LUPKYNIS kapsel, mjuk 7,9 mg
Observera
▼Detta läkemedel är föremål för utökad övervakning. Detta kommer att göra det möjligt att snabbt identifiera ny säkerhetsinformation. Hälso- och sjukvårdspersonal uppmanas att rapportera varje misstänkt biverkning. Se avsnitt Biverkningar om hur man rapporterar biverkningar.
Kvalitativ och kvantitativ sammansättning
En mjuk kapsel innehåller 7,9 mg voklosporin (voclosporin).
Hjälpämnen med känd effekt
En mjuk kapsel innehåller 21,6 mg etanol och 28,7 mg sorbitol.
Lupkynis kan innehålla spår av sojalecitin, se avsnitt Varningar och försiktighet.
För fullständig förteckning över hjälpämnen, se avsnitt Förteckning över hjälpämnen.
Läkemedelsform
Mjuk kapsel (kapsel)
Kliniska uppgifter
Terapeutiska indikationer
Lupkynis är indicerat i kombination med mykofenolatmofetil för behandling av vuxna patienter med aktiv systemisk lupus erythematosus (SLE)-nefrit av klass III, IV eller V (inklusive blandad klass III/V och IV/V).
Villkor
SLE-nefriitin diagnosointiin ja hoitoon perehtyneen lääkärin on aloitettava hoito ja valvottava sen toteuttamista.
Dosering och administreringssätt
Behandling med Lupkynis ska inledas och övervakas av en kvalificerad läkare med erfarenhet av att diagnosticera och behandla SLE-nefrit.
Dosering
Den rekommenderade dosen är 23,7 mg (tre mjuka kapslar à 7,9 mg) två gånger dagligen.
Det rekommenderas att Lupkynis administreras på regelbundna tider, så nära ett 12-timmarsschema som möjligt, med minst 8 timmar mellan varje dos. Om en dos har hoppats över ska den tas så snart som möjligt, inom fyra timmar från den överhoppade dosen. Efter denna fyratimmarsperiod ska påföljande planerade dos tas på vanlig tid. Den påföljande dosen ska inte dubbleras.
Lupkynis ska användas i kombination med mykofenolatmofetil.
Läkarna ska utvärdera behandlingens effektivitet efter minst 24 veckors tid och göra en lämplig risk/nytta-analys för den fortsatta behandlingen.
Dosjustering baserad på eGFR
Det är rekommenderat att fastställa en baslinje för den beräknade glomerulära filtrationshastigheten (eGFR) innan voklosporinbehandlingen inleds och att en bedömning görs varannan vecka under den första månaden och var fjärde vecka därefter.
Dosjustering krävs för individer vars eGFR har bekräftats vara nedsatt (d.v.s. i två på varandra följande bedömningar inom 48 timmar) och under 60 ml/min/1,73 m2. Om eGFR förblir ≥ 60 ml/min/1,73 m2 krävs ingen dosjustering (se tabell 1).
Tabell 1: Rekommenderad dosjustering baserad på eGFR
Bekräftad minskning av eGFR från baslinjen1 | Rekommendation |
≥ 30 % minskning | Avbryt administreringen av voklosporin. Återinsätt behandlingen när eGFR har återhämtats, med 7,9 mg (en kapsel) två gånger dagligen, och öka dosen i den mån det tolereras med hänsyn till njurfunktionen. |
> 20 % och < 30 % minskning | Minska dosen av voklosporin med 7,9 mg (en kapsel) två gånger dagligen. Återupprepa testet inom två veckor. Om eGFR-minskningen inte har återhämtats minskas dosen med ytterligare 7,9 mg (en kapsel) två gånger dagligen. |
≤ 20 % minskning | Bibehåll aktuell dos och övervaka. |
1 Om eGFR förblir ≥ 60 ml/min/1,73 m2 krävs ingen åtgärd.
Det rekommenderas att de patienter som behöver dosminskning bedöms på nytt inom två veckor vad gäller återhämtning av eGFR. För patienter som fått minskad dos till följd av sänkt eGFR ska en dosökning övervägas, med 7,9 mg två gånger dagligen för varje eGFR-mätning som är ≥ 80 % av baslinjen. Startdosen ska inte överskridas.
Samtidig administrering med måttliga CYP3A4-hämmare
Vid samtidig administrering av måttliga hämmare av cytokrom P450 (CYP)3A4 (t.ex. verapamil, flukonazol eller diltiazem) måste den dagliga dosen sänkas till 15,8 mg på morgonen och 7,9 mg på kvällen (se avsnitt Interaktioner).
Nedsatt leverfunktion
Hos patienter med lindrigt till måttligt nedsatt leverfunktion (Child–Pugh-klass A respektive B) är den rekommenderade startdosen 15,8 mg två gånger dagligen. Effekten av voklosporin hos patienter med kraftigt nedsatt leverfunktion (Child–Pugh-klass C) har inte utvärderats, och voklosporin kan inte rekommenderas för denna patientpopulation (se avsnitt Varningar och försiktighet och Farmakokinetiska egenskaper).
Nedsatt njurfunktion
Noggrann övervakning av njurfunktionen rekommenderas (se tabell 1 och avsnitt Varningar och försiktighet). Det finns endast begränsade data avseende användning av Lupkynis hos patienter med baslinje-eGFR på 30 till < 45 ml/min/1,73 m2. Användning av Lupkynis till dessa patienter rekommenderas endast om nyttan överväger riskerna, och med en startdos på 23,7 mg två gånger dagligen.
Lupkynis har inte studerats hos patienter med allvarlig nedsättning av njurfunktionen (eGFR < 30 ml/min/1,73 m2) och rekommenderas inte för dessa patienter, såvida inte nyttan överväger riskerna. Ifall det används är den rekommenderade startdosen 15,8 mg två gånger dagligen (se avsnitt Farmakokinetiska egenskaper).
Äldre
Det finns begränsade data för patienter med SLE-nefrit över 65 år, och data för patienter över 75 år saknas helt. Lupkynis rekommenderas inte för patienter över 75 års ålder (se avsnitt Farmakokinetiska egenskaper).
Pediatrisk population
Säkerhet och effekt för Lupkynis till barn och ungdomar från 5 till 18 år har ännu inte fastställts. Inga data finns tillgängliga. Det finns ingen relevant användning för Lupkynis till barn med SLE-nefrit under 5 års ålder.
Administreringssätt
Oral användning
De mjuka kapslarna måste sväljas hela och kan tas med eller utan mat.
Det är inte rekommenderat att ta Lupkynis tillsammans med grapefrukt eller grapefruktjuice (se avsnitt Interaktioner).
Kontraindikationer
Överkänslighet mot den aktiva substansen eller mot något hjälpämne som anges i avsnitt Förteckning över hjälpämnen
Samtidig administrering av voklosporin med starka CYP3A4-hämmare (t.ex. ketokonazol, itrakonazol och klaritromycin; se avsnitt Interaktioner)
Varningar och försiktighet
Lymfom och andra maligniteter
Immunsuppressiva läkemedel ökar risken att utveckla lymfom och andra maligniteter, särskilt i huden. Det rekommenderas att patienterna instrueras att undvika eller begränsa oskyddad exponering för solljus och UV-ljus.
Allvarliga infektioner
Immunsuppressiva läkemedel, däribland voklosporin, kan öka risken att utveckla bakterie-, virus-, svamp- och protozoinfektioner, inklusive opportunistiska infektioner som kan bli allvarliga eller dödliga (se avsnitt Biverkningar). Patienterna måste övervakas noga med avseende på infektioner medan de behandlas med voklosporin. Om infektion uppkommer ska nyttan av fortsatt voklosporinbehandling bedömas med hänsyn till risken med fortsatt administrering.
Njurtoxicitet
Liksom med andra kalcineurinhämmare har biverkningar i form av akut försämrad njurfunktion eller sänkningar av eGFR kunnat iakttas hos patienter som behandlats med voklosporin. Under de fyra första veckornas behandling med voklosporin har man observerat hemodynamiska sänkningar av eGFR (se avsnitt Biverkningar). Detta kan hanteras genom dosjusteringar. Regelbunden övervakning av eGFR-nivåerna rekommenderas (se avsnitt Dosering och administreringssätt).
Erytroblastopeni
Fall av erytroblastopeni (PRCA) har rapporterats hos patienter som fått behandling med en annan kalcineurinhämmare. Alla dessa patienter hade riskfaktorer för PRCA, exempelvis infektion med parvovirus B19, primär sjukdom eller samtidig behandling förknippad med PRCA. Mekanismen bakom PRCA i samband med kalcineurinhämmare är inte klarlagd. Om PRCA diagnostiseras ska utsättning av Lupkynis övervägas.
Hyperkalemi
Hyperkalemi, som kan vara allvarlig och kräva behandling, har rapporterats i samband med kalcineurinhämmare, däribland voklosporin (se avsnitt Biverkningar). Samtidig användning av läkemedel förknippade med hyperkalemi (t.ex. kaliumsparande diuretika, hämmare av angiotensinkonverterande enzym [ACE] eller angiotensinreceptorblockerare [ARB]) kan öka risken för hyperkalemi. Det rekommenderas att patienterna övervakas regelbundet under behandlingens gång med avseende på kaliumnivåer i serum.
Hypertoni
Voklosporin kan orsaka eller förvärra systemisk hypertoni (se avsnitt Biverkningar). Blodtrycket ska övervakas varannan vecka under den första månaden efter insättning av voklosporin och därefter på klinisk indikation. I händelse av en kliniskt bekymmersam förhöjning av blodtrycket ska rekommendationerna i tabell 2 följas.
Tabell 2: Rekommendationer för behandling av hypertoni
Blodtryck | Rekommendation |
systoliskt tryck > 130 och ≤ 165 mmHg och diastoliskt tryck > 80 och ≤ 105 mmHg | Blodtryckssänkande behandling kan inledas/justeras. |
blodtryck > 165/105 mmHg, med hypertonisymtom | Avbryt administreringen av voklosporin och inled/justera blodtryckssänkande behandling. |
QT-förlängning
Användning av voklosporin i kombination med andra läkemedel som är kända för att förlänga QTc kan medföra en kliniskt signifikant QT-förlängning. Vissa omständigheter kan ge ökad risk för torsade de pointes och/eller plötslig död i samband med läkemedel som förlänger QTc-intervallet, däribland bradykardi; hypokalemi eller hypomagnesemi; samtidig användning av andra läkemedel som förlänger QTc-intervallet; samt medfödd förlängning av QT-intervallet.
Neurotoxicitet
Patienter som behandlas med immunsuppressiva läkemedel, däribland voklosporin, löper ökad risk för neurotoxicitet (se avsnitt Biverkningar). Patienterna ska övervakas med avseende på nytillkomna eller förvärrade neurologiska symtom, inklusive krampanfall, tremor eller tecken och symtom som kan tyda på bakre reversibelt encefalopatisyndrom (PRES). Om dessa uppträder ska dosminskning eller utsättning av voklosporin övervägas.
Nedsatt leverfunktion
Voklosporin har inte studerats hos patienter med kraftigt nedsatt leverfunktion (Child‑Pugh-klass C), och användning till denna patientpopulation kan därför inte rekommenderas.
Vacciner
Immunsuppressiva läkemedel kan påverka svaret på vaccination, och vaccination under pågående voklosporinbehandling kan vara mindre effektiv. Vaccination med levande försvagade vacciner ska undvikas.
Samtidig användning av andra läkemedel
Samtidig administrering av voklosporin och måttliga eller starka inducerare av CYP3A4 kan inte rekommenderas (se avsnitt Interaktioner).
Säkerhet och effekt för voklosporin i kombination med cyklofosfamid har inte fastställts.
Hjälpämnen
Etanol
Detta läkemedel innehåller 21,6 mg alkohol (etanol) i varje mjuk kapsel. En dos Lupkynis à 23,7 mg innehåller alltså 64,8 mg etanol. Mängden per dos à 23,7 mg av detta läkemedel motsvarar mindre än 2 ml öl eller 1 ml vin. Den låga mängden alkohol i detta läkemedel ger inga märkbara effekter.
Sorbitol
Detta läkemedel innehåller 28,7 mg sorbitol i varje mjuk kapsel. Den additiva effekten av samtidigt administrerade läkemedel som innehåller sorbitol (eller fruktos) och födointag av sorbitol (eller fruktos) ska beaktas. Innehållet av sorbitol i läkemedel för oralt bruk kan påverka biotillgängligheten av andra, samtidigt administrerade, läkemedel för oralt bruk.
Sojalecitin (möjlig rest från tillverkningsprocessen)
Detta läkemedel kan innehålla spår av sojalecitin. Patienter som fått anafylaktiska reaktioner på soja eller jordnöt får inte använda detta läkemedel.
Interaktioner
oklosporin metaboliseras via CYP3A4 och är en hämmare av P-glykoprotein (P-gp) och organisk anjontransporterande polypeptid (OATP)1B1 och OATP1B3.
Andra läkemedels potential att påverka exponeringen för voklosporin
Voklosporin metaboliseras via CYP3A4. Samtidig användning av läkemedel eller naturläkemedel som är kända för att hämma eller inducera CYP3A4 kan påverka metabolismen av voklosporin och leda till höjda eller sänkta voklosporinnivåer i blodet.
CYP3A4-hämmare
Exponeringen för voklosporin var 18,6 gånger högre i närvaro av den starka CYP3A4-hämmaren ketokonazol, jämfört med voklosporin administrerat ensamt. Samtidig administrering av voklosporin med starka CYP3A4-hämmare (t.ex. ketokonazol, itrakonazol eller klaritromycin) är kontraindicerat (se avsnitt Kontraindikationer).
Exponeringen för voklosporin var 2,71 gånger högre i närvaro av den måttliga CYP3A4-hämmaren verapamil, jämfört med voklosporin administrerat ensamt. Sänk dosen till 15,8 mg på morgonen och 7,9 mg på kvällen, ifall voklosporin administreras samtidigt med måttliga CYP3A4-hämmare (t.ex. verapamil, flukonazol, erytromycin, diltiazem, grapefrukt och grapefruktjuice; se avsnitt Dosering och administreringssätt).
Svaga CYP3A4-hämmare kan öka exponeringen för voklosporin, men ingen studie har utförts in vivo. Det behövs ingen dosjustering när voklosporin administreras samtidigt med svaga CYP3A4-hämmare, men ytterligare övervakning av eGFR rekommenderas vid insättning av den svaga CYP3A4-hämmaren.
CYP3A4-inducerare
Exponeringen för voklosporin var 87 % lägre och den maximala koncentrationen (Cmax) var 68 % lägre i närvaro av den starka CYP3A4-induceraren rifampicin (600 mg en gång om dagen i 10 på varandra följande dagar) jämfört med voklosporin administrerat ensamt. Samtidig administrering av flera doser av måttliga CYP3A4-inducerare förväntas också medföra kliniskt relevanta minskningar av exponeringen för voklosporin.
Starka och måttliga CYP3A4-inducerare (t.ex. karbamazepin, fenobarbital, rifampicin, johannesört eller efavirenz) kan inte rekommenderas för samtidig dosering med voklosporin (se avsnitt Varningar och försiktighet). Svaga CYP3A4-inducerare kan också leda till minskad exponering, och möjligen minskad effekt, men den kliniska relevansen är okänd.
Potential för voklosporin att påverka exponering för andra läkemedel
Substrat för P-gp
Voklosporin är en hämmare av P-glykoprotein (P-gp). Samtidig administrering av voklosporin och flerfaldiga doser av digoxin ökade Cmax och area under kurvan (AUC) för digoxin med 1,51 respektive 1,25 gånger. Försiktighet måste iakttas vid samtidig administrering av voklosporin och känsliga substrat för P-gp, särskilt sådana med smala terapeutiska index (t.ex. digoxin, dabigatranetexilat eller fexofenadin). Dessa patienter ska övervakas på lämpligt sätt, enligt vad som framgår av märkningen av respektive läkemedel.
Substrat för OATP1B1/OATP1B3
Voklosporin är en hämmare av transportörerna OATP1B1 och OATP1B3. I en klinisk studie ökade samtidig administrering av en enkeldos på 40 mg simvastatin och 23,7 mg voklosporin två gånger dagligen Cmax och AUC för den aktiva metaboliten simvastatinsyra (ett känsligt substrat för OATP1B1/OATP1B3) med en faktor 3,1 respektive 1,8. I samma studie var exponeringen för modersubstansen simvastatin (som även är ett substrat för BCRP) opåverkad vad gäller AUC, medan dess Cmax ökade med en faktor 1,6, vilket potentiellt kan tillskrivas en interaktion mellan BCRP i tarmen och voklosporin. Patienterna ska övervakas med avseende på biverkningar såsom muskelsjukdom och rabdomyolys när substrat för OATP1B1/OATP1B3 (t.ex. simvastatin, atorvastatin, pravastatin, rosuvastatin) används samtidigt med voklosporin.
Substrat för BCRP
Voklosporin hämmar BCRP-protein (Breast Cancer Resistance Protein) in vitro. Det går inte att utesluta en kliniskt relevant hämning av BCRP-protein i tarmen, och voklosporin kan öka koncentrationen av dessa substrat in vivo. Övervaka användningen av substrat för BCRP-protein, när de används samtidigt med voklosporin, eftersom små koncentrationsförändringar kan leda till allvarlig toxicitet (t.ex. rosuvastatin).
MMF
Samtidig administrering av voklosporin och mykofenolatmofetil hade ingen kliniskt signifikant inverkan på koncentrationerna av mykofenolsyra i blodet.
Substrat för CYP3A4
Flerfaldig peroral administrering av voklosporin (0,4 mg/kg två gånger dagligen) hade ingen kliniskt relevant effekt på farmakokinetiken för det känsliga CYP3A4-substratet midazolam.
Fertilitet, graviditet och amning
Graviditet
Det finns inga eller begränsad mängd data (mindre än 300 graviditeter) från användningen av voklosporin hos gravida kvinnor. Djurstudier har uppvisat reproduktionstoxikologiska effekter (se avsnitt Prekliniska säkerhetsuppgifter).
Lupkynis rekommenderas inte under graviditeten eller till fertila kvinnor som inte använder preventivmedel.
Amning
I en studie med 12 ammande kvinnor var den högsta uppskattade dosen av voklosporin hos ett helammat spädbarn 1,4 % av moderns viktjusterade dos (se avsnitt Farmakokinetiska egenskaper). Effekten av voklosporin på nyfödda/spädbarn är inte känd.
Ett beslut måste fattas om man ska avbryta amningen eller avbryta/avstå från behandling med Lupkynis efter att man tagit hänsyn till fördelen med amning för barnet och fördelen med behandling för kvinnan.
Fertilitet
Det finns inga data vad gäller effekten av voklosporin på mänsklig fertilitet. I djurstudier observerades voklosporinrelaterade förändringar i handjurens fortplantningsorgan (se avsnitt Prekliniska säkerhetsuppgifter).
Effekter på förmågan att framföra fordon och använda maskiner
Lupkynis har ingen eller försumbar effekt på förmågan att framföra fordon och använda maskiner.
Biverkningar
Sammanfattning av säkerhetsprofilen
De vanligaste rapporterade biverkningarna vid användning av voklosporin är sänkt eGFR (26,2 %) och hypertoni (19,1 %).
De vanligaste rapporterade allvarliga biverkningarna vid användning av voklosporin var infektioner (10,1 %), akut njurskada (3 %) och hypertoni (1,9 %).
Under de fyra första veckornas voklosporinbehandling är det vanligt med hemodynamiska minskningar av eGFR, vilka sedan stabiliseras, även vid fortsatt behandling (se avsnitt Varningar och försiktighet).
Tabell över biverkningar
I tabell 3, nedan, sammanfattas de biverkningar som förekommit hos patienter med SLE-nefrit, vilka fått rekommenderad voklosporindos inom ramen för två placebokontrollerade kliniska studier och/eller efter godkännande för försäljning där behandlingens medianlängd varit 1 år.
Alla biverkningar är listade efter organsystem (SOC) och frekvens: mycket vanliga (≥ 1/10), vanliga (≥ 1/100 till < 1/10), mindre vanliga (≥ 1/1 000 till < 1/100), sällsynta (≥ 1/10 000 till < 1/1 000), mycket sällsynta (< 1/10 000) och ingen känd frekvens (kan inte beräknas från tillgängliga data).
Tabell 3: Biverkningar
Klassificering av organsystem | Mycket vanliga | Vanliga | Ingen känd frekvens |
Infektioner och infestationer | Infektion i de övre luftvägarna1 | Pneumoni Influensa Herpes zoster Gastroenterit Urinvägsinfektion | |
Blodet och lymfsystemet | Anemi | ||
Immunsystemet | Överkänslighet | ||
Metabolism och nutrition | Hyperkalemi Minskad aptit | ||
Centrala och perifera nervsystemet | Huvudvärk | Krampanfall Tremor | |
Blodkärl | Hypertoni2 | ||
Andningsvägar, bröstkorg och mediastinum | Hosta | ||
Magtarmkanalen | Diarré Buksmärta3 | Illamående Gingivalhyperplasi4 Dyspepsi Munsår | |
Hud och subkutan vävnad | Alopeci Hypertrikos5 | ||
Njurar och urinvägar | Minskad glomerulär filtrationshastighet6,7 | Akut njursjukdom6 Akut njurskada6 |
1 Omfattar följande föredragna termer: virusinfektion i de övre luftvägarna, bakterieinfektion i de övre luftvägarna
2 Omfattar följande föredragna termer: förhöjt blodtryck, förhöjt diastoliskt blodtryck, diastolisk hypertoni
3 Omfattar följande föredragna termer: smärta i övre delen av buken, besvär från buken
4 Omfattar följande föredragna termer: gingivit, gingival blödning, gingival hypertrofi, gingival svullnad
5 Omfattar följande föredragna termer: hypertrikos, hirsutism
6 Omfattar den föredragna termen nedsatt njurfunktion
7 Omfattar den föredragna termen förhöjd kreatininnivå i blod
Beskrivning av utvalda biverkningar
Infektioner
Den totala incidensen för infektioner var 62,2 % i voklosporingruppen och 54,9 % i placebogruppen. De infektioner som förekom, hos minst 5 % av de patienter som fick voklosporin och med minst 1 % högre frekvens än hos de patienter som fick placebo, var urinvägsinfektion, virusinfektion i de övre luftvägarna, herpes zoster samt gastroenterit. Allvarliga infektioner förekom hos 10,1 % av de patienter som fick voklosporin och hos 10,2 % av de patienter som fick placebo. Vanligast var pneumoni (voklosporin 4,1 %; placebo 3,8 %), gastroenterit (voklosporin 1,5 %; placebo 0,4 %) och urinvägsinfektion (voklosporin 1,1 %; placebo 0,4 %). Allvarliga opportunistiska infektioner rapporterades hos 1,1 % av patienterna med voklosporin och hos 0,8 % av patienterna med placebo. Dödliga infektioner förekom hos 0,7 % av de patienter som fick voklosporin och hos 0,8 % av de patienter som fick placebo (se avsnitt Varningar och försiktighet).
Njurtoxicitet
Biverkningar som tyder på njurtoxicitet och som förekom med ≥ 1 % frekvens för voklosporin jämfört med placebo var minskad eGFR (26,2 % jämfört med 9,4 %), nedsatt njurfunktion (5,6 % jämfört med 2,6 %), akut njurskada (3,4 % jämfört med 0,8 %) och hyperkalemi (1,9 % jämfört med 0,8 %). Allvarliga biverkningar rapporterades hos 5,2 % av patienterna med voklosporin och hos 3,4 % av patienterna med placebo.
De vanligaste biverkningar som lett till dosjustering (minskad dos eller tillfällig utsättning) var minskad eGFR (voklosporin 23,6 %; placebo 6,8 %), nedsättning av njurfunktionen (voklosporin 3,0 %; placebo 0,8 %) samt akut njurskada (voklosporin 0,7 %; placebo 0). De vanligaste biverkningar som lett till bestående utsättning av läkemedlet var minskning av eGFR (voklosporin 3,7 %; placebo 1,9 %) samt nedsättning av njurfunktionen (voklosporin 1,9 %; placebo 1,5 %). Mediantiden till återhämtning var 49 dagar för voklosporinbehandlade patienter med en eGFR-minskning på ≥ 20 %. På liknande sätt var mediantiden till återhämtning 102 dagar för voklosporinbehandlade patienter med en eGFR-minskning på ≥ 30 %.
Hypertoni
Hypertoni rapporterades hos 19,1 % av de patienter som behandlats med voklosporin och hos 8,6 % av de patienter som behandlats med placebo. Förekomsten av hypertoni var högst under behandlingens fyra första veckor och minskade därefter. Hypertonin var svårartad hos 1,1 % av patienterna med voklosporin och hos 0,8 % av patienterna med placebo. Allvarlig hypertoni förekom hos 1,9 % av patienterna med voklosporin och hos 0,4 % av patienterna med placebo.
Långvarig exponering (upp till 36 månader)
Mönstret av biverkningar under den fortsatta behandlingen (från 12 till 36 månader) överensstämde med vad som iakttagits under det första behandlingsåret, även om incidensen för det stora flertalet av biverkningarna var lägre under påföljande år. Den totala incidensen för infektioner var 49,1 % i voklosporingruppen och 43,0 % i placebogruppen. De infektioner som förekom, hos minst 5 % av de patienter som fick voklosporin och med minst 1 % högre frekvens än hos de patienter som fick placebo, var urinvägsinfektion, infektion i de övre luftvägarna, virusinfektion i de övre luftvägarna samt gastroenterit. Allvarliga infektioner förekom hos 6,9 % av de patienter som fick voklosporin och hos 8,0 % av de patienter som fick placebo. Vanligast var infektion orsakad av coronavirus (voklosporin 1,7 %; placebo 5,0 %) samt virusorsakad pneumoni (voklosporin 1,7 %; placebo 0 %). Biverkningar som tyder på njurtoxicitet, och som förekom med högre frekvens hos dem som fick voklosporin jämfört med dem som fick placebo, var minskad eGFR (10,3 % jämfört med 5,0 %) och nedsatt njurfunktion (3,4 % jämfört med 2,0 %). Hypertoni rapporterades hos 8,6 % av patienterna med voklosporin och hos 7,0 % av patienterna med placebo.
Rapportering av misstänkta biverkningar
Det är viktigt att rapportera misstänkta biverkningar efter att läkemedlet godkänts. Det gör det möjligt att kontinuerligt övervaka läkemedlets nytta-riskförhållande. Hälso- och sjukvårdspersonal uppmanas att rapportera varje misstänkt biverkning via
webbplats: www.fimea.fi
Säkerhets- och utvecklingscentret för läkemedelsområdet Fimea
Biverkningsregistret
PB 55
00034 FIMEA
Överdosering
Fall av oavsiktlig överdosering har rapporterats med voklosporin, med bland annat tremor och takykardi som symtom. I en interaktionsstudie med friska frivilliga gjordes en samtidig administrering av ketokonazol och voklosporin vilket resulterade i en 18,6 gånger högre exponering för voklosporin. liksom ökningar av serumkreatinin, minskning av magnesium i serum samt förhöjt blodtryck. Symtom på överdosering av andra kalcineurinhämmare (men som inte observerats med voklosporin) är bland andra huvudvärk, illamående och kräkningar, infektioner, urtikaria, letargi, förändrade elektrolytnivåer och förhöjda halter av ureakväve i blod och alaninaminotransferas.
Det finns ingen specifik antidotbehandling mot voklosporin. Vid överdosering bör allmänna stödåtgärder och symtomatisk behandling sättas in, däribland tillfällig utsättning av voklosporinbehandlingen och bedömning av halterna av ureakväve i blod, serumkreatinin, eGFR och alaninaminotransferas.
Farmakologiska egenskaper
Farmakodynamiska egenskaper
Farmakoterapeutisk grupp: immunsuppressiva medel, kalcineurinhämmare, ATC-kod: L04AD03
Verkningsmekanism
Voklosporin är ett kalcineurinhämmande och immunsuppressivt medel som hämmar kalcineurin på ett dosberoende sätt upp till en maxdos på 1,0 mg/kg. Aktiveringen av lymfocyter innebär en ökning av de intracellulära kalciumkoncentrationerna. Kalcineurin är ett kalcium/kalmodulin-beroende fosfatas vars aktivitet är nödvändig för igångsättningen av T-cellernas lymfokinproduktion och tillväxt. Den immunhämmande aktiviteten medför en hämning av lymfocytproliferationen, T-cellernas cytokinproduktion liksom uttrycket av T-cellsaktiverande ytantigener.
Farmakodynamisk effekt
Hjärtats elektrofysiologi
I en randomiserad studie med placebo och aktiv kontroll (moxifloxacin 400 mg), enkeldos och parallellgruppsdesign upptäcktes en dosberoende effekt i form av QT-förlängning med voklosporin i dosintervallet 0,5 till 4,5 mg/kg (upp till 9 gånger vad den terapeutiska exponeringen omfattar). En dosberoende effekt i form av QT-förlängning observerades, där maximal QTc-ökning inträffade vid 4 till 6 timmar efter doseringen för de olika dosnivåerna. De maximala genomsnittliga placebo-justerade förändringarna av QTcF från baslinjen efter administrering av voklosporin i doserna 0,5 mg/kg, 1,5 mg/kg, 3,0 mg/kg och 4,5 mg/kg var 6,4 ms, 17,5 ms, 25,7 ms respektive 34,6 ms.
I en separat, randomiserad, placebokontrollerad crossoverstudie på 31 friska försökspersoner observerades en frånvaro av stora genomsnittliga ökningar (d.v.s. > 20 ms) efter 7 dagars behandling med voklosporin i doserna 0,3 mg/kg, 0,5 mg/kg och 1,5 mg/kg två gånger dagligen (ungefär 6 gånger vad den terapeutiska exponeringen omfattar). Mekanismen bakom den QT-förlängningseffekt som observerats i enkeldos- och flerdosstudier är okänd.
Baserat på data från SLE-nefritpatienter som fått 23,7 eller 39,5 mg voklosporin två gånger dagligen uppvisade en regressionsanalys av placebokorrigerad QTcF-förändring från baslinjen en minimal negativ lutning (−0,065344 ms/ng/ml), vilket inte skiljer sig statistiskt från en lutning på 0 (p = 0,1042).
Klinisk effekt och säkerhet
Säkerhet och effekt för voklosporin har undersökts i två placebokontrollerade kliniska prövningar (AURORA 1 och AURA-LV), hos patienter med SLE-nefrit av klass III eller IV (ensamt eller i kombination med klass V) eller endast klass V. Alla patienter fick bakgrundsbehandling med mykofenolatmofetil (2 g/dag) och kortikosteroider (sammanlagt upp till 1 g intravenös metylprednisolon under dag 1 och 2) följt av en inledande dos perorala kortikosteroider à 25 mg/dag (eller 20 mg/dag om kroppsvikten var < 45 kg), vilket trappades ned till 2,5 mg/dag fram till vecka 16.
Patienter som fullgjort studien AURORA 1 kunde fortsätta i den tvååriga fortsättningsstudien (AURORA 2).
Fas 3, AURORA 1
AURORA 1 var en prospektiv, randomiserad, dubbelblind studie i fas 3, som jämförde 23,7 mg (motsvarande en dos på 0,37 mg/kg) voklosporin två gånger dagligen (n = 179) jämfört med placebo (n = 178) under en 52 veckor lång behandlingsperiod. Patienternas demografiska egenskaper var väl balanserade mellan de båda behandlingsarmarna. Medelåldern var 33 år (i intervallet 18 till 72 år) och flertalet patienter var kvinnor (87,7 %), varav 81,8 % var fertila.
De flesta patienterna var vita (36,1 %) eller asiatiska (30,5 %) och ungefär en tredjedel av studiepopulationen var hispanisk eller av sydamerikansk härkomst. Medelvikten var 66,5 kg (i intervallet 36 till 142 kg). Mediantiden sedan diagnos av SLE (systemisk lupus erythematosus) var 5,0 år och mediantiden sedan diagnos av SLE-nefrit var 2,0 år.
Före inskrivning i studien AURORA 1 hade de flesta patienterna (98 %) redan fått behandling för SLE-nefrit, och cirka 55 % av patienterna tog mykofenolatmofetil vid screeningen. Endast en mycket liten andel av patienterna (2 %) var naiva för SLE-nefritbehandling.
Det fanns fler patienter i voklosporingruppen än i placebogruppen som uppnådde det primära effektmåttet i form av njursvar (tabell 4).
Tabell 4: AURORA 1 – Sammanfattning av viktiga effektmått
Voklosporin (n = 179) n (%) | Placebo (n = 178) n (%) | Oddskvot jämfört med placebo (95 % KI) | p-värde | |
Njursvar vid vecka 52 | 73 (40,8) | 40 (22,5) | 2,65 (1,64; 4,27) | < 0,001 |
Njursvar vid vecka 24 | 58 (32,4) | 35 (19,7) | 2,23 (1,34; 3,72) | = 0,002 |
Ofullständigt njursvar* vid vecka 24 | 126 (70,4) | 89 (50,0) | 2,43 (1,56; 3,79) | < 0,001 |
Ofullständigt njursvar* vid vecka 52 | 125 (69,8) | 92 (51,7) | 2,26 (1,45; 3,51) | < 0,001 |
*Ofullständigt njursvar definieras som en 50-procentig minskning av UPCR.
Anmärkningar: KI = konfidensintervall; UPCR = protein–kreatininkvot i urin
Total andel patienter i voklosporingruppen jämfört med placebogruppen som efter 52 veckor uppnått respektive komponent som bedöms för det primära effektmåttet:
| 45,3 % jämfört med 23,0 % |
| 82,1 % jämfört med 75,8 % |
| 87,2 % jämfört med 85,4 % |
| 91,1 % jämfört med 86,5 % |
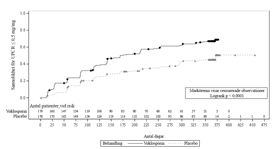
Det fanns fler patienter i voklosporingruppen än i placebogruppen som uppnådde UPCR ≤ 0,5 mg/mg (64,8 % jämfört med 43,8 %) och tiden fram till UPCR ≤ 0,5 mg/mg var signifikant kortare vid voklosporinbehandling (mediantid: 169 dagar jämfört med 372 dagar för placebobehandling; riskkvot 2,02; 95 % KI: 1,51; 2,70; p < 0,001).
Figur 1: Kaplan–Meier-kurva över tid (i dagar) till UPCR ≤ 0,5 mg/mg

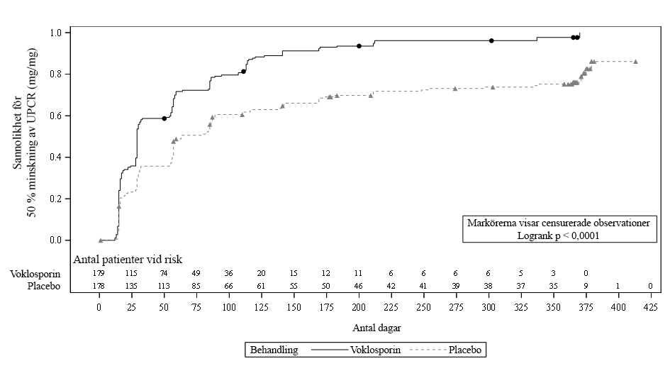
Den tid som krävs för att uppnå en 50-procentig minskning av UPCR var signifikant kortare för voklosporingruppen än för placebogruppen (riskkvot 2,05; 95 % KI: 1,62; 2,60; p < 0,001). Mediantiden för den 50-procentiga minskningen av UPCR var 29 dagar för voklosporin jämfört med 63 dagar för placebo (figur 2).
Figur 2: Kaplan–Meier-kurva över tid (i dagar) till 50 % minskning av UPCR jämfört med baslinjen

Över 80 % av patienterna i studien AURORA 1 uppnådde en minskad dos av perorala kortikosteroider till ≤ 2,5 mg/dag i vecka 24, och denna dos bibehölls av över 75 % av patienterna vid vecka 52.
Fas 3, AURORA 2
AURORA 2 var en fortsättningsstudie för att utvärdera långsiktig säkerhet och effekt för voklosporin hos patienter som fullgjort behandlingen i studien AURORA 1. Patienterna stannade kvar på samma behandling och dos av voklosporin (n = 116) eller placebo (n = 100) som vid slutet av AURORA 1 och fortsatte behandlingen i upp till ytterligare två år. Över 85 % av patienterna fullgjorde studien (voklosporin 87,1 %; placebo 85,0 %) och 79,3 % av patienterna med voklosporin och 73 % av patienterna med placebo stod kvar på studiebehandlingen vid studiens slut.
Andelen patienter med njursvar vid månad 36 var 33 % (59/179) i voklosporingruppen och 22 % (39/178) i placebogruppen (ITT, AURORA 1) samt 51 % (59/116) i voklosporingruppen och 39 % (39/100) i placebogruppen (ITT, AURORA 2).
Pediatrisk population
Europeiska läkemedelsmyndigheten har senarelagt kravet att skicka in studieresultat för Lupkynis för en eller flera grupper av den pediatriska populationen för SLE-nefrit (information om pediatrisk användning finns i avsnitt Dosering och administreringssätt).
Farmakokinetiska egenskaper
Absorption
Efter peroral administrering (23,7 mg voklosporin två gånger dagligen) är mediantiden för att uppnå maximala helblodskoncentrationer (Cmax) 1,5 timmar (intervall: 0,75 till 2 timmar). Vid dosering två gånger dagligen uppnås steady state för voklosporin efter 6 dagar och voklosporin ackumuleras i ungefär dubbelt så hög grad jämfört med en enkeldos. Vid steady state var medelvärdet för Cmax i helblod och dalvärdena före dosering för voklosporin 120 ng/ml (32 % CV) respektive 15,0 ng/ml (49 % CV). Det går inte att utifrån in vitro-data dra någon slutsats huruvida voklosporin utgör ett substrat för utflödestransportörerna P-gp eller BCRP, men P-gp/BCRP-hämmare förväntas inte ge några kliniskt relevanta effekter.
Administrering av voklosporin samtidigt med mat minskade både absorptionsgraden och absorptionshastigheten. Cmax och AUC för voklosporin minskades med 53 % respektive 25 % när det gavs tillsammans med fettrik mat och med 29 % respektive 15 % när det gavs tillsammans med fettsnål mat. Dessa förändringar ansågs inte vara kliniskt relevanta. Voklosporin kan därför tas med eller utan mat.
Distribution
Voklosporin är till 97 % bundet till plasmaproteiner. Voklosporin fördelas i hög grad till de röda blodcellerna och fördelningen mellan helblod och plasma är koncentrations- och temperaturberoende. En populationsfarmakokinetisk analys av patienter medförde en uppskattad distributionsvolym (Vss/F) på 2 154 l.
Metabolism
Voklosporin metaboliseras i hög grad, främst via CYP3A4, och bildar oxidativa metaboliter. Voklosporin är den främsta cirkulerande komponenten efter en enkeldos av [14C]-voklosporin. En huvudsaklig metabolit har observerats i humant helblod, vilken motsvarade 16,7 % av den totala exponeringen. Den huvudsakliga metaboliten förväntas inte bidra till voklosporinets farmakologiska aktivitet eftersom den rapporterats ha en åttafaldigt lägre potential i ett lymfocytproliferationstest och dess exponering är lägre än för voklosporin.
Eliminering
Genomsnittlig uppskattad clearance vid steady state (CLss/F) efter 23,7 mg voklosporin två gånger dagligen är 63,6 l/h (37,5 % CV). Den genomsnittliga terminala halveringstiden (t½) vid steady state är cirka 30 timmar (intervall: 24,9 till 36,5 timmar).
Efter en enstaka peroral administrering av 70 mg [14C]-voklosporin kunde 94,8 % av radioaktiviteten återfinnas 168 timmar efter doseringen: 92,7 % återfanns i avföringen (varav 5 % som oförändrat voklosporin) och 2,1 % återfanns i urinen (varav 0,25 % som oförändrat voklosporin).
Linjäritet/icke-linjäritet
Hos friska frivilliga observerades en icke-linjäritet mellan dos och exponering i nedre änden av det studerade intervallet (0,25 till 1,5 mg/kg två gånger dagligen), vilket har en relativt liten inverkan på farmakokinetiken. Dosproportionalitetsfaktorn var alltid mindre än 1,5. Denna icke-linjäritet har inte iakttagits i det dosintervall som studerats hos patienter med SLE-nefrit.
Farmakokinetik i särskilda patientgrupper
Nedsatt njurfunktion
I de kliniska studierna övervakades njurfunktionen via eGFR, och doserna justerades utifrån ett förutbestämt protokoll. De inskrivna patienterna med SLE-nefrit hade ett baslinje-eGFR på > 45 ml/min/1,73 m2. Dosjustering ska följa de rekommendationer som ges i tabell 1.
I en särskild studie av nedsatt njurfunktion framkom att Cmax och AUC, efter enstaka och flerfaldiga doser av voklosporin, uppvisade liknande värden för frivilliga med lindrig (kreatininclearance [CLCr] 60 till 89 ml/min, förväntat värde enligt Cockcroft–Gaults formel) och måttlig (CLCr 30 till 59 ml/min) nedsättning av njurfunktionen, jämfört med frivilliga med normal njurfunktion (CLCr ≥ 90 ml/min). Efter en enkeldos voklosporin till frivilliga med kraftigt nedsatt njurfunktion (CLCr < 30 ml/min) ökade Cmax och AUC med 1,5 respektive 1,7 gånger. Det är inte känt vad terminal njursjukdom (ESRD), med eller utan hemodialys, har för inverkan på farmakokinetiken för voklosporin (se avsnitt Dosering och administreringssätt).
Nedsatt leverfunktion
I en särskild leverfunktionsstudie undersöktes den systemiska exponeringen för voklosporin hos patienter med lindrigt eller måttligt nedsatt leverfunktion (Child–Pugh-klass A respektive B) i jämförelse med friska kontrollpersoner med normal leverfunktion. Hos patienter med lindrigt eller måttligt nedsatt leverfunktion ökade Cmax och AUC0-48 för voklosporin med cirka 1,5 respektive 2 gånger (se avsnitt Dosering och administreringssätt). Voklosporin har inte utvärderats hos patienter med kraftigt nedsatt leverfunktion (Child–Pugh-klass C), och användning av läkemedlet till dessa patienter rekommenderas inte (se avsnitt Varningar och försiktighet).
Ålder, kön, etnisk bakgrund och kroppsvikt
En populationsfarmakokinetisk analys som utvärderade effekten av ålder, kön, etnisk bakgrund och kroppsvikt fann inga tecken på en kliniskt signifikant inverkan av dessa kovariat på exponeringen för voklosporin.
Amning
Efter en engångsdos på 23,7 mg voklosporin hos frivilliga ammande kvinnor (se avsnitt Fertilitet, graviditet och amning) utsöndrades i genomsnitt 0,00472 mg voklosporin i bröstmjölk på 48 timmar, varav 80 % utsöndrades inom 12 timmar. Data visade att exponeringsförhållandet för voklosporin mellan bröstmjölken och moderns blod låg i intervallet 0,42 till 0,95. För ett bröstmjölksintag på 200 ml/kg/dag var den högsta relativa spädbarnsdosen 1,4 % av moderns viktjusterade dos.
Prekliniska säkerhetsuppgifter
Följande biverkningar har inte konstaterats i kliniska studier, men har iakttagits i djurstudier vid exponeringar liknande klinisk exponering och bedöms därför ha en möjlig klinisk relevans:
Djurstudier med upprepad dosering har uppvisat neurohistologiska fynd av glios och perivaskulära infiltrat i hjärna och ryggmärg hos råtta, men inte hos hund eller apa. Dessa fynd gjordes inte vid doser på cirka 0,3 gånger den högsta rekommenderade dosen till människa (MRHD) på 23,7 mg voklosporin två gånger dagligen, baserat på läkemedelsexponering (AUC).
I en 39 veckor lång oral toxikologisk studie på cynomolgusapor förekom maligna lymfom vid en dos på 150 mg/kg/dag (cirka 4 respektive 7 gånger högre än MRHD, baserat på läkemedelsexponeringen [AUC] hos han- respektive hondjur). Vid denna dosering erhölls en hög grad av immunhämning hos apor, vilket påvisas av maximala nivåer av kalcineurinhämning (Emax) på över 80 %. Observerad biverkningsfri nivå (NOAEL) för detta fynd var 75 mg/kg/dag (cirka 4 gånger MRHD, baserat på läkemedelsexponering [AUC], för han- och hondjur).
Inga mutagena eller gentoxiska effekter av voklosporin kunde observeras i konventionella gentoxicitetsstudier.
I en tvåårig karcinogenicitetsstudie av oralt voklosporin på mus observerades en ökad incidens av malignt lymfom vid den högsta testade dosen (30 mg/kg/dag, vilket är cirka 7,5 gånger MRHD baserat på läkemedelsexponering [AUC]). Detta resultat bedöms vara sekundärt till den voklosporinrelaterade immunhämningen. NOAEL var 10 mg/kg/dag (cirka 1 gånger MRHD, baserat på läkemedelsexponering [AUC]).
I en fertilitetsstudie på råtta, med en blandning 50:50 av voklosporin och dess cis-isomer, iakttogs viktminskning hos hanarnas fortplantningsorgan, däribland cauda epididymis, epididymis, sädesblåsor, prostata samt testiklar, vid en dos på 25 mg/kg/dag. NOAEL för dessa fynd var 10 mg/kg/dag (cirka 5 gånger MRHD, baserat på läkemedelsexponering [AUC]). Parnings- och fertilitetsparametrar, spermiernas rörlighet, antal och koncentration, antalet östrogenfaser per 14 dagar samt parametrar gällande kejsarsnitt var opåverkade. Viktminskningar hos prostata och testiklar observerades även i de 13 respektive 26 veckor långa toxicitetsstudierna med upprepad dosering av en oral 50:50 blandning av voklosporin och dess cis-isomer i doserna 25 mg/kg/dag respektive 10 mg/kg/dag, eller 18 respektive 7 gånger MRHD, baserat på läkemedelsexponering (AUC). NOAEL för dessa effekter, i den 26 veckor långa studien med upprepad dosering, var 2,5 mg/kg/dag (cirka 1 gånger MRHD, baserat på läkemedelsexponering [AUC]).
Studier av embryonal och fetal utveckling utfördes, med en 50:50 blandning av voklosporin och dess cis-isomer, på både råtta och kanin samt med enbart voklosporin på kanin. Embryonal och fetal toxicitet observerades endast vid doser som förknippas med maternell toxicitet (vid doser cirka 15 gånger respektive 1 gång MRHD, baserat på läkemedelsexponering [AUC] hos råtta respektive kanin). De maternella effekterna omfattade förändrad kroppsvikt och/eller svullna mjölkkörtlar medan de fetala effekterna bestod av en liten minskning av kroppsvikten och därmed förknippade skelettrelaterade utvecklingsvariationer. Inga missbildningseffekter iakttogs i studierna. NOAEL var 10 mg/kg/dag för råtta och 1 mg/kg/dag för kanin (cirka 7 respektive 0,01 gånger MRHD, baserat på läkemedelsexponering [AUC], för råtta respektive kanin).
I pre- och postnatala studier på råtta konstaterades maternell toxicitet vid en dos på 25 mg/kg/dag av en 50:50 blandning av voklosporin och dess cis-isomer per dag (cirka 17 gånger MRHD för 23,7 mg voklosporin två gånger dagligen, baserat på läkemedelsexponering [AUC]), försenad förlossning (dystoci) som medförde en minskning av det genomsnittliga antalet förlösta ungar och av antalet överlevande ungar per kull. Denna dos förknippades med maternell toxicitet baserat på minskad viktökning. Inga biverkningar observerades på de dräktiga djuren eller deras ungar vid doser på cirka 3 gånger MRHD och lägre (baserat på läkemedelsexponering [AUC] med en maternell oral NOAEL-dos på 10 mg/kg/dag). Det förekom inga effekter på den beteendemässiga och fysiska utvecklingen eller på reproduktionsförmågan hos ungar av han- eller honkön. Den största dos som kunde ges, utan observerade effekter på förlossning och överlevnad hos ungarna, var 10 mg/kg/dag.
Den radioaktivitet som härrörde från läkemedlet distribuerades snabbt till mjölk efter oral administrering av [14C]-voklosporin till digivande råttor. När ett läkemedel förekommer i mjölk hos djur är det sannolikt att det också förekommer i mjölk hos människa.
Farmaceutiska uppgifter
Förteckning över hjälpämnen
Kapselns innehåll
etanol
vitamin E (E307) polyetylenglykolsuccinat (tokofersolan)
polysorbat 40
medellångkedjiga triglycerider
Kapselns hölje
gelatin
sorbitol
glycerin
renat vatten
titandioxid (E171)
järnoxid, röd (E172)
järnoxid, gul (E172)
Hjälpämne i tillverkningsprocessen
sojalecitin
Inkompatibiliteter
Ej relevant
Hållbarhet
4 år
Särskilda förvaringsanvisningar
Förvaras i originalblistret. Fuktkänsligt.
Förpackningstyp och innehåll
Markkinoilla olevat pakkaukset
Resepti
LUPKYNIS kapseli, pehmeä
7,9 mg (L:ei) 180 fol (913,78 €)
PF-selosteen tieto
De mjuka kapslarna är förpackade i kallformade aluminiumblister med laminerat ytskikt och förslutningsmaterial som värmeförseglats. Varje blister innehåller 18 mjuka kapslar. En kartong innehåller 180 eller 576 mjuka kapslar.
Eventuellt kommer inte alla förpackningsstorlekar att marknadsföras.
Läkemedlets utseende:
Rosa/orangefärgade ovala mjuka kapslar som mäter cirka 13 mm × 6 mm.
Särskilda anvisningar för destruktion och övrig hantering
Ej använt läkemedel och avfall ska kasseras enligt gällande anvisningar.
Ersättning
LUPKYNIS kapseli, pehmeä
7,9 mg 180 fol
- Rajoitettu peruskorvaus lääkärin lausunnolla (40 %). Voklosporiini: Aikuisten SLE-nefriitin hoito yhdistelmänä mykofenolaattimofetiilin kanssa erityisin edellytyksin (3083).
Atc-kod
L04AD03
Datum för översyn av produktresumén
18.06.2025
Yhteystiedot
Sveavägen 151
113 46 Stockholm
Sweden
+46 8 545 28660
www.otsuka.se
info@otsuka.se