %

45,5 %

<0,001

<0,001

0,656

Vecka 104

28,4 %

28,1 %

46,6 %

<0,001

<0,001

0,864

a p‑värdet kommer från den parvisa jämförelsen av metotrexat i monoterapi med adalimumab/metotrexat i kombinationsbehandling med hjälp av Mann‑Whitney U‑test
b p‑värdet kommer från den parvisa jämförelsen av adalimumab i monoterapi med adalimumab/metotrexat i kombinationsbehandling med hjälp av Mann‑Whitney U‑test
c p‑värdet kommer från den parvisa jämförelsen av adalimumab i monoterapi med metotrexat i monoterapi med hjälp av Mann‑Whitney U‑test

I den öppna förlängningsstudien för RA‑studie V bibehölls ACR‑svaren vid uppföljning i upp till 10 år. Av 542 patienter som randomiserades till adalimumab 40 mg varannan vecka, så fortsatte 170 patienter med adalimumab 40 mg varannan vecka i 10 år. Av dessa hade 154 patienter (90,6 %) ACR 20‑svar; 127 patienter (74,7 %) ACR 50‑svar; och 102 patienter (60,0 %) ACR 70‑svar.

Vid vecka 52 hade 42,9 % av patienterna som fick kombinationsbehandling med adalimumab /metotrexat uppnått klinisk remission (DAS28 < 2,6) jämfört med 20,6 % av patienterna som fick monoterapi med metotrexat och 23,4 % av patienterna som fick monoterapi med adalimumab. Kombinationsbehandlingen med adalimumab/metotrexat var kliniskt och statistiskt överlägsen behandlingen med metotrexat (p < 0,001) och adalimumab (p < 0,001) i monoterapi vad gäller att uppnå en låg sjukdomsgrad hos patienter som nyligen fått diagnosen måttlig till svår reumatoid artrit. Behandlingseffekten för de två monoterapiarmarna var likvärdig (p = 0,447). Av 342 patienter som ursprungligen randomiserats till monoterapi med adalimumab eller en kombination av adalimumab /metrotrexat och som gick in i den öppna förlängningsstudien genomgick 171 patienter 10 års behandling med adalimumab. Bland dessa patienter rapporterades bibehållen klinisk remission vid 10 år hos 109 (63,7 %).

Radiografisk behandlingseffekt

I RA‑studie III, där de adalimumabbehandlade patienterna hade en medelduration av reumatoid artrit på ungefär 11 år, mättes strukturell ledförstörelse radiografiskt och uttrycktes som förändring i Totalt ”Sharp Score” (TSS) och dess komponenter, erosions‑”score” och broskhöjdsminsknings‑”score”. Adalimumab/metotrexat-patienter uppvisade signifikant mindre radiografisk progression vid 6 och 12 månader (se tabell 10) än patienter som enbart fick metotrexat.

I den öppna förlängningen av RA‑studie III, upprätthålls minskningen i progressionhastigheten av strukturell förstörelse under 8 till 10 år i en subgrupp av patienterna. Vid 8 år så hade 81 av 207 patienter som från början behandlades med 40 mg adalimumab varannan vecka utvärderats radiografiskt. Av dessa visade 48 patienter ingen strukturell skada som definierades av en förändring från baslinje i mTSS av 0,5 eller mindre. Vid 10 år så utvärderades 79 av 207 patienter som ursprungligen behandlades med 40 mg adalimumab varannan vecka, radiografiskt. Bland dessa visade 40 patienter ingen progression av strukturell skada som definierades av en förändring från baslinje i mTSS av 0,5 eller mindre.

Tabell 10
Genomsnittlig radiografisk förändring över 12 månader i RA studie III

 

Placebo/MTXa

Adalimumab/MTX 40 mg varannan vecka

Placebo/MTX-Adalimumab/MTX (95 % konfidensintervallb)

p‑värde

Total Sharp score

2,7

0,1

2,6 (1,4; 3,8)

< 0,001c

Erosion score

1,6

0,0

1,6 (0,9; 2,2)

< 0,001

JSNd score

1,0

0,1

0,9 (0,3; 1,4)

0,002

ametotrexat
b 95 % konfidensintervall för skillnaden i förändringen av scores mellan metotrexat och adalimumab.
c Baserat på rank‑analys
d Joint Space Narrowing

I RA‑studie V bedömdes den strukturella ledskadan radiografiskt och uttrycktes som förändring i modifierad Total Sharp Score (se tabell 11).

Tabell 11
Genomsnittlig radiografisk förändring vid vecka 52 i RA‑studie V

 

MTX
N = 257
(95 % konfidensintervall)

Adalimumab
N = 274
(95 % konfidensintervall)

Adalimumab/MTX
N = 268
(95 % konfidensintervall)

p-värdea

p-värdeb

p-värdec

Total Sharp score

5,7 (4,2‑7,3)

3,0 (1,7‑4,3)

1,3 (0,5‑2,1)

< 0,001

0,0020

< 0,001

Erosion Score

3,7 (2,7‑4,7)

1,7 (1,0‑2,4)

0,8 (0,4‑1,2)

< 0,001

0,0082

< 0,001

JSN score

2,0 (1,2‑2,8)

1,3 (0,5‑2,1)

0,5 (0‑1,0)

< 0,001

0,0037

0,151

a p‑värdet kommer från den parvisa jämförelsen av metotrexat i monoterapi med adalimumab/metotrexat i kombinationsbehandling med hjälp av Mann‑Whitney U‑test
b p‑värdet kommer från den parvisa jämförelsen av adalimumab i monoterapi med adalimumab/metotrexat i kombinationsbehandling med hjälp av Mann‑Whitney U‑test
c p‑värdet kommer från den parvisa jämförelsen av adalimumab i monoterapi med metotrexat i monoterapi med hjälp av Mann‑Whitney U‑test

Efter 52 och 104 veckors behandling var procentandelen patienter utan progress (förändring från baslinjen i modifierad Total Sharp Score < 0,5) signifikant högre för kombinationsbehandling med adalimumab/metotrexat (63,8 % respektive 61,2 %) jämfört med metotrexat i monoterapi (37,4 % respektive 33,5 %, p < 0,001) och adalimumab i monoterapi (50,7 %, < 0,002 respektive 44,5 %, p <0 ,001).

I den öppna förlängningsstudien för RA‑studie V var den genomsnittliga ändringen från baslinjen vid år 10 i modifierad Total Sharp Score 10,8, 9,2 och 3,9 hos patienter som ursprungligen hade randomiserats till respektive metotrexat i monoterapi, adalimumab i monoterapi och adalimumab/metotrexat kombinationsterapi. Den korresponderande andelen patienter utan radiografisk progression var 31,3 %, 23,7 % och 36,7 %, i respektive studiearm.

Livskvalitet och fysisk funktion

Hälsorelaterad livskvalitet och fysisk funktion bedömdes med hjälp av invaliditetsindexet Health Assessment Questionnaire (HAQ) i de fyra ursprungliga, adekvata och välkontrollerade studierna och användes dessutom som primär effektparameter vid vecka 52 i RA‑studie III. Alla de använda doser/doseringsscheman för adalimumab, som användes i alla fyra studier, ledde till en statistiskt signifikant större förbättring av ingångsvärdena av invaliditetsindexet HAQ efter 6 månader jämfört med placebo och i RA‑studie III observerades samma efter 52 veckor. Resultat från Short Form Health Survey (SF‑36) med alla doser/doseringsscheman av adalimumab i alla fyra studier stödjer dessa observationer med en statistiskt signifikant förbättring av scoren för fysisk förmåga (PCS), och i tillägg en signifikant förbättring av domänerna smärta och vitalitet vid dosen 40 mg varannan vecka. I de tre studierna där detta bedömdes (RA‑studier I, III, IV) fann man en statistiskt signifikant sänkning av utmattning mätt med hjälp av FACIT‑scores (Functional Assessment of Chronic Illness Therapy).

I RA‑studie III, hos de patienter som uppnådde förbättring i fysisk funktion och fortsatte med behandling, kvarstod förbättringen vid vecka 520 (120 månader) av öppen behandling. Ökad livskvalitet uppmättes fram till vecka 156 (36 månader) och förbättringen bibehölls under hela den tiden.

I RA‑studie V var förbättringen i invaliditetsindex (HAQ) och den fysiska komponenten av SF‑36 större (p < 0,001) för kombinationsbehandling med adalimumab/metotrexat jämfört med metotrexat eller adalimumab i monoterapi vid vecka 52. Detta resultat kvarstod vid vecka 104. Hos de 250 patienter som fullföljde den öppna förlängningsstudien, bibehölls förbättringar av den fysiska funktionen under 10 års behandling.

Smärta vid injektionsstället

För poolade crossover RA‑studier VI och VII observerades en statistiskt signifikant skillnad för smärta vid injektionsstället direkt efter dosering mellan adalimumab 40 mg/0,8 ml och adalimumab 40 mg/0,4 ml (genomsnittligt VAS på 3,7 cm jämfört med 1,2 cm, på en skala av 0‑10 cm, P < 0,001). Detta representerar ett medianvärde på 84 % minskning av smärta vid injektionsstället.

Axial spondylartrit

Ankyloserande spondylit (AS)

Adalimumab 40 mg varannan vecka, prövades på 393 patienter i två randomiserade, 24‑veckors dubbelblinda, placebokontrollerade studier på patienter med aktiv ankyloserande spondylit (medelvärdet vid baslinjen för sjukdomens aktivitets‑score [Bath Ankylosing Spondylitis Disease Activity Index (BASDAI)] var 6,3 i alla grupper) som hade ett otillräckligt svar på konventionell behandling. Sjuttionio (20,1 %) patienter behandlades samtidigt med sjukdomsmodifierande antireumatiska läkemedel och 37 (9,4 %) patienter med glukokortikoider. Den blindade perioden följdes av en period med öppen behandling, under vilken patienterna fick adalimumab 40 mg subkutant varannan vecka under ytterligare upp till 28 veckor. Patienter (n = 215; 54,7 %) som inte uppnådde ASAS 20 vid vecka 12 eller 16 eller 20 fick ”early escape” adalimumab 40 mg subkutant varannan vecka som öppen behandling, och behandlades fortsättningsvis som non‑responders i de dubbelblinda statistiska analyserna.

I den större AS‑studien I med 315 patienter, visade resultaten en statistiskt signifikant förbättring av tecken och symtom på ankyloserande spondylit hos patienter behandlade med adalimumab jämfört med placebo. Ett signifikant svar sågs tidigast vid vecka 2 och bibehölls under 24 veckor (se tabell 12).

Tabell 12
Effektsvar i placebokontrollerad AS‑studie – studie I
minskning av tecken och symtom

Svar

Placebo
N = 107

Adalimumab
N = 208

ASASa 20

Vecka 2

16 %

42 %***

Vecka 12

21 %

58 %***

Vecka 24

19 %

51 %***

ASAS 50

Vecka 2

3 %

16 %***

Vecka 12

10 %

38 %***

Vecka 24

11 %

35 %***

ASAS 70

Vecka 2

0 %

7 %**

Vecka 12

5 %

23 %***

Vecka 24

8 %

24 %***

BASDAIb 50

Vecka 2

4 %

20 %***

Vecka 12

16 %

45 %***

Vecka 24

15 %

42 %***

***,** Statistiskt signifikant vid p < 0,001, < 0,01 för alla jämförelser mellan adalimumab och placebo vid vecka 2, 12 och 24
a Assessments in Ankylosing Spondylitis
b Bath Ankylosing Spondylitis Disease Activity Index

Adalimumabbehandlade patienter hade signifikant större förbättring vid vecka 12 i både SF36 och Ankylosing Spondylitis Quality of Life Questionnaire (ASQoL), och förbättringen kvarstod till vecka 24.

Liknande trender (alla inte statistiskt signifikanta) sågs i den mindre, randomiserade, dubbelblinda, placebokontrollerade AS‑studien II på 82 vuxna patienter med aktiv ankyloserande spondylit.

Axial spondylartrit utan radiografiska tecken på AS

Säkerhet och effekt av adalimumab utvärderades i två randomiserade, dubbelblinda placebokontrollerade studier hos patienter med icke-radiografisk axial spondylartrit (nr-axSpA). Nr-axSpA studie I utvärderade patienter med aktiv nr-axSpA. Nr-axSpA studie II var en utsättningsstudie hos patienter med aktiv nr-axSpA som uppnådde remission under öppen behandling med adalimumab.

Nr-axSpA studie I

Adalimumab 40 mg varannan vecka utvärderades hos 185 patienter i nr-axSpA studie I, en randomiserad, 12 veckor dubbelblind, placebokontrollerad studie hos patienter med nr-axSpA (medelvärde baslinjen av sjukdomsaktivitet (Bath Ankylosing Spondylitis Activity Index (BASDAI) var 6,4 för patienter som behandlades med adalimumab och 6,5 för de som fick placebo) och som ej hade svarat på eller var intoleranta mot ≥ 1 NSAID, eller hade en kontraindikation mot NSAID.

Trettiotre (18 %) patienter behandlades samtidigt med sjukdomsmodifierade antireumatiska läkemedel och 146 (79 %) patienter med NSAID vid baslinjen. Den dubbelblinda perioden följdes av en öppen period under vilken patienterna fick adalimumab 40 mg subkutant varannan vecka i upp till ytterligare 144 veckor. Resultaten vecka 12 visade statistiskt signifikanta förbättringar av tecken och symtom på nr-axSpA hos patienter behandlade med adalimumab jämfört med placebo (tabell 13).

Tabell 13
Effektsvar i placebokontrollerade nr-axSpA studie I

Dubbelblind
svar vid vecka 12

Placebo
N = 94

Adalimumab
N = 91

ASASa 40

15 %

36 %***

ASAS 20

31 %

52 %**

ASAS 5/6

6 %

31 %***

ASAS partiell remission

5 %

16 %*

BASDAIb 50

15 %

35 %**

ASDASc,d,e

-0,3

-1,0***

ASDAS inaktiv sjukdom

4 %

24 %***

hs‑CRPd,f,g

-0,3

-4,7***

SPARCCh MRI sakroiliakalederd,i

-0,6

-3,2**

SPARCC MRI ryggradd,j

-0,2

-1,8**

a Assessments in SpondyloArthritis international Society
b Bath Ankylosing Spondylitis Disease Activity Index
c Ankylosing Spondylitis Disease Activity Score
d genomsnittlig ändring från baslinjen
e N = 91 placebo och N = 87 adalimumab
f högkänsligt C-reaktivt protein (mg/L)
g N = 73 placebo och N = 70 adalimumab
h Spondyloarthritis Research Consortium of Canada
i N = 84 placebo och adalimumab
j N = 82 placebo och N = 85 adalimumab
***, **, * Statistiskt signifikant vid p < 0,001, < 0,01 respektive < 0,05, för alla jämförelser mellan adalimumab och placebo.

I den öppna förlängningsstudien bibehölls förbättringen av tecken och symtom med behandling med adalimumab till och med vecka 156.

Hämmande av inflammation

En signifikant förbättring av tecken på inflammation, uppmätt som hs‑CRP och MRI av både sakroiliakaleder och ryggraden, bibehölls hos patienter som behandlats med adalimumab till och med vecka 156 och vecka 104, respektive.

Livskvalitet och fysisk funktion

Hälsorelaterad livskvalitet och fysisk funktion utvärderades genom att använda HAQ‑S och SF‑36 frågeformulär. Adalimumab visade statistiskt signifikanta förbättringar i HAQ‑S totalvärde och SF‑36 Physical Component Score (PCS) från baslinje till vecka 12 jämfört med placebo.

Förbättring i hälsorelaterad livskvalitet och fysisk funktion bibehölls under den öppna förlängningsstudien till och med vecka 156.

Nr-axSpA studie II

673 patienter med aktiv nr-axSpA (medelvärdet vid baslinjen för sjukdomens aktivitets-score [Bath Ankylosing Spondylitis Disease Activity Index (BASDAI)] var 7,0) som hade ett otillräckligt svar på ≥ 2 NSAIDs, en intolerans mot eller en kontraindikation mot NSAIDs, påbörjade den öppna perioden av nr-axSpA studie II under vilken de fick adalimumab 40 mg varannan vecka i 28 veckor. Dessa patienter hade också objektiva tecken på inflammation i sakroiliakaleden eller ryggraden på MR eller förhöjda hs-CRP-värden. Patienter som uppnådde bibehållen remission i minst 12 veckor (N = 305) (ASDAS < 1,3 vid veckorna 6, 20, 24 och 28) under den öppna perioden randomiserades sedan för att få antingen fortsatt behandling med adalimumab 40 mg varannan vecka (N = 152) eller placebo (N = 153) under ytterligare 40 veckor i en dubbelblind, placebokontrollerad period (total studieduration var 68 veckor). Patienter som fick ett skov under den dubbelblinda perioden fick rescue-behandling adalimumab 40 mg varannan vecka i minst 12 veckor.

Den primära endpointen för effekt i studien var andelen patienter som inte fick något skov vid vecka 68 i studien. Skov definierades som ASDAS ≥ 2,1 vid två på varandra följande besök med fyra veckors mellanrum. En signifikant större andel patienter som fick adalimumab hade inga försämringsskov under den dubbelblinda perioden jämfört med de som fick placebo (70,4% vs 47,1%, p< 0,001) (Figur 1).

Figur 1: Kaplan-Meier-kurva som summerar tid till skov i nr-axSpA studie II

Obs: P = placebo (antal i riskzonen (skov)); A = adalimumab (antal i riskzonen (skov)).

Av de 68 patienter som fick ett skov i utsättningsgruppen, fullföljde 65 patienter den 12 veckor långa rescue-behandling med adalimumab. Av dessa hade 37 (56,9%) patienter återfått remission (ASDAS < 1.3) efter 12 veckor efter att man återupptagit den öppna behandlingen.

Vid vecka 68 uppvisade patienter som fått kontinuerlig adalimumab-behandling statistisk signifikanta förbättringar av tecken och symtom på aktiv nr-axSpA jämfört med patienter i utsättningsgruppen under den dubbelblinda perioden av studien (tabell 14).

Tabell 14
Effektsvar i placebokontrollerade perioden i nr-axSpA studie II

Dubbelblind
svar vid vecka 68

Placebo
N = 153

Adalimumab
N = 152

ASASa,b 20

47,1%

70,4%***

ASASa,b 40

45,8%

65,8%***

ASASa partiell remission

26,8%

42,1%**

ASDASc inaktiv sjukdom

33,3%

57,2%***

Delvist skovd

64,1%

40,8%***

a Assessment of SpondyloArthritis international Society
b Baslinjen definieras som när den öppna perioden startades, när patienter har aktiv sjukdom.

c Ankylosing Spondylitis Disease Activity Score

d Delvist skov definieras som ASDAS ≥ 1,3 men < 2,1 vid två på varandra besök.
***, ** Statistisk signifikant vid p < 0,001 respektive < 0,01, för alla jämförelser mellan adalimumab och placebo.

Psoriasisartrit

Administrering av 40 mg adalimumab varannan vecka till patienter med måttlig till svår aktiv psoriasisartrit studerades i två placebokontrollerade studier, PsA‑studier I och II. I PsA‑studie I behandlades 313 vuxna patienter med otillräckligt svar på behandling med icke‑steroida anti‑inflammatoriska läkemedel, av vilka cirka 50 % stod på metotrexat, under 24 veckor. PsA‑studie II behandlade 100 patienter med otillräckligt svar på behandling med DMARD under 12 veckor. När båda studierna hade avslutats, påbörjade 383 patienter den öppna förlängningsstudien, där 40 mg adalimumab administrerades varannan vecka.

P.g.a. det låga antalet studerade patienter finns det inte tillräckligt med bevis för adalimumabs effekt på patienter med ankyloserande spondylitliknande psoriasisartropati.

Tabell 15
ACR-svar i placebokontrollerade psoriasisartritstudier (% av patienter)

 

PsA‑studie I

PsA‑studie II

Svar

Placebo
N = 162

Adalimumab
N = 151

Placebo
N = 49

Adalimumab
N = 51

ACR 20

Vecka 12

14 %

58 %***

16 %

39 %*

Vecka 24

15 %

57 %***

-

-

ACR 50

Vecka 12

4 %

36 %***

2%

25 %***

Vecka 24

6 %

39 %***

-

-

ACR 70

Vecka 12

1 %

20 %***

0 %

14 %*

Vecka 24

1 %

23 %***

-

-

*** p < 0,001 för alla jämförelser mellan adalimumab och placebo
* p < 0,05 för alla jämförelser mellan adalimumab och placebo
- Ej tillämpbart

ACR‑resultaten i PsA‑studie I var likvärdiga med och utan samtidig metotrexatbehandling.

ACR‑svaren bibehölls i den öppna förlängningsstudien i upp till och med 136 veckor.

Radiografiska förändringar utvärderades i psoriasisartrit-studierna. Röntgenundersökning av händer, handleder och fötter gjordes vid baslinje och vecka 24 under den dubbelblinda perioden då patienterna fick adalimumab eller placebo och vid vecka 48 då alla patienternafick adalimumab under den öppna delen av studien. En modifierad Total Sharp Score (mTSS) användes, som inkluderade distala interfalengeala leder (d.v.s. inte identisk med TSS som används för reumatoid artrit).

Behandling med adalimumab reducerade progressionshastigheten av perifera ledskador jämfört med placebobehandling uppmätt som förändring från baslinjen i mTSS (medel + SD) 0,8 ± 2,5 i placebogruppen (vid vecka 24) jämfört med 0,0 ± 1,9; p < 0,001) i adalimumabgruppen (vid vecka 48).

Hos adalimumabbehandlade patienter utan radiografisk progression från baslinje till vecka 48 (n = 102), sågs fortfarande ingen radiografisk progression hos 84% fram till och med behandlingsvecka 144.

Adalimumabbehandlade patienter uppvisade statistiskt signifikanta förbättringar i fysisk funktion som mättes med HAQ och Short Form Health Survery (SF 36) jämfört med placebo vid vecka 24. Förbättrad fysisk funktion bibehölls i den öppna förlängningsstudien fram till och med vecka 136.

Psoriasis

Adalimumabsäkerhet och effekt studerades hos vuxna patienter med kronisk plackpsoriasis (≥ 10 % BSA = Body Surface Area engagemang och Psoriasis Area och Severity Index (PASI) ≥ 12 eller ≥ 10) som var aktuella för systembehandling eller ljusbehandling i randomiserade, dubbelblinda studier. Av de patienter som påbörjade Psoriasisstudie I och II hade 73 % tidigare fått systembehandling eller ljusbehandling. Adalimumabs säkerhet och effekt studerades även hos vuxna patienter med måttlig till svår kronisk plackpsoriasis med samtidig hand- och/eller fotpsoriasis som var aktuella för systembehandling i en randomiserad dubbelblindad studie (Psoriasisstudie III).

Psoriasisstudie I (REVEAL) utvärderade 1 212 patienter inom tre behandlingsperioder. I period A, fick patienter placebo eller adalimumab med en startdos av 80 mg följt av 40 mg varannan vecka som påbörjades en vecka efter startdosen. Efter 16 veckors behandling fick de patienter som uppnådde minst PASI 75 (förbättring av PASI med minst 75 % jämfört med baslinje/utgångsvärdet), gå in i period B och fick ”öppen label/behandling” med 40 mg adalimumab varannan vecka. Patienter som bibehöll ≥PASI 75 vid vecka 33 och som ursprungligen randomiserades till aktiv behandling i Period A, rerandomiserades i period C till 40 mg adalimumab varannan vecka eller placebo i ytterligare 19 veckor. För alla behandlingsgrupper var medelvärdet på baslinjen PASI 18,9 och värdet på baslinjen för PGA varierade från ”måttlig” (53 % av de inkluderade patienterna) till ”svår” (41 %) till ”mycket svår” (6 %).

Psoriasisstudie II (CHAMPION) jämförde säkerhet och effekt av adalimumab jämfört med metotrexat (MTX) och placebo hos 271 patienter. Patienter fick placebo eller en startdos av MTX 7,5 mg följt av dosökningar fram till vecka 12, upp till en maxdos på 25 mg eller en startdos på 80 mg adalimumab följt av 40 mg varannan vecka (påbörjas en vecka efter startdosen) i 16 veckor. Det finns inga data som jämför adalimumab och MTX efter 16 veckors behandling. Patienter som får MTX och som uppnådde ett ≥PASI 50‑svar vid vecka 8 och/eller 12 fick inga ytterligare doshöjningar. För alla behandlingsgrupper var medelvärdet på baslinjen PASI 19,7 och värdet på baslinjen Physician’s Global Assessment (PGA) varierade från ”mild” (< 1 %) till ”måttlig” (48 %) till ”svår” (46 %) till ”mycket svår” (6 %).

Patienter som deltog i alla fas II och fas III psoriasisstudier kunde enrollera till en öppen förlängningsstudie, där adalimumab gavs i minst ytterligare 108 veckor.

I psoriasisstudie I och II var primär endpoint andelen patienter som uppnådde ett PASI 75‑svar från baslinje vid vecka 16 (se tabell 16 och 17).

Tabell 16
Ps‑studie I (REVEAL) – effektresultat vid 16 veckor

 

Placebo
N = 398
n (%)

Adalimumab 40 mg varannan vecka
N = 814
n (%)

 PASI 75a

26 (6,5)

578 (70,9)b

PASI 100

3 (0,8)

163 (20,0)b

PGA: utläkt/minimal

17 (4,3)

506 (62,2)b

a Procent av patienter som uppnår PASI 75 beräknades som en centrer justerad frekvens
b p < 0,001, adalimumab jämfört med placebo

Tabell 17
Ps‑studie II (CHAMPION) – effektresultat vid 16 veckor

 

Placebo

N = 53

n (%)

MTX

N = 110

N (%)

Adalimumab 40 mg varannan vecka

N = 108

n (%)

≥ PASI 75

10 (18,9)

39 (35,5)

86 (79,6)a, b

PASI 100

1 (1,9)

8 (7,3)

18 (16,7)c, d

PGA: utläkt/minimal

6 (11,3)

33 (30,0)

79 (73,1)a, b

a p < 0,001 adalimumab jämfört med placebo
b p < 0,001 adalimumab jämfört med metotrexat
c p < 0,01 adalimumab jämfört med placebo
d p < 0,05 adalimumab jämfört med metotrexat

I psoriasisstudie I, upplevde 28 % av patienterna som hade PASI 75 och som randomiserades om till placebo vecka 33 ”förlust av adekvat svar” jämfört med 5 % som fortsatte med adalimumab, p < 0,001, (PASI‑poäng efter vecka 33 och framåt eller före vecka 52 som resulterade i ett <PASI 50 jämfört med baslinjen med minst 6 poängs ökning i PASI jämfört med vecka 33). Av de patienter som inte längre svarade efter re‑randomisering till placebo och som sedan påbörjade en öppen förlängningsstudie, återfick 38 % (25/66) och 55 % (36/66) PASI 75 efter 12 respektive 24 veckor efter återinsatt behandling.

Totalt 223 patienter som hade ett PASI 75‑svar vid vecka 16 och vecka 33 fick kontinuerlig adalimumabbehandling i 52 veckor i psoriasisstudie I och fortsatte med adalimumab i den öppna förlängningsstudien. Terapisvar med PASI 75 och PGA med värdena ”utläktellerminimal”, hos dessa patienter var 74,7 % respektive 59,0 % efter ytterligare 108 veckor av öppen behandling (totalt 160 veckor). I en analys där alla patienter som lämnade studien på grund av biverkningar eller brist på effekt, eller som dosökade, räknades som non‑responders, var PASI 75‑svar och PGA‑värde ”utläkt” eller ”minimal” hos dessa patienter 69,6 % respektive 55,7 % efter ytterligare 108 veckor av öppen behandling (totalt 160 veckor).

Totalt 347 stabila responders deltog i en utsättnings- och återbehandlingsutvärdering i en öppen förlängningsstudie. Under utsättningsperioden kom symtom på psoriasis succesivt tillbaka med en mediantid till återfall (försämring till PGA‑värde ”måttlig” eller ”sämre”) på ungefär 5 månader. Ingen av dessa patienter upplevde rebound under utsättningsperioden. Totalt 76,5 % (218/285) av patienterna som gick in i återbehandlingsperioden hade ett PGA‑värde på ”utläkt” eller ”minimal” efter 16 veckors återbehandling, oavsett om de hade haft återfall under behandlingsuppehållet eller ej (69,1 %[123/178] och 88,8 % [95/107] för patienter som fick återfall respektive de som inte fick återfall under utsättningsperioden). Biverkningsprofilen under återbehandling liknade den som sågs innan utsättandet.

Signifikant förbättring vid vecka 16 från baslinje jämfört med placebo (studie I och II) och MTX (studie II) visades med DLQI (Dermatology Life Quality Index). I studie I var den sammanräknade förbättringen av den fysiska och mentala komponenten av SF‑36 också signifikant jämfört med placebo.

I en öppen förlängningsstudie för patienter som ökade dosen från 40 mg varannan vecka till 40 mg varje vecka, beroende på ett PASI‑svar under 50 %, uppnådde 26,4 % (92/349) och 37,8 % (132/349) av patienterna PASI 75‑respons vid vecka 12 respektive vecka 24.

Psoriasisstudie III (REACH) jämförde adalimumabs säkerhet och effekt med placebo hos 72 patienter med måttlig till svår kronisk plackpsoriasis och hand- och/eller fotpsoriasis. Patienterna fick placebo eller en startdos av adalimumab på 80 mg följt av 40 mg varannan vecka som påbörjades en vecka efter startdosen, i 16 veckor. Vid vecka 16 hade en större, statistiskt signifikant, grupp av patienter som fått adalimumab nått ett PGA‑värde på ”utläkt”eller”minimal”för händer och/eller fötter jämfört med patienter som fått placebo (30,6 % vs 4,3 %, respektive [p = 0,014]).

Psoriasis studie IV jämförde effekt och säkerhet av adalimumab jämfört med placebo hos 217 vuxna patienter med måttlig till svår nagelpsoriasis. Patienterna fick en startdos av 80 mg Imraldi följt av 40 mg varannan vecka (med start en vecka efter startdosen) eller placebo under 26 veckor följt av en öppen förlängningsstudie med adalimumabbehandling i ytterligare 26 veckor. För bedömning av graden av nagelpsoriasis användes Modified Nail Psoriasis Severity Index (mNAPSI), Physician’s Global Assessment of Fingernail Psoriasis (PGA-F) och Nail Psoriasis Severity Index (NAPSI) (se tabell 18). Adalimumab visade på en fördelaktig behandlingseffekt hos patienter med nagelpsoriasis med olika grad av hudinvolvering (BSA ≥ 10 % [60 % av patienterna] och BSA < 10 % och ≥ 5 % [40 % av patienterna]).

Tabell 18
Ps‑studie IV effektresultat vid 16, 26 och 52 veckor

Endpoint

Vecka 16
Placebokontrollerad

Vecka 26
Placebokontrollerad

Vecka 52
Öppen förlängningsstudie

Placebo
N = 108

Adalimumab
40 mg varannan vecka
N = 109

Placebo
N = 108

Adalimumab
40 mg varannan vecka
N = 109

Adalimumab
40 mg varannan vecka
N = 80

mNAPSI 75 (%)

2,9

26,0a

3,4

46,6a

65,0

PGA‑F utläkt/minimal och ≥2‑gradig förbättring (%)

2,9

29,7a

6,9

48,9a

61,3

Procentuell skillnad i total fingernagel NAPSI (%)

-7,8

-44,2a

-11,5

-56,2a

-72,2

a p < 0,001, adalimumab vs. placebo

Adalimumabbehandlade patienter visade statistiskt signifikant förbättring i DLQI vid vecka 26 jämfört med placebo.

Hidradenitis suppurativa

Adalimumab säkerhet och effekt utvärderades i randomiserade, dubbelblindade, placebokontrollerade studier och i en öppen förlängningsstudie hos vuxna patienter med måttlig till svår hidradenitis suppurativa (HS) som var intoleranta mot, hade en kontraindikation mot eller otillräcklig svar efter en minst 3 månader lång behandling med systemisk antibiotika. Patienterna i HS‑I och HS‑II hade Hurely Stage II eller III med minst 3 abscesser eller inflammerade noduli.

I studie HS‑I (PIONEER I) utvärderades 307 patienter under 2 behandlingsperioder. I period A fick patienter placebo eller adalimumab med en startdos på 160 mg vid vecka 0 och 80 mg vid vecka 2 och 40 mg varje vecka från vecka 4 till vecka 11. Samtidig behandling med antibiotika var inte tillåtet under studien. Efter 12 veckors behandling re‑randomiserades patienter som fått adalimumab i period A in i period B till 1 av 3 behandlingsgrupper (adalimumab 40 mg varje vecka, adalimumab 40 mg varannan vecka eller placebo från vecka 12 till vecka 35). Patienter som hade randomiserats till placebo i period A fick adalimumab 40 mg varje vecka i period B.

I studie HS‑II (PIONEER II) utvärderades 326 patienter under 2 behandlingsperioder. I period A fick patienter placebo eller adalimumab med en startdos på 160 mg vid vecka 0 och 80 mg vid vecka 2 och 40 mg varje vecka från vecka 4 till vecka 11. 19,3 % av patienterna hade fortsatt basbehandling med oral antibiotika under studien. Efter 12 veckors behandling re‑randomiserades patienter som fått adalimumab i period A in i period B till 1 av 3 behandlingsgrupper (adalimumab 40 mg varje vecka, adalimumab 40 mg varannan vecka eller placebo från vecka 12 till vecka 35). Patienter som randomiserats till placebo i period A fick placebo i period B.

Patienter som deltog i studierna HS‑I och HS‑II var aktuella för att delta i en öppen förlängningsstudie där adalimumab 40 mg administrerades varje vecka. Genomsnittlig exponering för alla adalimumab‑populationer var 762 dagar. Under alla 3 studier använde patienter topikala antiseptiska medel dagligen.

Kliniskt svar

Minskning av inflammerade lesioner och prevention av försämring av abscesser och vätskande fistlar utvärderades med Hidradenitis Suppurativa Clinical Response (HiSCR; åtminstone 50 % minskning av totalt antal abscesser och inflammerade noduli utan ökning av antal abscesser och av antal vätskande fistlar jämfört med baslinjen). Minskning av HS‑relaterad hudsmärta utvärderades med en numerisk graderingsskala (Numeric Rating Scale) hos patienter som gick in i studien med en baslinje på 3 eller högre på en 11‑gradig skala.

Vid vecka 12 hade en signifikant högre andel av patienterna som behandlats med adalimumab jämfört med placebo uppnått HiSCR. Vid vecka 12 hade en signifikant högre andel av patienterna i studie HS‑II upplevt en klinisk relevant minskning av HS‑relaterad hudsmärta (se tabell 19). Patienter som behandlats med adalimumab hade en signifikant lägre risk för försämring av sjukdomen under den initiala behandlingsperioden på 12 veckor.

Tabell 19
Effektresultat vid 12 veckor, HS‑studie I och II

 

HS‑studie I

HS‑studie II

 

Placebo

Adalimumab 40 mg varje vecka

Placebo

Adalimumab 40 mg varje vecka

Hidradenitis Suppurativa clinical response (HiSCR)a

N = 154
40 (26,0 %)

N = 153
64 (41,8 %)*

N = 163
45 (27,6 %)

N = 163
96 (58,9 %)***

 30 % minskning i hudsmärtab

N = 109
27 (24,8 %)

N = 122
34 (27,9 %)

N = 111
23 (20,7 %)

N = 105
48 (45,7 %)***

* p < 0,05, *** p < 0,001, adalimumab jämfört med placebo
a Hos alla randomiserade patienter
b Hos patienter med en baslinje för HS‑relaterad hudsmärta som var ≥ 3 baserat på den numeriska graderingsskalan (Numeric Rating Scale) 0‑10; 0 = ingen hudsmärta, 10 = obeskrivlig hudsmärta

Behandling med adalimumab 40 mg varje vecka minskade signifikant risken för försämring av abscesser och vätskande fistlar. Under de första 12 veckorna av studierna HS‑I och HS‑II upplevde ungefär dubbelt så många patienter i placebogruppen, jämfört med adalimumabgruppen, ett försämring av abscesser (23,0 % respektive 11,4 %) och vätskande fistlar (30,0 % respektive 13,9 %).

Större förbättringar vid vecka 12 från baslinjen jämfört med placebo uppvisades i den hudspecifika hälsorelaterade livskvaliteten mätt med Dermatology Life Quality Index (DLQI; studierna HS‑I och HS‑II), patient global satisfaction med medicinsk behandling som uppmätts via Treatment Satisfaction Questionnaire (TSQM; studierna HS‑I och HS‑II), och fysisk hälsa enligt physical component summary score SF‑36 (studie HS‑I).

Hos patienter som åtminstone delvis svarat på adalimumab 40 mg varje vecka vid vecka 12, uppnådde fler patienter HiSCR vid vecka 36 om behandling med adalimumab varje vecka fortsatte jämfört med patienter vars dosering reducerades till varannan vecka eller hos patienter där behandlingen avbröts (se tabell 20).

Tabell 20
Andel patientera som uppnått HiSCRb vid vecka 24 och 36 efter ändrad behandling från
adalimumab varje vecka vid vecka 12

 

Placebo (avbruten behandling)
N = 73

Adalimumab 40 mg varannan vecka
N = 70

Adalimumab 40 mg varje vecka
N = 70

Vecka 24

24 (32,9 %)

36 (51,4 %)

40 (57,1 %)

Vecka36

22 (30,1 %)

28 (40,0 %)

39 (55,7 %)

a Patienter som åtminstone delvis svarat på adalimumab 40 mg varje vecka efter 12 veckors behandling
b Patienter som uppfyllt protokollspecifika kriterier för uteblivet svar eller inte uppvisat någon förbättring var tvungna att uteslutas från studien och räknades som icke‑responders.

Hos patienter som delvis svarat vid vecka 12, och som behandlats kontinuerligt med adalimumab varje vecka, var HiSCR vid vecka 48 68,3 % och 65,1 % vid vecka 96. Långtidsbehandling med adalimumab 40 mg varje vecka i 96 veckor visade inga nya säkerhetsrisker.

Hos patienter i studierna HS‑I och HS‑II där behandling med adalimumab avbröts vid vecka 12 var HiSCR vid vecka 12 efter återinsättning av adalimumab 40 mg varje vecka tillbaka vid liknande nivåer som innan behandlingen avbröts (56,0 %).

Crohns sjukdom

Säkerhet och effekt av adalimumab utvärderades hos över 1 500 patienter med måttlig till svår aktiv Crohns sjukdom (Crohns sjukdom aktivitets index (CDAI) ≥ 220 och ≤ 450) i randomiserade, dubbelblinda, placebokontrollerade studier. Samtidig behandling med stabila doser av aminosalicylater, kortikosteroider och/eller immunmodulerande medel tilläts och 80 % av patienterna fortsatte med minst ett utav dessa läkemedel.

Induktion av klinisk remission (definierad som CDAI < 150) utvärderades i två studier, CD‑studie I (CLASSIC I) och CD‑studie II (GAIN). I CD‑studie I randomiserades 299 TNF‑antagonistnaiva patienter till en av fyra behandlingsgrupper; placebo vid vecka 0 och 2, 160 mg adalimumab vid vecka 0 och 80 mg vid vecka 2, 80 mg vid vecka 0 och 40 mg vid vecka 2, och 40 mg vid vecka 0 och 20 mg vid vecka 2. I CD‑studie II randomiserades 325 patienter som hade slutat svara på behandling med eller var intoleranta mot infliximab till behandling med antingen 160 mg adalimumab vid vecka 0 och 80 mg vid vecka 2 eller placebo vid veckorna 0 och 2. De primära patienter som inte svarade primärt uteslöts från studierna och därför utvärderades dessa patienter inte ytterligare.

Bibehållande av klinisk remission utvärderades i CD‑studie III (CHARM). I CD‑studie III fick 854 patienter öppen behandling med 80 mg vid vecka 0 och 40 mg vid vecka 2. Vid vecka 4 randomiserades patienterna till 40 mg varannan vecka, 40 mg varje vecka eller placebo med en total studielängd av 56 veckor. Patienter med kliniskt svar (sänkning i CDAI ≥ 70) vid vecka 4 stratifierades och analyserades separat från de som inte hade svarat kliniskt vid vecka 4. Nedtrappning av kortikosteroider tilläts efter vecka 8.

CD‑studie I och CD‑studie II induktion av remission och behandlingssvar visas i tabell 21.

Tabell 21
Induktion av klinisk remission och svar (% av patienter)

 

CD‑studie I: infliximabnaiva patienter

CD‑studie II: infliximaberfarna patienter

 

Placebo
N = 74

Adalimumab
80/40 mg
N = 75

Adalimumab
160/80 mg
N = 76

Placebo
N = 166

Adalimumab
160/80 mg
N = 159

Vecka 4

Klinisk remission

12 %

24 %

36 %*

7 %

21 %*

Kliniskt svar (CR‑100)

24 %

37 %

49 %**

25 %

38 %**

Alla p‑värden är parvisa jämförelser mellan proportionen för adalimumab jämfört med placebo
* p < 0,001
** p < 0,01

Liknande remissionsnivåer sågs för induktionsregimerna 160/80 mg och 80/40 mg vid vecka 8 och biverkningar sågs oftare i 160/80 mg‑gruppen.

Vid vecka 4 i CD‑studie III hade 58 % (499/854) av patienterna svarat kliniskt och utvärderades i den primära analysen. Av de som hade svarat kliniskt vid vecka 4 hade 48 % tidigare exponerats för annan TNF‑antagonist. Längden på remission och behandlingssvar presenteras i tabell 22. Resultat avseende klinisk remission var relativt konstant oberoende av tidigare TNF‑antagonistexponering.

Sjukdomsrelaterad sjukhusinläggning och kirurgiska ingrepp var signifikant lägre hos adalimumab-patienter jämfört med placebo vid vecka 56.

Tabell 22
Längden på klinisk remission och svar (% av patienter)

 

Placebo

40 mg adalimumab varannan vecka

40 mg adalimumab varje vecka

Vecka 26

N = 170

N = 172

N = 157

Klinisk remission

17 %

40 %*

47 %*

Kliniskt svar (CR‑100)

27 %

52 %*

52 %*

Patienter i steroidfri remission
i > = 90 dagara

3 % (2/66)

19 % (11/58)**

15 % (11/74)**

Vecka 56

N = 170

N = 172

N = 157

Klinisk remission

12 %

36 %*

41 %*

Kliniskt svar (CR‑100)

17 %

41 %*

48 %*

Patienter i steroidfri remission
i > = 90 dagara

5 % (3/66)

29 % (17/58)*

20 % (15/74)**

* p < 0,001 för adalimumab jämfört med placebo i parvisa jämförelse av proportioner
** p < 0,02 för adalimumab jämfört med placebo i parvisa jämförelse av proportioner
a Av de som fick kortikosteroider vid baslinje

Av de patienter som inte hade svarat vid vecka 4, hade 43 % av adalimumabbehandlade patienter svarat vid vecka 12 jämfört med 30 % av placebobehandlade patienter. Dessa resultat talar för att vissa patienter som inte har svarat vid vecka 4 kan ha nytta av behandling fram till vecka 12. Behandling som fortsätter efter vecka 12 resulterade inte in någon märkbar förhöjd svarsfrekvens (se avsnitt Dosering och administreringssätt).

117/276 patienter från CD–studie I och 272/777 patienter från CD‑studierna II och III följdes genom minst 3 års öppen adalimumabbehandling. 88 respektive 189 patienter fortsatte att vara i remission. Ett kliniskt svar (CR‑100) bibehölls hos 102 respektive 233 patienter.

Livskvalitet

I CD‑studie I och II, uppnåddes signifikant förbättring i totalpoäng i det sjukdomsspecifika frågeformuläret för inflammatoriska tarmsjukdomar (IBDQ) vid vecka 4 hos patienter som randomiserats till adalimumab 80/40 mg och 160/80 mg jämfört med placebo och sågs vid vecka 26 och 56 i CD‑studie III liksom i de adalimumabbehandlade grupperna jämfört med placebogruppen.

Ulcerös kolit

Säkerheten och effekten för multipeldoser av adalimumab utvärderades hos vuxna patienter med måttlig till svår aktiv ulcerös kolit (”Mayo score” 6 till 12 med endoskopisk subscore 2 till 3) i randomiserade, dubbelblinda, placebokontrollerade studier.

I studie UC‑I, randomiserades 390 TNF‑antagonistnaiva patienter till att få antingen placebo vecka 0 och 2, 160 mg adalimumab vecka 0 följt av 80 mg vecka 2 eller 80 mg vecka 0 följt av 40 mg vecka 2. Efter vecka 2 fick patienterna i de två grupperna med adalimumab 40 mg varannan vecka. Klinisk remission (definierad som ”Mayo score” ≤ 2 utan någon subscore > ) bedömdes vecka 8.

I studie UC‑II fick 248 patienter 160 mg adalimumab vecka 0, 80 mg vecka 2 och 40 mg varannan vecka därefter och 246 patienter fick placebo. Kliniska resultat bedömdes med avseende på induktion av remission vid vecka 8 och bibehållen remission vid vecka 52.

Patienter som fått induktion med 160/80 mg adalimumab uppnådde statistiskt signifikant högre procentuell remission jämfört med placebo vid vecka 8 i studie UC‑I (18 % respektive 9 %, p = 0,031) och studie UC‑II (17 % respektive 9 %, p = 0,019). I studie UC‑II var de som behandlades med adalimumab och var i remission vid vecka 8, 21/41 (51 %) i remission vid vecka 52.

Resultat från hela populationen i studie UC‑II visas i tabell 23.

Tabell 23
Svar, remission och mukosaläkning i studie UC‑II (% av patienter)

 

Placebo

Adalimumab 40 mg
varannan vecka

Vecka 52

N = 246

N = 248

Kliniskt svar

18 %

30 %*

Klinisk remission

9 %

17 %*

Mukosaläkning

15 %

25 %*

Steroidfri remission i ≥ 90 dagar a

6 %
(N = 140)

13 %*
(N = 150)

Vecka 8 och 52

Bibehållet svar

12 %

24 %**

Bibehållen remission

4 %

8 %*

Bestående mukosaläkning

11 %

19 %*

Klinisk remission med ”Mayo score” ≤ 2 utan någon subscore > 1;
Kliniskt svar minskas från baslinjen vid ”Mayo score” ≥ 3 och ≥ 30 % inklusive en minskning i ”rectal bleeding subscore ” [RBS] ≥ 1 eller en absolut RBS av 0 eller 1;
* p < 0,05 för adalimumab vs. placebo parvis jämförelse av andelar
** p < 0,001 för adalimumab vs. placebo parvis jämförelse av andelar
a Av dem som fick kortikosteroider vid baslinjen

Av de patienter som svarade vid vecka 8 hade 47 % svarat, 29 % var i remission, 41 % hade mukosaläkning och 20 % var i steroidfri remission i ≥ 90 dagar vid vecka 52.

Hos ungefär 40 % av patienterna i studie UC‑II hade tidigare anti‑TNF‑behandling med infliximab misslyckats. Effekten med adalimumab hos dessa patienter var mindre jämföret med den hos anti‑TNF‑naiva patienter. Bland patienter för vilka tidigare anti‑TNF‑behandling hade misslyckats uppnåddes remission vecka 52 hos 3 % med placebo och hos 10 % med adalimumab.

Patienterna från studierna UC‑I och UC‑II hade möjlighet att fortsätta i en öppen förlängningsstudie under lång tid (UC‑III). Efter 3 år av behandling med adalimumab fortsatte 75 % (301/402) att befinna sig i klinisk remission enligt partiell ”Mayo score”.

Sjukhusinläggningsfrekvens

Under 52 veckor för studierna UC‑1 och UC‑II observerades en lägre frekvens av generella sjukhusinläggningar och UC‑relaterade sjukhusinläggningar för den adalimumabbehandlade behandlingsgruppen jämfört med placebogruppen. Siffran för generella sjukhusinläggningar i adalimumabgruppen var 0,18 per patientår jämfört med 0,26 per patientår i placebogruppen, och de korresponderande siffrorna för UC‑relaterade sjukhusinläggningar var 0,12 per patientår jämfört med 0,22 per patientår.

Livskvalitet

I studie UC‑II visade behandling med adalimumab på förbättring av resultatet av det sjukdomsspecifika frågeformuläret för inflammatoriska tarmsjukdomar (IBDQ).

Uveit

Adalimumabs säkerhet och effekt utvärderades hos vuxna patienter med icke‑infektiös intermediär, bakre och panuveit, där patienter med isolerad främre uveit var exkluderade, i två randomiserade, dubbelmaskerade placebokontrollerade studier (UV I och II). Patienter fick placebo eller adalimumab som en startdos på 80 mg följt av 40 mg varannan vecka med början en vecka efter startdosen. Samtidig behandling med ett icke‑biologiskt immunsuppressivt läkemedel i stabila doser var tillåtet.

Studie UV I utvärderade 217 patienter med aktiv uveit trots behandling med kortikosteroider (prednison oralt vid doser på 10 till 60 mg/dag). Alla patienter fick en standardiserad 2‑veckorsdos av prednison på 60 mg/dag vid studiestart följt av ett obligatoriskt nedtrappningsschema, med helt avbruten kortikosteroidbehandling vid vecka 15.

Studie UV II utvärderade 226 patienter med inaktiv uveit med behov av kronisk kortikosteroidbehandling (prednison oralt 10 till 35 mg/dag) vid baslinjen för att kontrollera deras sjukdom. Patienterna genomgick därefter ett obligatoriskt nedtrappningssschema, med helt avbruten kortikosteroidbehandling vid vecka 19.

Den primära endpointen för effekt i båda studierna var ”tid till behandlingssvikt”. Behandlingssvikt definierades genom ett multikomponent utfall baserat på inflammatoriska korioretinala och/eller inflammatoriska retinala vaskulära lesioner, gradering av inflammerade celler i främre kammaren (anterior chamber (AC) cell grade), gradering av grumlingar i glaskroppen (vitreous haze (VH) grade) och bäst korrigerad synskärpa (best corrected visual acuity (BCVA)).

Patienter som avslutade studie UV I och UV II fick fortsätta i en icke-kontrollerad förlängningsstudie med en planerad längd på 78 veckor. Patienter tilläts fortsätta med studieläkemedlet efter vecka 78 tills de hade tillgång till adalimumab.

Klinisk respons

Resultaten från båda studierna demonstrerade en statistiskt signifikant minskning av risken för behandlingssvikt hos patienter som behandlats med adalimumab jämfört med patienter som fått placebo (se tabell 24). Båda studierna demonstrerade en tidig och bibehållen effekt av adalimumab med avseende på frekvens av behandlingssvikt jämfört med placebo (se figur 2).

Tabell 24
Tid till behandlingssvikt i studierna UV I och UV II

Analys behandling

N

Behandlingssvikt
N (%)

Tid till behandlingssvikt i median (månader)

HRa

CI 95 % för HRa

p‑värdeb

Tid till behandlingssvikt vid eller efter vecka 6 i studie UV I
Primär analys (ITT)

Placebo

107

84 (78,5)

3,0

-

-

-

Adalimumab

110

60 (54,5)

5,6

0,50

0,36, 0,70

< 0,001

Tid till behandlingssvikt vid eller efter vecka 2 i studie UV II
Primär analys (ITT)

Placebo

111

61 (55,0)

8,3

-

-

-

Adalimumab

115

45 (39,1)

NEc

0,57

0,39, 0,84

0,004

OBS: Behandlingssvikt vid eller efter vecka 6 (studie UV 1), eller vid eller efter vecka 2 (studie UV II) räknades som en incident. Bortfall på grund av andra skäl än behandlingssvikt censurerades vid tidpunkten då bortfallet skedde.
a HR för adalimumab jämfört med placebo från proportionella hazard‑regressioner med behandling som faktor
b Dubbelsidigt P‑värde från log rank test
c NE = ej möjligt att utvärdera. Färre än hälften av patienterna i riskzonen var med om en incident

Figur 2
Kaplan‑Meier‑kurvor som summerar tid till behandlingssvikt vid eller efter vecka 6 (studie UV I) eller vecka 2 (studie UV II)

OBS: P# = Placebo (Antal incidenter/Antal i riskzonen); A# = Adalimumab (Antal incidenter/Antal i riskzonen)

I studie UV I observerades statistisk signifikant skillnad till adalimumabs fördel jämfört med placebo för varje komponent av behandlingssvikt. I studie UV II visades statistiskt signifikanta skillnader enbart för synskärpa, men de andra komponenterna var numeriskt till fördel för adalimumab.

Av de 424 patienter som inkluderades i den icke-kontrollerade förlängningsstudien av studierna UV I och UV II, bedömdes 60 patienter som olämpliga (t.ex. på grund av avvikelser eller på grund av sekundära komplikationer till diabetesretinopati på grund av kataraktkirurgi eller vitrektomi) och exkluderades från den primära effektanalysen. Av de 364 resterande patienterna, nådde 269 utvärderade patienter (74 %) 78 veckors öppen adalimumab-behandling. Baserat på observerade data, hade 216 (80,3 %) patienter en lågaktiv sjukdomsperiod (inga aktiva inflammatoriska lesioner, AC-cellgrad ≤ 0,5+, VH grad ≤ 0,5+) med en samtidig steroiddos ≤ 7,5 mg per dag och 178 (66,2 %) patienter hade en period med steroidfri lågaktiv sjukdom. BCVA förbättrades eller upprätthölls (< 5 bokstävers försämring) i 88,6 % av ögonen vid vecka 78. Data efter vecka 78 överensstämde generellt med dessa resultat men antalet deltagande patienter sjönk efter denna tidpunkt. Sammantaget, av de patienter som avbröt studien, var 18 % på grund av biverkningar och 8 % på grund av otillräckligt svar på adalimumab-behandlingen.

Livskvalitet

Patientrapporterade utfall med avseende på synrelaterade funktioner mättes i båda kliniska studierna, med hjälp av NEI VFQ‑25. Adalimumab hade numerisk fördel för majoriteten av subscores med statistiskt signifikanta genomsnittliga skillnader för generell syn, okulär smärta, närsynthet, psykisk hälsa och totala scoren i studie UV I samt för generell syn och psykisk hälsa i studie UV II. Synrelaterade effekter var inte numeriskt till fördel för adalimumab gällande färgseende i studie UV I och färgseende, perifert seende och närsynthet i studie UV II.

Immunogenicitet

Antikroppar mot adalimumab kan bildas under behandling med adalimumab. Bildning av anti‑adalimumabantikroppar är sammankopplad med ökad clearance och minskad effekt av adalimumab. Det finns ingen tydlig korrelation mellan anti‑adalimumab antikroppar och förekomsten av biverkningar.

Pediatrisk population

Juvenil idiopatisk artrit (JIA)

Polyartikulär juvenil idiopatisk artrit (pJIA)

Säkerhet och effekt av adalimumab utvärderades i två studier (pJIA I och II) hos barn med aktiv polyartikulär juvenil idiopatisk artrit, som hade varierande debuttyper av JIA (mest frekvent var reumatoid faktor negativ eller positiv polyartrit och utvidgad oligoartikulär JIA).

pJIA I

Säkerhet och effekt av adalimumab utvärderades i en multicenter, randomiserad, dubbelblind, parallellgruppsstudie hos 171 barn (4‑17 år gamla) med polyartikulär JIA. I den öppna, inledandefasen (OL LI, open‑label lead in phase) blev patienterna stratifierade till två grupper, antingen MTX (metotrexat)‑behandling eller inte MTX‑behandling. Patienter som var i den ”inte MTX‑behandling” var antingen naiva till eller hade slutat använda MTX minst två veckor före administrering av studieläkemedel. Patienter kvarstod på stabila doser med icke‑steroida antiinflammatoriska läkemedel (NSAID) och/eller prednison (< 0,2 mg/kg/dag eller maximalt 10 mg/dag). I OL LI‑fasen fick alla patienter 24 mg/m2 upp till maximalt 40 mg adalimumab varannan vecka under 16 veckor. Fördelning av patienter i ålder och minimum, median och maximum doser som administrerades under OL LI‑fasen presenteras i tabell 25.

Tabell 25
Fördelning av patienter avseende ålder och adalimumab doser som administrerades under OL LI‑fasen

Åldersgrupp

Antal patienter vid baslinje N (%)

Minimum, median och maximal dos

4 till 7 år

31 (18,1)

10, 20 och 25 mg

8 till 12 år

71 (41,5)

20, 25 och 40 mg

13 till 17 år

69 (40,4)

25, 40 och 40 mg

Patienter som uppvisade ett pediatriskt ACR 30‑svar vid vecka 16, kvalificerades till att randomisera in i den dubbelblinda (DB) fasen och fick antingen adalimumab 24 mg/m2 upp till maximalt 40 mg, eller placebo varannan vecka under ytterligare 32 veckor eller tills sjukdomsförsämring inträffade. Kriterier för sjukdomsförsämring definierades som en försämring av ≥ 30 % från baslinjen hos ≥ 3 av de 6 kriterierna för pediatrisk ACR, ≥ 2 aktiva leder, och förbättring av > 30 % i inte fler än 1 av de 6 kriterierna. Efter 32 veckor eller vid sjukdomsförsämring kunde patienterna enrolleras in till den öppna förlängningsfasen.

Tabell 26
PedACR 30 svar i JIA‑studien

Stratum

MTX

Utan MTX

Fas

OL LI 16 veckor

Ped ACR 30‑svar (n/N)

94,1 % (80/85)

74,4 % (64/86)

Effekt

Dubbelblind 32 veckor

Adalimumab/MTX
(N = 38)

Placebo/MTX
(N = 37)

Adalimumab
(N = 30)

Placebo
(N = 28)

Sjukdomsförsämring i slutet av vecka 32a (n/N)

36,8 % (14/38)

64,9 % (24/37)b

43,3 % (13/30)

71,4 % (20/28)c

Mediantid för sjukdomsförsämring

> 32 veckor

20 veckor

> 32 veckor

14 veckor

a Ped ACR 30/50/70 svar vecka 48 var signifikant högre än de placebobehandlade patienterna
b p = 0,015
c p = 0,031

Bland de som svarade på behandlingen vecka 16 (n = 144), kvarstod de pediatriska ACR‑svaren (ACR 30/50/70/90) i upp till sex år i OLE‑fasen hos patienter som fick adalimumab genom hela studien. Totalt 19 patienter av vilka 11 var i åldersgrupp 4‑12 år vid baslinjen och 8 av dem var i åldersgrupp 13‑17 år vid baslinjen, behandlades 6 år eller längre.

Det totala behandlingssvaret var generellt bättre och färre patienter utvecklade antikroppar då de behandlades med kombinationen adalimumab och MTX jämfört med adalimumab enbart. Då man tar dessa resultat under övervägande rekommenderas att adalimumab används i kombination med MTX och för användning som monoterapi hos de patienter där MTX‑användning är olämpligt (se avsnitt Dosering och administreringssätt).

pJIA II

Säkerhet och effekt av adalimumab utvärderades i en öppen multicenter studie hos 32 barn (2‑< 4 år eller 4 år och uppåt med vikten < 15 kg) med måttlig till allvarlig, pågående polyartikulär JIA. Patienterna fick 24 mg/m2 kroppsyta (BSA) av adalimumab upp till maximalt 20 mg varannan vecka som en singeldos via subkutan injektion under minst 24 veckor. Under studien så använde de flesta patienterna samtidigt MTX, ett fåtal rapporterade att de använda kortikosteroider eller NSAIDs.

Vid vecka 12 och vecka 24, så var PedACR 30‑svaret 93,5 % respektive 90,0 %, då observerad data användes. Proportionen av patienter med PedACR50/70/90 vid vecka 12 och vecka 24 var 90,3 %/61,3 %/38,7 % respektive 83,3 %/73,3 %/36,7 %. Bland de som svarade (Pediatric ACR 30) vid vecka 24 (n = 27 av 30 patienter), bibehölls de Pediatriska ACR 30‑svaren i upp till 60 veckor under OLE‑fasen hos patienter som fick adalimumab under hela den perioden. Sammantaget behandlades 20 patienter under 60 veckor eller längre.

Entesitrelaterad artrit

Säkerhet och effekt av adalimumab utvärderades i en multicenter, randomiserad, dubbelblind studie hos 46 pediatriska patienter (6‑17 år) med måttlig entesitrelaterad artrit. Patienter randomiserades till att antigen få 24 mg/m2 kroppsyta av adalimumab upp till maximalt 40 mg, eller placebo, varannan vecka i 12 veckor. Den dubbelblindade perioden följdes av en öppen period där patienter fick 24 mg/m2 kroppsyta av adalimumab upp till maximalt 40 mg varannan vecka subkutant i upp till ytterligare 192 veckor. Primära endpoint var den procentuella förändringen från baslinjen till vecka 12 av antalet aktiva leder med artrit (svullnad som inte beror på deformitet eller leder med inskränkt rörlighet plus smärta och/eller ömhet), vilket uppnåddes med genomsnittlig procentuell minskning på ‑62,6 % (median för procentuell förändring -88,9 %) hos patienter iadalimumabgruppen jämfört med ‑11,6 % (median för procentuell förändring -50,0 %) hos patienterna i placebogruppen. Förbättring i antalet aktiva leder med artrit bibehölls under den öppna perioden till och med vecka 156 för de 26 av 31 (84%) patienter i adalimumabgruppen som stannade kvar i studien. Även om det inte var statistiskt signifikant, visade majoriteten av patienterna klinisk förbättring i sekundära endpoints såsom antalet entesititer, antalet ömma leder, antalet svullna leder, pediatrisk ACR 50‑svar och pediatrisk ACR 70‑svar.

Pediatriska patienter med plackpsoriasis

Effekten hos adalimumab utvärderades i en randomiserad, dubbelblind, kontrollerad studie med 114 pediatriska patienter från 4 års ålder med svår kronisk plackpsoriasis (definierad som PGA ≥ 4 eller > 20 % BSA‑engagemang eller > 10 % BSA‑engagemang med mycket tjocka lesioner eller PASI ≥ 20 eller ≥ 10 med kliniskt relevant involvering av ansiktet, genitalierna eller händer/fötter) som inte kontrollerats tillfredställande med topikal behandling och solbehandling eller ljusbehandling.

Patienter fick adalimumab 0,8 mg/kg varannan vecka (upp till 40 mg), 0,4 mg/kg varannan vecka (upp till 20 mg) eller metotrexat 0,1‑0,4 mg/kg varje vecka (upp till 25 mg). Vid vecka 16 hade patienter som randomiserats till adalimumab 0,8 mg/kg haft en större positiv klinisk respons (PASI 75) än de som randomiserats till 0,4 mg/kg varannan vecka eller metotrexat.

Tabell 27
Effektresultat för pediatriska patienter med plackpsoriasis vid vecka 16

 

MTXa
N = 37

Adalimumab 0,8 mg/kg varannan vecka
N = 38

PASI 75b

12 (32,4 %)

22 (57,9 %)

PGA: utläkt/minimalc

15 (40,5%)

23 (60,5%)

a MTX = metotrexat
b P = 0,027; adalimumab 0,8 mg/kg jämfört med MTX
c P = 0,083; adalimumab 0,8 mg/kg jämfört med MTX

För patienter som uppnådde PASI 75 och PGA ”utläkt” eller ”minimal” stoppades behandlingen i upp till 36 veckor och patienterna monitorerades för sjukdomsåterfall (förvärrande av PGA med åtminstone 2 grader). Patienterna återinsattes sedan på adalimumab 0,8 mg/kg varannan vecka i ytterligare 16 veckor och effektresultaten var liknande den tidigare dubbelblindade perioden; PASI 75‑svar på 78,9 % (15 av 19 patienter) och PGA ”utläkt” eller ”minimal” på 52,6 % (10 av 19 patienter).

I den öppna förlängningen av studien kvarstod responsen PASI 75 och PGA ”utläkt” eller ”minimal” i upp till 52 veckor utan någon ytterligare påverkan av säkerhetsprofilen.

Ungdomar med hidradenitis suppurativa

Det finns inga kliniska studier med adalimumab hos ungdomar med HS. Effekten av adalimumab för behandling av ungdomar med HS predikteras baserat på den påvisade effekten samt sambandet mellan exponering och behandlingssvar hos vuxna HS‑patienter och sannolikheten att sjukdomsprogression, patofysiologi och läkemedelseffekt är väsentligen lik den hos vuxna vid samma exponeringsnivå. Säkerheten för den rekommenderade adalimumabdoseringen hos ungdomar med HS är baserad på säkerhetsprofilen för adalimumab för både vuxen- och barnindikationerna vid liknande eller mer frekvent dosering (se avsnitt Farmakokinetiska egenskaper).

Pediatriska patienter med Crohns sjukdom

Adalimumab utvärderades i en multicenter, randomiserad, dubbelblind klinisk prövning utformad för att utvärdera effekt och säkerhet av induktions- och underhållsbehandling med doser beroende av kroppsvikt (< 40 kg eller ≥ 40 kg) hos 192 pediatriska patienter i åldern mellan 6 och 17 år med måttlig till svår Crohns sjukdom (CD) definierad som Pediatrisk Crohns sjukdoms Aktivitetsindex (PCDAI) score > 30. Patienter skulle ha fallerat på konventionell behandlingsterapi (inklusive en kortikosteroid och/eller en immunmodulator) för CD. Patienter kunde också ha slutat svara eller varit intoleranta mot infliximab.

Alla patienter fick öppen induktionsbehandling med dosering baserad på deras kroppsvikt vid baslinjen; 160 mg vid vecka 0 och 80 mg vid vecka 2 för patienter ≥ 40 kg och 80 mg och 40 mg vid respektive tillfälle för patienter < 40 kg.

Vid vecka 4 randomiserades patienterna 1:1 baserat på sin kroppsvikt vid denna tidpunkt till underhållsbehandling, antingen i lågdos eller standarddos, som visas i tabell 28.

Tabell 28
Underhållsbehandling

Patientvikt

Lågdos

Standarddos

< 40 kg

10 mg varannan vecka

20 mg varannan vecka

≥ 40 kg

20 mg varannan vecka

40 mg varannan vecka

Effektresultat

Den primära endpointen av studien var klinisk remission vid vecka 26, definierad som PCDAI‑score ≤ 10.

Klinisk remission och kliniskt svar (definierad som en sänkning i PCDAI‑score med minst 15 punkter från baslinjen) presenteras i tabell 29. Diskontinuering av kortikosteroider eller immunmodulatorer presenteras i tabell 30.

Tabell 29
Pediatrisk CD‑studie
PCDAI klinisk remission och svar

 

Standarddos
40/20 mg varannan vecka
N = 93

Lågdos
20/10 mg varannan vecka
N = 95

P‑värde*

Vecka 26

Klinisk remission

38,7 %

28,4 %

0,075

Kliniskt svar

59,1 %

48,4 %

0,073

Vecka 52

Klinisk remission

33,3 %

23,2 %

0,100

Kliniskt svar

41,9 %

28,4 %

0,038

* p‑värde för standarddos jämfört med lågdos

Tabell 30
Pediatrisk CD‑studie
Diskontinuering av kortikosteroider eller immunmodulerare och fistelremission

 

Standarddos
40/20 mg varannan vecka

Lågdos
20/10 mg varannan vecka

P‑värde1

Diskontinuering kortikosteroider

N = 33

N = 38

 

Vecka 26

84,8 %

65,8 %

0,066

Vecka 52

69,7 %

60,5 %

0,420

Diskontinuering av immunmodulerare2

N = 60

N = 57

 

Vecka 52

30,0 %

29,8 %

0,983

Fistelremission3

N = 15

N = 21

 

Vecka 26

46,7 %

38,1 %

0,608

Vecka 52

40,0 %

23,8 %

0,303

1 p‑värde för standarddos jämfört med lågdos
2 Immunsupprimerande behandling kunde endast avbrytas vid eller efter vecka 26 av prövaren om patienten ej nådde kriteriet för klinisk respons
3 Definierad som stängning av alla fistlar som var öppna vid baslinjen under minst 2 efterföljande post‑ baslinjebesök

Statistiskt signifikanta ökningar (förbättringar) från baslinje till vecka 26 och 52 i kroppsmasseindex och längdtillväxt observerades för både behandlingsgrupperna.

Statistiskt signifikanta ökningar (förbättringar) från baslinje observerades hos båda behandlingsgrupperna för livskvalitetsparametrarna (inklusive IMPACT III).

Ett hundra patienter (n = 100) från den pediatriska CD‑studien fortsatte in i en oblindad långtids-förlängningsstudie. Efter 5 år med adalimumabterapi var 74 % (37/50) av de kvarvarande 50 patienterna i studien fortfarande i klinisk remission, och 92 % (46/50) av patienterna visade fortfarande på kliniskt svar enligt PCDAI.

Pediatriska patienter med ulcerös kolit

Säkerhet och effekt för adalimumab utvärderades i en randomiserad, dubbelblind multicenterstudie på 93 pediatriska patienter från 5 till 17 års ålder med måttlig till svår ulcerös kolit (”Mayo score” 6 till 12 med subscore för endoskopi på 2 till 3 poäng, bekräftat med centralt avläst endoskopi) som hade ett otillräckligt svar på eller inte tolererade konventionell behandling. Cirka 16 % av patienterna i studien hade sviktat på tidigare anti‑TNF‑behandling. Patienter som fick kortikosteroider vid inskrivningen i studien tilläts trappa ned behandlingen med kortikosteroider efter vecka 4.

Under induktionsperioden för studien randomiserades 77 patienter i förhållandet 3:2 till dubbelblind behandling med adalimumab vid en induktionsdos på 2,4 mg/kg (maximalt 160 mg) vecka 0 och vecka 1, och 1,2 mg/kg (maximalt 80 mg) vecka 2; eller en induktionsdos på 2,4 mg/kg (maximalt 160 mg) vecka 0, placebo vecka 1, och 1,2 mg/kg (maximalt 80 mg) vecka 2. Båda grupperna fick 0,6 mg/kg (maximalt 40 mg) vecka 4 och vecka 6. Efter en ändring av studiens utformning fick de återstående 16 patienterna som rekryterades under induktionsperioden öppen behandling med adalimumab med induktionsdosen 2,4 mg/kg (maximalt 160 mg) vecka 0 och vecka 1, och 1,2 mg/kg (maximalt 80 mg) vecka 2.

Vecka 8 randomiserades 62 patienter som uppvisade kliniskt svar enligt partiell ”Mayo score” (Partial Mayo Score, PMS, definierat som en minskning av PMS ≥ 2 poäng och ≥ 30 % från baslinjen) i lika antal till att få dubbelblind underhållsbehandling med adalimumab av en dos på 0,6 mg/kg (maximalt 40 mg) varje vecka , eller en underhållsdos på 0,6 mg/kg (maximalt 40 mg) varannan vecka. Före en ändring av studiedesignen randomiserades ytterligare 12 patienter som uppvisade kliniskt svar enligt PMS till att få placebo, men de ingick inte i den konfirmerande analysen av effekt.

Sjukdomsutbrott definierades som en ökning av PMS på minst 3 poäng (för patienter med PMS på 0 till 2 vecka 8), minst 2 poäng (för patienter med PMS på 3 till 4 vecka 8), eller minst 1 poäng (för patienter med PMS på 5 till 6 vecka 8).

Patienter som uppfyllde kriterierna för sjukdomsutbrott vid eller efter vecka 12 randomiserades till att få en återinduktionsdos på 2,4 mg/kg (maximalt 160 mg) eller en dos på 0,6 mg/kg (maximalt 40 mg) och fortsatte att ta sin respektive underhållsdosregim efteråt.

Effektresultat

De ko‑primära effektmåtten i studien var klinisk remission enligt PMS (definierat som PMS ≤ 2 och ingen individuell subscore > 1) vecka 8 och klinisk remission enligt fullständig ”Mayo score” (Full Mayo Score, FMS) (definierat som en ”Mayo score” ≤ 2 och ingen individuell subscore > 1) vecka 52 hos patienter som uppnått kliniskt svar enligt PMS vecka 8.

Kliniska remissionsfrekvenser enligt PMS vid vecka 8 för patienter i var och en av de dubbelblinda

Adalimumab‑induktionsgrupperna redovisas i tabell 31.

Tabell 31
Klinisk remission enligt PMS vid 8 veckor

 

Adalimumaba
maximalt 160 mg
Vecka 0/placebo vecka 1

N = 30

Adalimumabb, c
maximalt 160 mg vecka 0 och vecka 1

N = 47

Klinisk remission

13/30 (43,3 %)

28/47 (59,6 %)

a Adalimumab 2,4 mg/kg (maximalt 160 mg) vecka 0, placebo vecka 1 och 1,2 mg/kg (maximalt 80 mg) vecka 2
b Adalimumab 2,4 mg/kg (maximalt 160 mg) vecka 0 och vecka 1, och 1,2 mg/kg (maximalt 80 mg) vecka 2
c Inte inkluderat en öppen induktionsdos av adalimumab 2,4 mg/kg (maximalt 160 mg) vecka 0 och vecka 1, och 1,2 mg/kg (maximalt 80 mg) vecka 2
Obs 1: Båda induktionsgrupperna fick 0,6 mg/kg (maximalt 40 mg) vecka 4 och vecka 6
Obs 2: Patienter med saknade värden vecka 8 ansågs inte ha uppnått endpoint

Vid vecka 52 bedömdes klinisk remission enligt FMS hos vecka 8responders, kliniskt svar enligt FMS (definierat som en minskning av ”Mayo score” ≥ 3 poäng och ≥ 30 % från baslinjen) hos vecka 8‑responders, slemhinneläkning (definierat som ”Mayo subscore” för endoskopi ≤ 1) hos vecka 8‑responders, klinisk remission enligt FMS hos vecka 8‑remittenter, och andelen patienter med kortikosteroidfri remission enligt FMS hos vecka 8‑responders hos patienter som fick adalimumab vid de dubbelblinda maximala underhållsdoserna på 40 mg varannan vecka (0,6 mg/kg) och maximalt 40 mg varje vecka (0,6 mg/kg) (tabell 32).

Tabell 32
Effektresultat vid 52 veckor

 

Adalimumaba
maximalt 40 mg varannan vecka

N = 31

Adalimumabb
maximalt 40 mg varje vecka

N = 31

Klinisk remission hos vecka 8 PMS‑responders

9/31 (29,0 %)

14/31 (45,2 %)

Klinisk respons hos vecka 8 PMS‑responders

19/31 (61,3 %)

21/31 (67,7 %)

Slemhinneläkning hos vecka 8 PMS‑responders

12/31 (38,7 %)

16/31 (51,6 %)

Klinisk remission hos vecka 8 PMS‑remittenter

9/21 (42,9 %)

10/22 (45,5 %)

Kortikosteroidfri remission hos vecka 8 PMS‑respondersc

4/13 (30,8 %)

5/16 (31,3 %)

a Adalimumab 0,6 mg/kg (maximalt 40 mg) varannan vecka
b Adalimumab 0,6 mg/kg (maximalt 40 mg) varje vecka
c Hos patienter som fick samtidig behandling med kortikosteroider vid baslinjen
Obs: Patienter med saknade värden vecka 52 eller som randomiserades till att få återinduktions- eller underhållsbehandling ansågs vara icke‑responders för vecka 52‑endpoints

Ytterligare utforskande effekt‑endpoints inkluderade kliniskt svar enligt PUCAI (Paediatric Ulcerative Colitis Activity Index) (definierat som en minskning av PUCAI ≥ 20 poäng från baslinjen) och klinisk remission enligt PUCAI (definierat som PUCAI < 10) vecka 8 och vecka 52 (tabell 33).

Tabell 33
Utforskande endpoint‑resultat enligt PUCAI

 

Vecka 8

Adalimumaba
maximalt 160 mg vecka 0/placebo vecka 1

N = 30

Adalimumabb,c
maximalt 160 mg vecka 0 och vecka 1

N = 47

Klinisk remission enligt PUCAI

10/30 (33,3 %)

22/47 (46,8 %)

Kliniskt svar enligt PUCAI

15/30 (50,0 %)

32/47 (68,1 %)

 

Vecka 52

Adalimumabd
maximalt 40 mg varannan vecka

N = 31

Adalimumabe
maximalt 40 mg varje vecka

N = 31

Kliniskt remission enligt PUCAI hos vecka 8 PMS‑responders

14/31 (45,2 %)

18/31 (58,1 %)

Kliniskt svar enligt PUCAI hos vecka 8 PMS‑responders

18/31 (58,1 %)

16/31 (51,6 %)

a Adalimumab 2,4 mg/kg (maximalt 160 mg) vecka 0, placebo vecka 1 och 1,2 mg/kg (maximalt 80 mg) vecka 2
b Adalimumab 2,4 mg/kg (maximalt 160 mg) vecka 0 och vecka 1, och 1,2 mg/kg (maximalt 80 mg) vecka 2
c Inte inkluderat en öppen induktionsdos av adalimumab 2,4 mg/kg (maximalt 160 mg) vecka 0 och vecka 1, och 1,2 mg/kg (maximalt 80 mg) vecka 2
d Adalimumab 0,6 mg/kg (maximalt 40 mg) varannan vecka
e Adalimumab 0,6 mg/kg (maximalt 40 mg) varje vecka
Obs 1: Båda induktionsgrupperna fick 0,6 mg/kg (maximalt 40 mg) vecka 4 och vecka 6
Obs 2: Patienter med saknade värden vecka 8 ansågs inte ha uppfyllt endpoints
Obs 3: Patienter med saknade värden vecka 52 eller som randomiserades till att få återinduktions- eller underhållsbehandling ansågs vara icke‑responders för vecka 52‑endpoints

Av de adalimumabbehandlade patienterna som fick åter‑induktionsbehandling under underhållsperioden, hade 2/6 (33 %) uppnått kliniskt svar enligt FMS vecka 52.

Livskvalitet

Kliniskt meningsfulla förbättringar från baslinjen observerades i IMPACT III och i resultaten för vårdgivarens arbetsproduktivitet och aktivitetsförsämring (Work Productivity and Activity Impairment - WPAI) för de grupper som behandlades med Adalimumab. Kliniskt meningsfulla ökningar (förbättring) från baslinjen i längdtillväxt observerades för de grupper som behandlades med adalimumab, och kliniskt betydelsefulla ökningar (förbättring) från baslinjen i BMI observerades för patienter som fick den höga underhållsdosen på maximalt 40 mg (0,6 mg/kg) varje vecka.

Pediatriska patienter med uveit

Adalimumabs säkerhet och effekt utvärderades i en randomiserad, dubbelmaskerad, kontrollerad studie med 90 pediatriska patienter från 2 till < 18 års ålder med aktiv JIA‑associerad icke‑infektiös främre uveit och som inte svarat på minst 12 veckors behandling med metotrexat. Patienterna fick antingen placebo eller 20 mg adalimumab (vid < 30 kg) eller 40 mg adalimumab (vid ≥ 30 kg) varannan vecka i kombination med deras baslinjedos av metotrexat.

Den primära endpointen var ”tid till behandlingssvikt”. Kriterierna för behandlingssvikt var försämring eller fortsatt oförbättrad okulär inflammation, delvis förbättring med utveckling av bibehållen okulär komorbiditet eller försämring av okulär komorbiditet, ej tillåten användning av samtidig medicinering och behandlingsuppehåll under en längre period.

Kliniskt svar

Adalimumab fördröjde signifikant tiden till behandlingssvikt i jämförelse med placebo (se figur 3, P < 0,0001 från log rank test). Mediantiden till behandlingssvikt var 24,1 veckor för patienter som behandlades med placebo, medan mediantiden till behandlingssvikt för patienter som behandlades med adalimumab inte gick att fastställa eftersom mindre än hälften av dessa patienter uppvisade behandlingssvikt. Adalimumab minskade signifikant risken för behandlingssvikt med 75 % jämfört med placebo, vilket framgår av hazardkvoten (HR = 0,25 [95 % CI: 0,12; 0,49]).

Figur 3: Kaplan‑Meier‑kurvor som summerar tid till behandlingssvikt i studien på pediatrisk uveit

Farmakokinetiska egenskaper

Absorption och distribution

Efter subkutan administrering av en singeldos på 40 mg var absorptionen och distributionen av adalimumab långsam och högsta serumkoncentrationen nåddes cirka 5 dagar efter administrering. Den genomsnittliga biotillgängligheten beräknat från tre studier efter administrering av 40 mg adalimumab var 64 %. Efter administrering av intravenösa singeldoser i intervallet 0,25 till 10 mg/kg var koncentrationerna dosberoende. Efter doser på 0,5 mg/kg (~ 40 mg) varierade clearence från 11 till 15 ml/timme, distributionsvolymen (Vss) varierade mellan 5 till 6 liter och medelvärdet för terminal halveringstid var 2 veckor. Koncentrationen av adalimumab i synovialvätska från ett flertal patienter med reumatoid artrit varierade mellan 31‑96 % av koncentrationen i serum.

Efter subkutan administrering av 40 mg adalimumab varannan vecka hos vuxna reumatoid artrit (RA) patienter var medelvärdet för de lägsta steady state medelkoncentrationerna ca 5 µg/ml (utan samtidig metotrexat) och 8 till 9 µg/ml (med samtidig metotrexat). Predoskoncentrationen av adalimumab i serum vid steady state ökade grovt räknat proportionellt med dosen efter subkutan tillförsel av 20, 40 och 80 mg varannan vecka och vid varje vecka.

Efter administrering av 24 mg/m2 (maximalt 40 mg) adalimumab subkutant varannan vecka utan samtidig behandling med metotrexat, hos patienter med polyartikulär juvenil idiopatisk artrit (JIA) som var 4‑17 år, var medelvärdet för dalkoncentrationen av adalimumab i serum vid steady state 5,6 ± 5,6 µg/ml (102 % CV) (värden uppmättes från vecka 20 till 48). Vid samtidig behandling med metotrexat var medelvärdet 10,9 ± 5,2 µg/ml (47,7 % CV).

Hos patienter med polyartikulär JIA som var 2 till < 4 år eller 4 år och äldre och som vägde < 15 kg doserade med adalimumab 24 mg/m2, var medelvärdet för dalkoncentrationerna av adalimumab i serum vid steady state 6,0 ± 6,1 µg/ml (101 % CV) utan samtidig behandling med metotrexat och 7,9 ± 5,6 µg/ml (71,2 % CV) med samtidig användning av metotrexat.

Efter administrering av 24 mg/m2 (maximalt 40 mg) adalimumab subkutant varannan vecka utan samtidig behandling med metotrexat, hos patienter med entesitrelaterad artrit, 6‑17 år, var medelvärdet för dalkoncentrationen av adalimumab i serum vid steady state 8,8 ± 6,6 µg/ml (värden uppmättes vid vecka 24). Vid samtidig behandling med metotrexat var medelvärdet 11,8 ± 4,3 µg/ml.

Efter subkutan administrering av 40 mg adalimumab varannan vecka hos vuxna patienter med icke-radiografisk axial spondylartrit, var medelvärdet (± SD) för dalkoncentrationen vid steady-state vid vecka 68, 8,0 ± 4,6 µg/ml.

Hos vuxna patienter med psoriasis var medelvärdet för dalkoncentrationen vid steady state 5 µg/ml under behandling med adalimumab 40 mg varannan vecka som monoterapi.

Efter administrering av 0,8 mg/kg (maximalt 40 mg) subkutant varannan vecka till pediatriska patienter med kronisk plackpsoriasis var medelvärdet ± SD för dalkoncentrationen av adalimumab vid steady state cirka 7,4 ± 5,8 µg/ml (79 % CV).

Hos vuxna patienter med hidradenitis suppurativa ger en dos av 160 mg adalimumab vid vecka 0 följt av 80 mg vecka 2 dalkoncentrationer av adalimumab på ungefär 7 till 8 µg/ml vid vecka 2 och vecka 4. Medelvärdet för dalkoncentrationen vid steady state vid vecka 12 till vecka 36 var ungefär 8 till 10 µg/ml vid behandling med adalimumab 40 mg varje vecka.

Adalimumabexponeringen hos ungdomar med HS predikterades med hjälp av populationsbaserad farmakokinetisk modellering och simulering baserad på farmakokinetik hos andra pediatriska patienter över flera indikationer (pediatrisk psoriasis, juvenil idiopatisk artrit, pediatrisk Crohns sjukdom och entesitrelaterad artrit). Den rekommenderade doseringen för ungdomar med HS är 40 mg varannan vecka. Eftersom exponeringen för adalimumab kan påverkas av kroppsvikten, kan det vara lämpligt att ge den rekommenderade vuxendosen på 40 mg varje vecka till ungdomar med en högre kroppsvikt och otillräckligt behandlingssvar.

Hos patienter med Crohns sjukdom ger laddningsdosen 80 mg adalimumab vid vecka 0 följt av 40 mg adalimumab vecka 2 dalkoncentrationer av serum adalimumab på ungefär 5,5 µg/ml under induktionsperioden. En laddningsdos av 160 mg adalimumab vid vecka 0 följt av 80 mg adalimumab vecka 2 ger dalkoncentrationer av adalimumab på ungefär 12 µg/ml under induktionsperioden. Ett medelvärde för dalkoncentrationen vid steady state på ungefär 7 µg/ml sågs hos patienter med Crohns sjukdom som fick en underhållsdos av 40 mg adalimumab varannan vecka.

Hos pediatriska patienter med måttlig till svår CD, var den öppna induktionsdosen av adalimumab 160/80 mg respektive 80/40 mg vid vecka 0 och 2, beroende på en kroppsviktsgräns över/under 40 kg. Vid vecka 4 randomiserades patienterna 1:1 baserat på kroppsvikt till underhållsbehandlingsgrupper med antingen standarddos (40/20 mg varannan vecka) eller lågdos (20/10 mg varannan vecka). Medelvärdet (±SD) för dalkoncentrationen av adalimumab i serum som uppnåddes vid vecka 4 var 15,7 ± 6,6 µg/ml för patienter ≥40 kg (160/80 mg) och 10,6 ± 6,1 µg/ml för patienter < 40 kg (80/40 mg).

För patienter som stod kvar på sin randomiseringsbehandling var dal-medelvärdet (±SD) för adalimumab vid vecka 52 9,5 ± 5,6 µg/ml för standarddosgruppen och 3,5 ± 2,2 µg/ml för lågdosgruppen. Dalkoncentrationernas medelvärde bibehölls hos patienter som fortsatte med adalimumab-behandling varannan vecka under 52 veckor. För patienter som hade doseskalerat från varannan vecka till varje vecka, var medel serumkoncentrationer (±SD) av adalimumab vid vecka 52; 15,3 ± 11,4 µg/ml (40/20 mg, varje vecka) och 6,7 ± 3,5 µg/ml (20/10 mg, varje vecka).

Hos patienter med ulcerös kolit uppnåddes med en laddningsdos på 160 mg adalimumab vecka 0 följt av 80 mg adalimumab vecka 2 dalkoncentrationer av adalimumab på ungefär 12 µg/ml under induktionsperioden. Medeldalvärden vid steady-state på ungefär 8 µg/ml sågs hos patienter med ulcerös kolit som fick underhållsdosering med adalimumab 40 mg varannan vecka.

Efter den subkutana administreringen av den kroppsviktsbaserade dosen på 0,6 mg/kg (maximalt 40 mg) varannan vecka till pediatriska patienter med ulcerös kolit var den genomsnittliga dalkoncentrationen av adalimumab i serum vid steady state 5,01 ± 3,28 μg/ml vecka 52. För patienter som fick 0,6 mg/kg (maximalt 40 mg) varje vecka var den genomsnittliga (± SD) dalkoncentrationen av adalimumab i serum vid steady state 15,7 ± 5,60 μg/ml vecka 52.

Hos vuxna patienter med uveit gav en startdos av 80 mg adalimumab vecka 0 följt av 40 mg adalimumab varannan vecka med början vecka 1 ett medelvärde för steady state koncentrationen på ungefär 8 till 10 µg/ml.

Adalimumabexponeringen hos pediatriska patienter med uveit predikterades med hjälp av populationsbaserad farmakokinetisk modellering och simulering, baserad på farmakokinetik hos andra pediatriska patienter över flera indikationer (pediatrisk psoriasis, juvenil idiopatisk artrit, pediatrisk Crohns sjukdom och entesitrelaterad artrit). Inga kliniska exponeringsdata finns tillgängliga för användning av en laddningsdos hos barn < 6 år. Den predikterade exponeringen tyder på att utan metotrexat kan en laddningsdos leda till initialt förhöjd systemisk exponering.

Populationsbaserad farmakokinetisk och farmakokinetisk/farmakodynamisk modellering och simulering predikterade jämförbar exponering och effekt av adalimumab hos patienter som behandlades med 80 mg varannan vecka jämfört med 40 mg varje vecka (inklusive vuxna patienter med RA, HS, UC, CD eller Ps, ungdomar med HS och pediatriska patienter ≥ 40 kg med CD och UC).

Exponerings-responsförhållande hos pediatriska patienter

Baserat på data från kliniska studier hos patienter med JIA (pJIA och ERA), faställdes ett exponerings-responssamband mellan plasmakoncentrationer och PedACR 50 respons. Den uppenbara plasmakoncentrationen av adalimumab som ger halva den maximal sannolikhet av PedACR 50 respons (EC50) var 3 μg/ml (95% CI: 1‑6 μg/ml).

Exponerings-responsförhållanden mellan koncentrationen av adalimumab och effekt hos pediatriska patienter med svår kronisk plackpsoriasis fastställdes för PASI 75 respektive PGA ”utläkt” eller ”minimal”. PASI 75 och PGA ”utläkt” eller ”minimal” ökade med ökande koncentrationer av adalimumab, båda med en liknande uppenbar EC50 på cirka 4,5 μg/ml (95% CI 0,4-47,6 respektive 1,9-10,5).

Eliminering

Populationsbaserade farmakokinetiska analyser med data från mer än 1 300 RA‑patienter visade en tendens till högre synbar clearence med ökande kroppsvikt. Efter justering för viktskillnader, verkade skillnader i kön och ålder ha minimal effekt på adalimumabs clearence. Serumnivåerna av fritt adalimumab (inte bundet till anti-adalimumab antikroppar, AAA) observerades vara lägre hos patienter med mätbara AAA.

Nedsatt njur- eller leverfunktion

Adalimumab har inte studerats hos denna patientpopulation.

Prekliniska säkerhetsuppgifter

Gängse studier avseende toxicitet efter en singeldos och efter upprepad dosering samt gentoxicitet visade inte några särskilda risker för människa.

En embryofetal utvecklingstoxicitets-/perinatal utvecklingsstudie har utförts på cynomolgusapor med doser på 0, 30 och 100 mg/kg (9‑17 apor/grupp) och inga tecken på fosterskador beroende av adalimumab, kunde påvisas. Varken karcinogenicitetsstudier eller standardbedömning av fertilitet och postnatal toxicitet har genomförts med adalimumab, på grund av att lämpliga modeller saknas för en antikropp med begränsad korsreaktivitet med gnagar‑TNF och bildandet av neutraliserande antikroppar i gnagare.

Farmaceutiska uppgifter

Förteckning över hjälpämnen

Natriumdivätefosfatmonohydrat
Dinatriumfosfatheptahydrat
Bärnstenssyra
Dinatriumsuccinat
Histidin
Histidinhydrokloridmonohydrat
Mannitol
Polysorbat 20
Vatten för injektionsvätskor

Inkompatibiliteter

Då blandbarhetsstudier saknas får detta läkemedel inte blandas med andra läkemedel.

Hållbarhet

30 månader

Särskilda förvaringsanvisningar

Förvaras i kylskåp (2 oC‑8 oC).
Får ej frysas.
Förvara den förfyllda injektionspennan i ytterkartongen. Ljuskänsligt.

En Imraldi förfylld injektionspenna kan förvaras vid rumstemperatur upp till högst 25 °C under en period upp till 31 dagar. Injektionspennan måste skyddas från ljus och kasseras om den ej används inom 31‑dagarsperioden.

Förpackningstyp och innehåll

Markkinoilla olevat pakkaukset

Resepti

IMRALDI injektioneste, liuos, esitäytetty kynä
40 mg (L:ei) 2 x 0,4 ml (40 mg/0,4 ml) (146,26 €), 6 x 0,4 ml (40 mg/0,4 ml) (382,95 €)

PF-selosteen tieto

Imraldi 40 mg injektionsvätska, lösning i förfylld injektionspenna

0,4 ml injektionsvätska, lösning i förfylld injektionspenna för engångsbruk med en förfylld spruta. Sprutan i injektionspennan är tillverkad av typ I‑glas med en nål av rostfritt stål, ett styvt nålskydd, en gummikolv (klorobutyl).

Förpackningar med:

  • 1 förfylld injektionspenna och 2 spritsuddar
  • 2 förfyllda injektionspennor och 1 spritsudd för varje injektionspenna
  • 4 förfyllda injektionspennor och 1 spritsudd för varje injektionspenna
  • 6 förfyllda injektionspennor och 1 spritsudd för varje injektionspenna

Eventuellt kommer inte alla förpackningsstorlekar att marknadsföras.

Läkemedlets utseende:

Klar till opalescent, färglös till ljusbrun lösning.

Särskilda anvisningar för destruktion och övrig hantering

Ej använt läkemedel och avfall ska kasseras enligt gällande anvisningar.

Ersättning

IMRALDI injektioneste, liuos, esitäytetty kynä
40 mg 2 x 0,4 ml, 6 x 0,4 ml

  • Alempi erityiskorvaus (65 %). Abatasepti, adalimumabi, bimekitsumabi, etanersepti, golimumabi, guselkumabi, iksekitsumabi, infliksimabi, risankitsumabi, sarilumabi, sekukinumabi, sertolitsumabipegoli ja tosilitsumabi (tulehdukselliset reumasairaudet): Nivelreuman, juveniilin polyartriitin, psoriaasiin liittyvän niveltulehduksen, selkärankareuman tai edellä mainittuja niveltulehduksia läheisesti muistuttavan niveltulehduksen hoito erityisin edellytyksin / Tosilitsumabi: Aktiivisen yleisoireisen lastenreuman hoito erityisin edellytyksin (281).
  • Rajoitettu peruskorvaus lääkärin lausunnolla (40 %). Abatasepti, adalimumabi, bimekitsumabi, etanersepti, golimumabi, guselkumabi, iksekitsumabi, infliksimabi, risankitsumabi, sarilumabi, sekukinumabi, sertolitsumabipegoli, tosilitsumabi ja ustekinumabi (tulehdukselliset reumasairaudet): Eräiden reumasairauksien hoito erityisin edellytyksin / Adalimumabi: Uveiitin hoito erityisin edellytyksin / Tosilitsumabi: Aktiivisen yleisoireisen lastenreuman ja jättisoluarteriitin hoito erityisin edellytyksin (313), Adalimumabi, bimekitsumabi, brodalumabi, etanersepti, guselkumabi, iksekitsumabi, infliksimabi, risankitsumabi, sekukinumabi, sertolitsumabipegoli, tildrakitsumabi ja ustekinumabi (ihopsoriaasi): Vaikean kroonisen ihopsoriaasin hoito erityisin edellytyksin (319), Adalimumabi, golimumabi, infliksimabi, risankitsumabi, ustekinumabi ja vedolitsumabi (tulehdukselliset suolistosairaudet): Eräiden suolistosairauksien hoito erityisin edellytyksin (326), Adalimumabi ja sekukinumabi: Keskivaikean ja vaikean aktiivisen hidradenitis suppurativan hoito erityisin edellytyksin (380).
  • Oikeus käyttää samaa biologista lääkettä (sama kauppanimi) 6 kk ajan.

Atc-kod

L04AB04

Datum för översyn av produktresumén

26.09.2024

Yhteystiedot

BIOGEN FINLAND OY
Bertel Jungin aukio 5 C
02600 Espoo


0207 401 200
www.biogen.fi

www.MS-nyt.fi